12 Flashcards

(30 cards)

1
Q
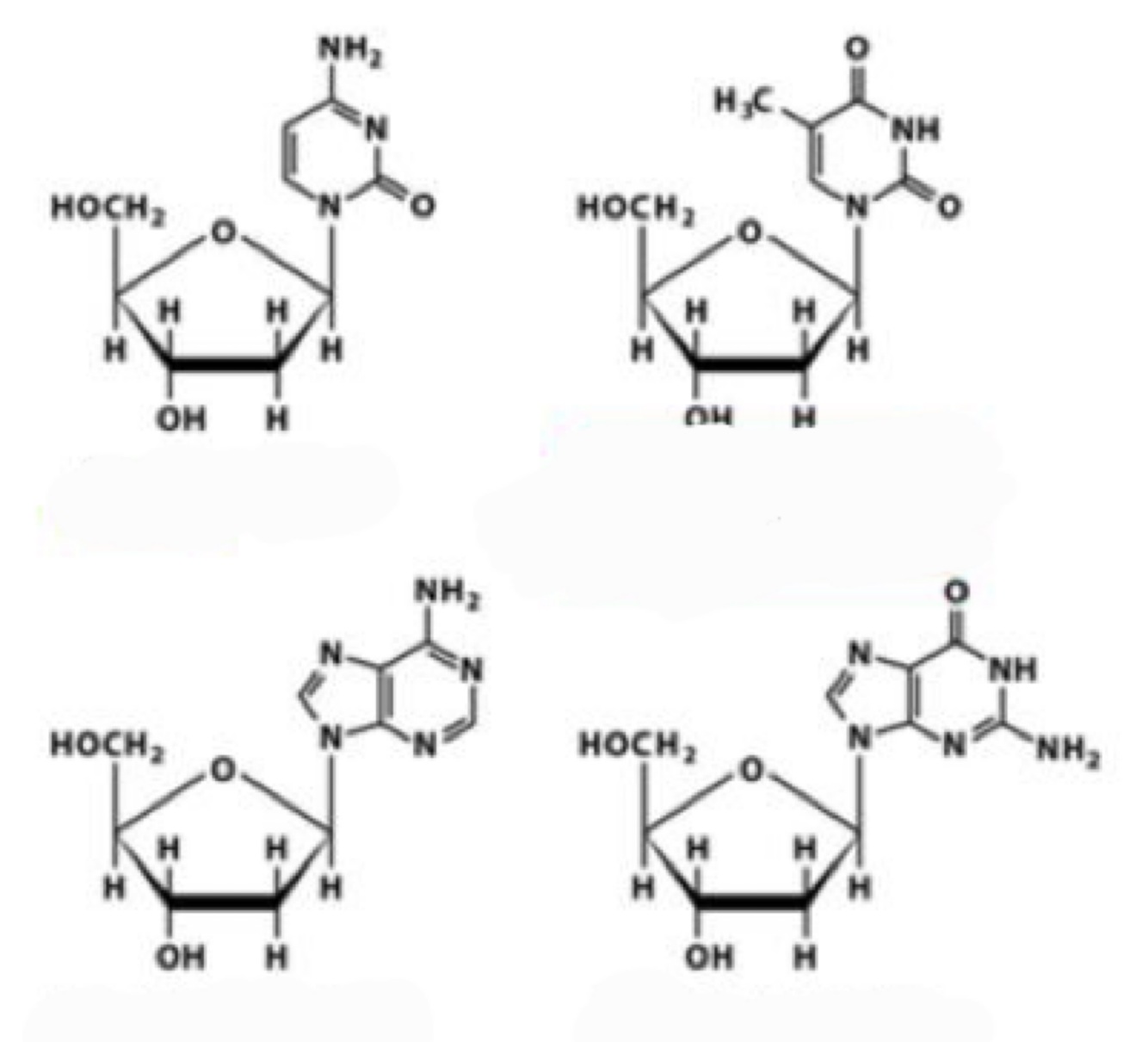
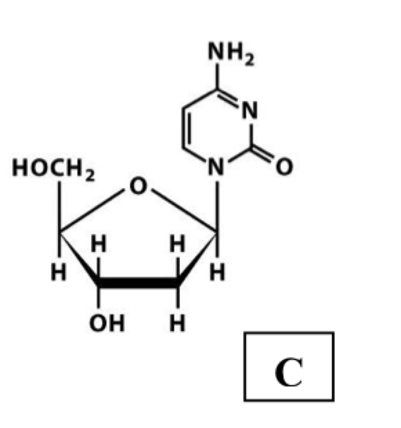
A

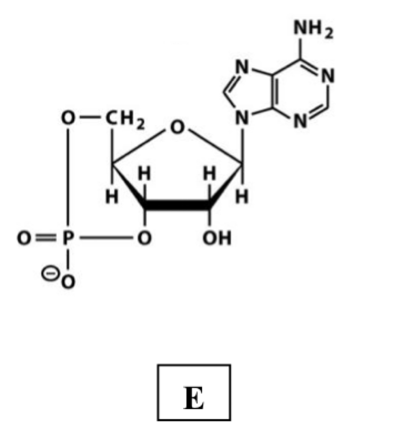
Adénosine 5-diphosphate (ADP)
*ribonucléotide
**NDP

