10 - Differentiation Flashcards

(6 cards)

1
Q

What is the notation for the second derivative?

A
How well did you know this?
1
Not at all
2
3
4
5
Perfectly
2
Q

Just a visualization of 1st and second derivatives:

A
How well did you know this?
1
Not at all
2
3
4
5
Perfectly
3
Q

What is the second derivative used for?

A

To see whether the gradient is increasing or decreasing

How well did you know this?
1
Not at all
2
3
4
5
Perfectly
4
Q

What is the gradient when the second derivative is positive?

A
How well did you know this?
1
Not at all
2
3
4
5
Perfectly
4
Q

What is the gradient when the second derivative is negative?

A
How well did you know this?
1
Not at all
2
3
4
5
Perfectly
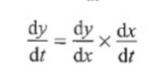
5
Q

What do you do if:

A

The two “dx” cancel out

How well did you know this?
1
Not at all
2
3
4
5
Perfectly