11) Wallpaper Patterns Flashcards

(21 cards)

1
Q

What is a lattice

A
How well did you know this?
1
Not at all
2
3
4
5
Perfectly
2
Q

What is the rank of a lattice

A

The rank of a lattice is k

How well did you know this?
1
Not at all
2
3
4
5
Perfectly
3
Q

What is the rank of

A
How well did you know this?
1
Not at all
2
3
4
5
Perfectly
4
Q

What are the symmetries of a lattice

A
How well did you know this?
1
Not at all
2
3
4
5
Perfectly
5
Q

What rotation is always a symmetry of a lattice Λ, and why

A
How well did you know this?
1
Not at all
2
3
4
5
Perfectly
6
Q

What translation and linear transformation are symmetries of a lattice Λ

A
How well did you know this?
1
Not at all
2
3
4
5
Perfectly
7
Q

Describe the proof of which translations and linear transformations are symmetries of a lattice

A
How well did you know this?
1
Not at all
2
3
4
5
Perfectly
8
Q

What is a short generator pair for Λ

A
How well did you know this?
1
Not at all
2
3
4
5
Perfectly
9
Q

When are the elements of a short geneator pair greater than 0

A
How well did you know this?
1
Not at all
2
3
4
5
Perfectly
10
Q

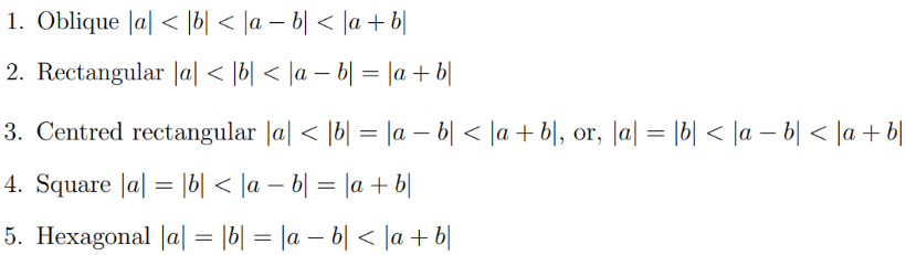
What are the five types of of lattice Λ

A
How well did you know this?
1
Not at all
2
3
4
5
Perfectly
11
Q

When are the symmetry group for two lattices isomorphic

A
How well did you know this?
1
Not at all
2
3
4
5
Perfectly
12
Q

What homomorphism is defined for isometries of the form f(x) =Ax+b in E(2)

A
How well did you know this?
1
Not at all
2
3
4
5
Perfectly
13
Q

What is the subgroup of translations and the point group of a group G≤E(2)

A
How well did you know this?
1
Not at all
2
3
4
5
Perfectly
14
Q

What are the possible point groups of a lattice

A
How well did you know this?
1
Not at all
2
3
4
5
Perfectly
15
Q

What is a wallpaper group

A
How well did you know this?
1
Not at all
2
3
4
5
Perfectly
16
Q

How many wall paper groups are there

A

There are precisely 17 types of wallpaper groups

17
Q

What is the quotient of a group G acting on a set X

A

The quotient is the set X/G ={Orb(x) | x ∈ X}, where each element of X/G is a subset of X, namely an orbit

18
Q

What is a fundamental domain

A

Let G be a group acting on a set X. A fundamental domain is a subset Y ⊆ X such that for all x ∈ X there exists a unique y ∈ Y such that y ∈ Orb(x)

19
Q

What is the relationship between a fundamental domain and the quotient space in group actions

20
Q

Describe the proof that π : Y → X/G is a bijection

21
Q

What are fundamental domains for the action of a lattice Λ on R^2 by translations