What is an experiment?
Procedure that can be repeated many times and has a well defines set of outcomes.
How do you write the probability for the event A?
P(A)
What does means “P(A)”?
Proportion of times the event A will occur in repeated trials of an experiment.
For a large number of trials, a relative frequence will provide a good approximation of the probability of A.
What is a “function”?
Relation between a set of input & a set of possible outputs, with the property that each input is related to exactly ONE output.
What are the properties for a P(A), a real-valued function?
Function defigned in R.
0≤P(A)≤1
If A, B, C ….. constitute an exhaustive set of events, P(A+B+C+…) = 1 where A+B+C means A or B, or C and so forth
If A, B, C … are mutually exclusive events,
P(A+B+C+…) = P(A)+P(B)+P(C)+…
What is a random variable?
Numerical variable whose value is determined by the outcome of a random experience.
This value is unknown until observed.
What type can be a random variable?
Discrete: take only a finite number of values
Continuous: it ca take on any value in some interval of values & take on any particular value with a zero probability, because there is so many possibilities. Each one has a probility of 0 to happen, statistically.
How is a random variable denoted?
X, Y, Z…
Its values are {x, y, z…}
What does indicate a discrete probability density function?
P(X=xi) indicates the probability that the discrete random variable X takes the value xi.
How do you write the discrete PDF?

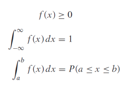
For a continuous function, what is the propability for a specific value?
0
For a continuous variable, how do you determine the probability of an event?
You must take an interval and calculate the probability of getting this event as the outcome.
How do you write the continuous PDF?
Where P(a

What is an integral for a continuous PDF?
The area under the PDF between the points a and b.

What is a cumulative distribution function (CDF)?
It is a sum of all the probabilities between the minimum and xi.
What is the formula of the CDF?

Properties of the CDF, for all important continuous distributions:
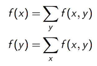
What is a Discrete Joint PDF?
Probability observ outcome x of X and y of Y at the same time.

How do you compute teh Discrete Marginal PDF?

What is a conditional PDF?
Probability that X takes the value x given that Y has assumed the value y.
What is the formula for a Conditional PDF?

When are 2 random variables statistically independent?
If the joint PDF can be expressed as the product of the marginal PDFs for all combinations of X and Y.

If X and Y are independent, then, f(x⎪y) = ?
f(x⎪y) = f(x)
y doesn’t convey any information on x’s distribution.
WHat is an expected value?
It is the (population) mean of the distribution.