LOS 10. a: Define a probability distribution and distinguish between discrete and continuous random variables and their probability functions.
A probability distribution lists all the possible outcomes of an experiment, along with their associated probabilities.
LOS 10. a: Define a probability distribution and distinguish between discrete and continuous random variables and their probability functions.
A discrete random variable has positive probabilities associated with a finite number of outcomes.
A continuous random variable as positive probabilities associated with a range of outcome values-the probability of any single value is zero.
LOS 10. b: Describe the set of possible outcomes of a specified discrete random variable.
The set of possible outcomes of a specified discrete random variable is a finite set of values. An example is the number of days last week on which the value of a particular portfolio increased. For a discrete distribution, p(x) = 0 when x cannot occur, or P(x) > 0 if it can.
LOS 10. c: Interpret a cumulative distribution function.
A cumulative distribution function (cdf) gives the probability that a random variable will be less than or equal to specific values. The cumulative distribution function for a random variable X may be expressed as F(x) = P(X =< x).

LOS 10. d: Calculate and interpret probabilities for a random variable, given its cumulative distribution function.
Given the cumulative distribution function for a random variable, the probability that an outcome will be less than or equal to a specific value is represented by the area under the probability distribution to the left of that value.

LOS 10. e: Define a discrete uniform random variable, a Bernoulli random variable, and a binomial random variable.
A discrete uniform distribution is one where there are n discrete, equally likely outcomes.
LOS 10. e: Define a discrete uniform random variable, a Bernoulli random variable, and a binomial random variable.
The binomial distribution is a probability distribution for a binomial (discrete) random variable that has two possible outcomes.
LOS 10. f: Calculate and interpret probabilities given the discrete uniform and the binomial distribution functions.
For a discrete uniform distribution with n possible outcomes, the probability for each outcome equals 1/n.
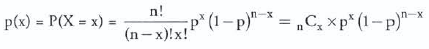
LOS 10. f: Calculate and interpret probabilities given the discrete uniform and the binomial distribution functions.
For a binomial distribution, if the probability of success is p, the probability of x successes in n trials is:

Explain the Bernoulli equation logic

LOS 10. g: Construct a binomial tree to describe stock price movement.
A binomial tree illustrates the probabilities of all the possible values that a variable (such as a stock price) can take on, given the probability of an up-move and the magnitude of an up-move (the up-move factor).
With an initial stock price S = 50, U = 1.01, D = 1/1.01, and prob(U) = 0.6, the possible stock prices after two periods are:
uuS = 1.012 x 50 = 51.01 with probability of (0.6)2 = 0.36
udS = 1.01(1/1.01) x 50 = 50 with probability of (0.6)(0.4) = 0.24
duS = (1/1.01)1.01 x 50 = 50 with probability of (0.4)(0.6) = 0.24
uuS = (1/1.01)2 x 50 = 49.01 with probability of (0.4)2 = 0.16

LOS 10. h: Calculate and interpret tracking error.
Tracking error is calculated as the total return on a portfolio minus the total return on a benchmark or index portfolio.
LOS 10. i: Define the continuous uniform distribution and calculate and interpret probabilities, given a continuous uniform distribution.
A continuous uniform distribution is one where the probability of X occurring in a possible range is the length of the range relative to the total of all possible values. Letting a and b be the lower and upper limit of the uniform distribution, respectively, then for:

LOS 10. j: Explain the key properties of the normal distribution.
The normal probability distribution and normal curve have the following characteristics:
LOS 10. k: Distinguish between a univariate and a multivariate distribution and explain the role of correlation in the multivariate normal distribution.
Multivariate distributions describe the probabilities for more than one random variable, whereas a univariate distribution is for a single random variable.
LOS 10. k: Distinguish between a univariate and a multivariate distribution and explain the role of correlation in the multivariate normal distribution.
The correlation(s) of a multivariate distribution describes the relation between the outcomes of its variables relative to their expected values.
LOS 10. l: Determine the probability that a normally distributed random variable lies inside a given interval.
A confidence interval is a range within which we have a given level of confidence of finding a point estimate (e.g., the 90% confidence interval for X is Xbar – 1.65s to Xbar + 1.65s).
The probability that a normall distributed random variable X will be within A standard deviations of tits mean, µ, [i.e., P(µ - Aσ <= X <= µ + Aσ)], may be calculated as F(A) – F(-A), where F(A) is the cumulative standard normal probability of A, or as 1 – 2[F(-A)].

LOS 10. m: Define the standard normal distribution, explain how to standardize a random variable, and calculate and interpret probabilities using the standard normal distribution.
The standard normal probability distribution has a mean of 0 and a standard deviation of 1.
LOS 10. m: Define the standard normal distribution, explain how to standardize a random variable, and calculate and interpret probabilities using the standard normal distribution.
A normally distributed random variable X can be standardized as Z = (x - µ) / σ and Z will be normally distributed with mean = 0 and standard deviation 1.
LOS 10. m: Define the standard normal distribution, explain how to standardize a random variable, and calculate and interpret probabilities using the standard normal distribution.
The z-table is used to find the probability that X will be less than or equal to a given value.

LOS 10. n: Define shortfall risk, calculate the safety-first ratio, and select an optimal portfolio using Roy’s safety-first criterion.
The safety-first ratio for portfolio P, based on a target return RT, is:
[Equation]
Shortfall risk is the probability that a portfolio’s value (or return) will fall below a specific value over a given period of time.
Greater safety-first ratios are preferred and indicate a smaller shortfall probability.
Roy’s safety-first criterion states that the optimal portfolio minimizes shortfall risk.

LOS 10. o: Explain the relationship between normal and lognormal distributions and why the lognormal distribution is used to model asset prices.
If x is normally distributed, ex follows a lognormal distribution. A lognormal distribution is often used to model asset prices, since a lognormal random variable cannot be negative and can take on any positive value.
LOS 10. p: Distinguish between discretely and continuously compounded rates of return and calculate and interpret a continuously compounded rate of return, given a specific holding period return.
As we decrease the length of discrete compounding periods (e.g., from quarterly to monthly) the effective annual rate increases. As the length of the compounding period in discrete compounding gets shorter and shorter, the compounding becomes continuous, where the effective annual rate = ei – 1.
For a holding period return (HPR) over any period, the equivalent continuously compounded rate over the period is ln(1 + HPR).
LOS 10. q: Explain Monte Carlo simulation and describe its applications and limitations.
Monte Carlo simulation uses randomly generated values for risk factors, based on their assumed distributions, to produce a distribution of possible security values. Its limitations are that it is fairly complex and will provide answers that are no better than the assumptions used.