How well did you know this?
1
Not at all
2
3
4
5
Perfectly
2
Q
A

Uracile
*pyrimidine

How well did you know this?
1
Not at all
2
3
4
5
Perfectly
3
Q
A

Désoxycytidine
* désoxyribonucléoside

How well did you know this?
1
Not at all
2
3
4
5
Perfectly
4
Q
A

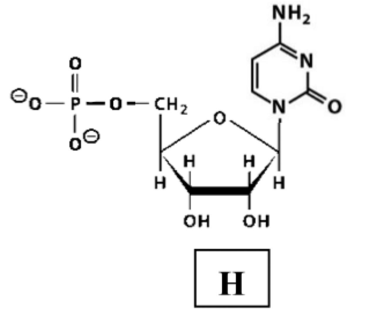
Cytidine
* ribonucléoside

How well did you know this?
1
Not at all
2
3
4
5
Perfectly
5
Q
A

Désoxythymidine (aussi appelé thymidine)
*désoxyribonucléoside

How well did you know this?
1
Not at all
2
3
4
5
Perfectly
6
Q
A

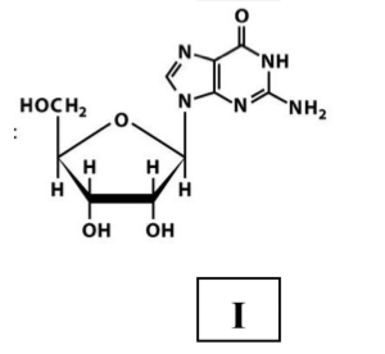
Guanine
*purine

How well did you know this?
1
Not at all
2
3
4
5
Perfectly
7
Q
A

Uridine
*ribonucléoside

How well did you know this?
1
Not at all
2
3
4
5
Perfectly
8
Q
A

Cytidine 5-monophosphate (CMP)
*ribonucléotide
**NMP

How well did you know this?
1
Not at all
2
3
4
5
Perfectly
9
Q
A

Guanosine
*ribonucléoside

How well did you know this?
1
Not at all
2
3
4
5
Perfectly
10
Q
A

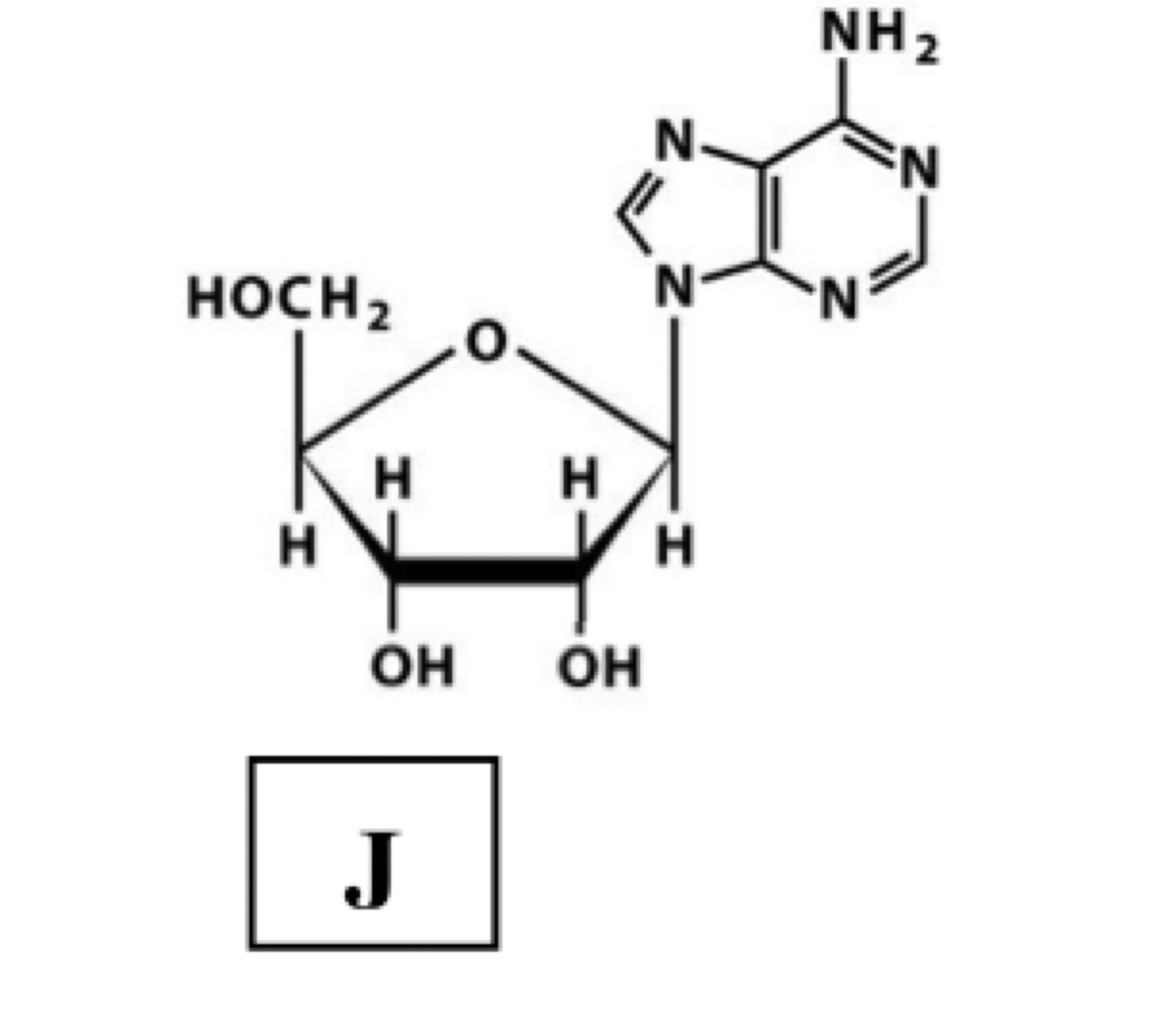
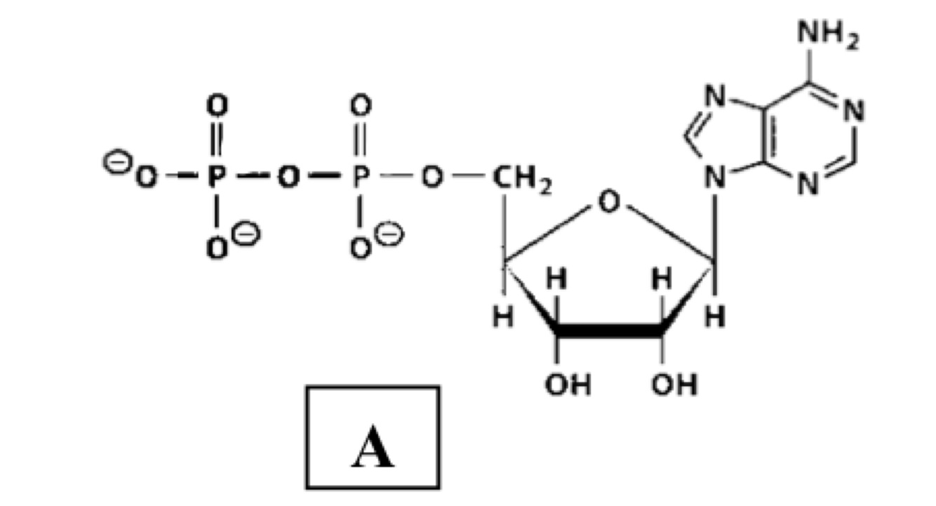
Adénosine
*ribonucléoside

