10.2 Inheritance Flashcards

(15 cards)

1
Q

Morgan’s discovery of non-Mendelian ratios in Drosophila (sex linked traits)

A

When cross-breeding red-eyed wild types with white-eyed mutants, he discovered a clear sex bias in phenotypic distribution

discovered that genes are located on chromosomes and that they are inherited as a unit

Discovered gene linkage and sex linkage

How well did you know this?
1
Not at all
2
3
4
5
Perfectly
2
Q

Morgan and Gene Linkage

A

Found that:
- Linked alleles could be uncoupled via (crossing over) to create alternative phenotypic combinations, but these new phenotypes would occur at a much lower frequency

How well did you know this?
1
Not at all
2
3
4
5
Perfectly
3
Q

Polygenic traits

A

characteristics controlled by more than two gene loci
- tend to exhibit continuous variation

  • Skin colour
  • Human height
How well did you know this?
1
Not at all
2
3
4
5
Perfectly
4
Q

Monogenic traits

A

characteristics controlled by a single gene loci
- tend to exhibit discrete variation

How well did you know this?
1
Not at all
2
3
4
5
Perfectly
5
Q

dihybrid cross

A

determines the genotypic and phenotypic combinations of offspring for two particular genes that are unlinked
- Because there are two genes, each with two alleles, there can be up to four different gamete combinations

  1. make allele key
  2. determine parent genotype
  3. determine gamete genotype
  4. Make punnet square using gamete combinations
  5. Write out the phenotype ratios of potential offspring
    - use FOIL method (first out, last in)
How well did you know this?
1
Not at all
2
3
4
5
Perfectly
6
Q

Linked Vs Unlinked genes

A

Linked genes are represented as verticle pairs
A B
===.
a b

  • Linked genes may become separated via recombination (crossing over)
  • Linked genes will tend to be inherited together and hence don’t follow normal Mendelian inheritance for a dihybrid cross
How well did you know this?
1
Not at all
2
3
4
5
Perfectly
7
Q

Dihybrid cross Q.

In sheep, the allele for black wool (B) is dominant over the allele for white wool (b).
Similarly, the allele for horns (H) is dominant over the allele for being hornless (h).
Pure breeding horned sheep with black wool were crossed with pure breeding hornless sheep with white wool.

(a) State the genotype and the phenotype of the F1 individuals produced as a result of this cross.

(b) Two F1 offspring were mated together. Calculate the expected ratio of phenotypes in the F2 generation.

A
How well did you know this?
1
Not at all
2
3
4
5
Perfectly
8
Q

Dihybrid cross Question:

In cats, the allele for grey fur (G) is dominant over the allele for beige fur (g).
The allele for a solid coat (S) is dominant over the allele for a striped coat (s).
A pure breeding solid, beige cat is crossed with a pure breeding striped, grey cat.

(a) State the genotype and the phenotype of the F1 individuals produced as a result of this cross.

(b) Calculate the phenotypes resulting from a cross between a pure breeding solid, beige cat and an F1 offspring.

A
How well did you know this?
1
Not at all
2
3
4
5
Perfectly
9
Q

Test cross

A

used to determine whether a dominant phenotype is homozygous or heterozygous

How well did you know this?
1
Not at all
2
3
4
5
Perfectly
10
Q

Crossing over

A

allows for the reassortment of linked genes
- suspected heterozygote with a known homozygous recessive – this exposes a “carrier”

How well did you know this?
1
Not at all
2
3
4
5
Perfectly
11
Q

Recombinants

A

result of crossing over of genetic material during prophase I

How well did you know this?
1
Not at all
2
3
4
5
Perfectly
12
Q

Chi Squared Test

A

H0 = There is no significant difference between observed and expected frequencies (i.e. genes are unlinked)

H1 = There is a significant difference between observed and expected frequencies (i.e. genes are linked)

Critical value below H0 = accept (not linked)
Critical value above H0 = reject (linked)

How well did you know this?
1
Not at all
2
3
4
5
Perfectly
13
Q

Which are the possible recombinants in a dyhybrid test cross involving linked genes AB//ab?

A
  • A test cross is always with a homozygous recessive
    ab//ab
  • Identify the recombinants of the parent
    Ab//aB
  • Put the recombinants on top of the homozygous recessives
    Ab//ab & aB//ab
How well did you know this?
1
Not at all
2
3
4
5
Perfectly
14
Q

application of a chi squared test

A
  1. Identify hypotheses
    - H0, H1
  2. Construct a table of frequencies
    - compares observed and expected frequencies for each possible phenotype
  3. Apply the chi-squared formula
  4. Determine the degree of freedom (df)
  5. Identify the p value
Step 2
How well did you know this?
1
Not at all
2
3
4
5
Perfectly
15
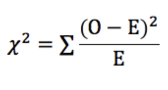
Q

Chi Squared Formula

A
How well did you know this?
1
Not at all
2
3
4
5
Perfectly