How well did you know this?
1
Not at all
2
3
4
5
Perfectly
11
Q
A

Cytidine 5-triphosphate (CTP)
* ribonucléotide
** NTP

How well did you know this?
1
Not at all
2
3
4
5
Perfectly
12
Q
A

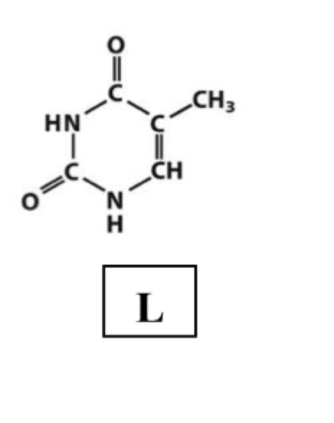
Thymine
*pyrimidine

How well did you know this?
1
Not at all
2
3
4
5
Perfectly
13
Q
A

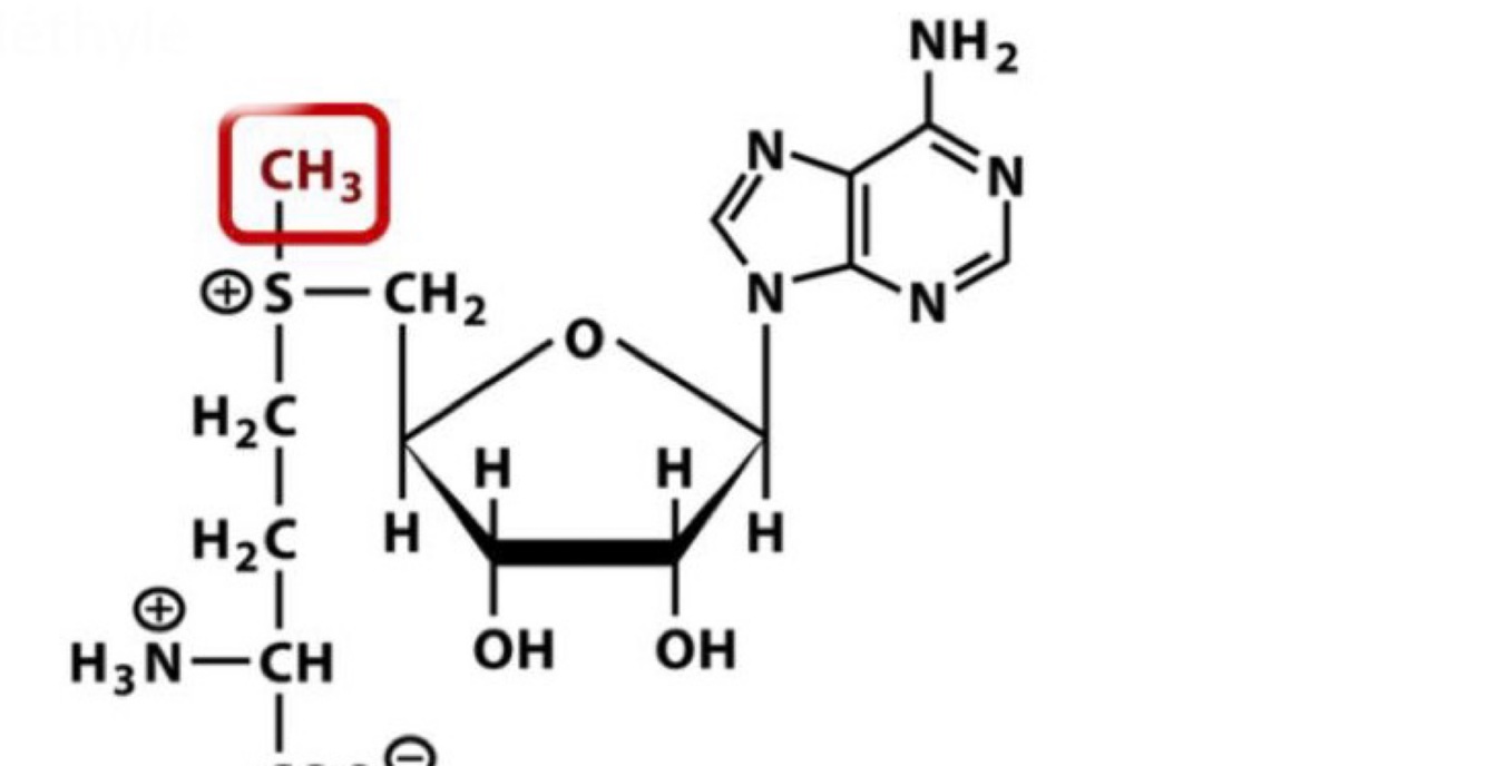
S-adénosylméthionine
*coenzyme impliquée dans les réactions de méthylation

How well did you know this?
1
Not at all
2
3
4
5
Perfectly
14
Q
A

UDP-glucose

How well did you know this?
1
Not at all
2
3
4
5
Perfectly
15
Q
A

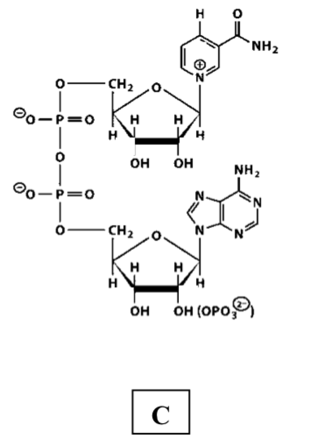
NAD(P)+
*coenzyme impliquée dans les réactions d’oxydoréduction

How well did you know this?
1
Not at all
2
3
4
5
Perfectly
16
Q
A

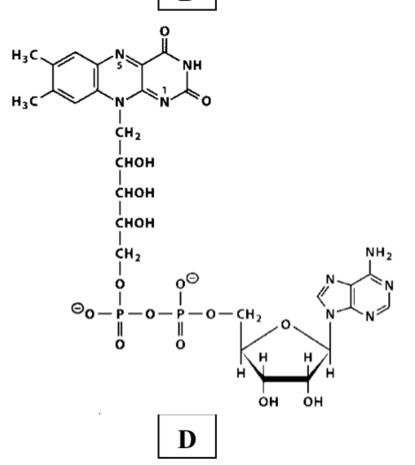
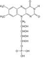
FAD
*coenzyme impliquée dans les réactions d’oxydoréduction

17
Q
A

AMPc
*médiateur chimique important

18
Q
A

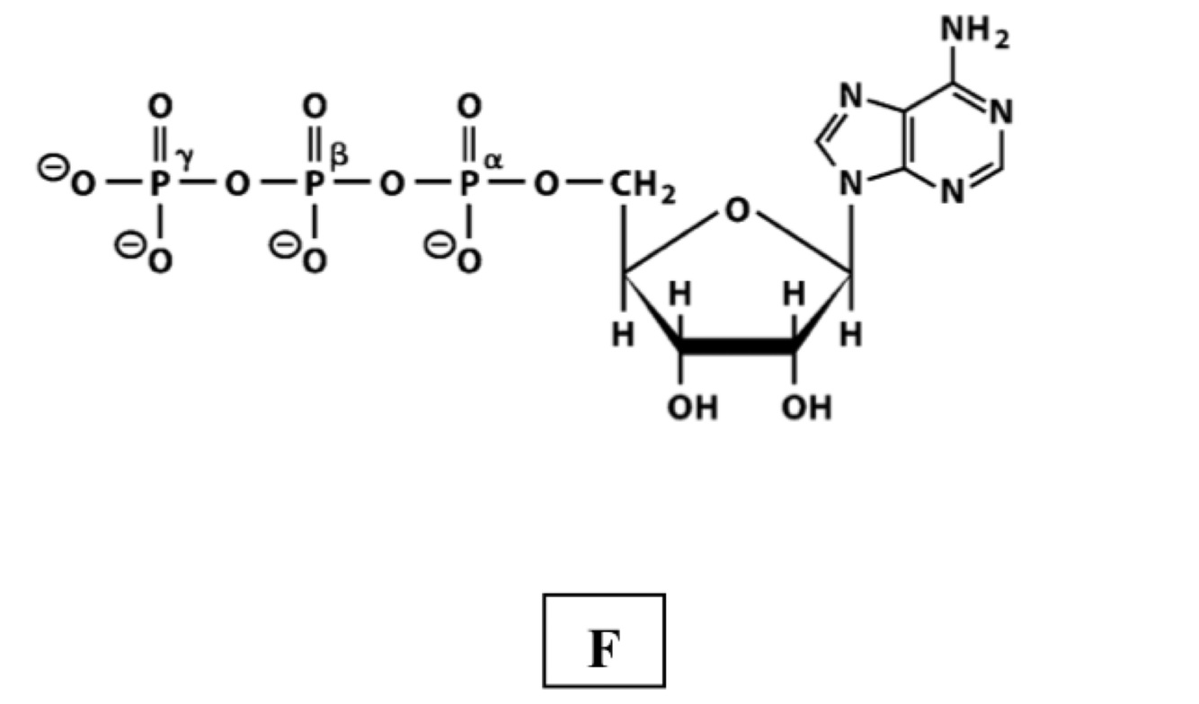
ATP
*principale forme d’énergie de la cellule
**coenzyme impliquée dans les réactions de phosphorylation

25
FMN
26
FAD
27
28
Uniport
29
Symport
30
Antiport