1.3 Bonding Flashcards

(131 cards)

1
Q

What is Ionic Bonding?

A

Ionic bonding involves the transfer of electrons from a metallic element to a non-metallic element

Metals lose electrons from their valence shell forming positively charged cations
Non-metal atoms gain electrons forming negatively charged anions

How well did you know this?
1
Not at all
2
3
4
5
Perfectly
2
Q

What is an Ionic Bond?

A
  • The ionic bond is the electrostatic attraction formed between the oppositely charged ions, which occurs in all directions ( this called non-directional bonding)

  • This form of attraction is very strong and requires a lot of energy to overcome
  • This causes high melting points in ionic compounds

How well did you know this?
1
Not at all
2
3
4
5
Perfectly
3
Q

Define a Covalent Bond

A

A covalent bond is a shared pair of electrons

How well did you know this?
1
Not at all
2
3
4
5
Perfectly
4
Q

Define a Dative Covalent Bond

A
  • A Dative covalent bond forms when the shared pair of electrons in the covalent bond come from only one of the bonding atoms.
  • A dative covalent bond is also called co-ordinate bonding.
How well did you know this?
1
Not at all
2
3
4
5
Perfectly
5
Q

What is an alternative name for a Dative Covalent Bond?

A

Co-ordinate Bond

How well did you know this?
1
Not at all
2
3
4
5
Perfectly
6
Q

Metallic Bonding Summary

A
How well did you know this?
1
Not at all
2
3
4
5
Perfectly
7
Q

What is an Ionic Bond?

A
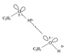
  • Ionic bonding is the electrostatic force of attraction
  • between oppositely charged ions formed by electron transfer.
How well did you know this?
1
Not at all
2
3
4
5
Perfectly
8
Q

What is a Covalent Bond?

A

Covalent bonds are bonds between nonmetals in which electrons are shared between the atoms

How well did you know this?
1
Not at all
2
3
4
5
Perfectly
9
Q

What is an Alloy?

A

A mixture of metals

How well did you know this?
1
Not at all
2
3
4
5
Perfectly
10
Q

Why are Alloys stronger than pure metals?

A

Alloys are much stronger than pure metals, because the other atoms stop the layers of metal ions sliding over each other easily

How well did you know this?
1
Not at all
2
3
4
5
Perfectly
11
Q

How can we increase the strength of metallic attraction?

A
  • Increasing the number of delocalised electrons per metal atom
  • Increasing the positive charges on the metal centres in the lattice
  • Decreasing the size of the metal ions
How well did you know this?
1
Not at all
2
3
4
5
Perfectly
12
Q

What are the properties of Metallic Structures?

A
  • Malleable
  • Strong and Hard
  • Can conduct electricity and heat
  • Have high Melting and Boiling points
How well did you know this?
1
Not at all
2
3
4
5
Perfectly
13
Q

What does Malleablility mean in terms of Metals?

A
  • When a force is applied, the metal layers can slide
  • The attractive forces between the metal ions and electrons act in all directions
  • So when the layers slide, the metallic bonds are re-formed
  • The lattice is not broken and has changed shape

Atoms are arranged in layers so the layers can slide when force is applied

How well did you know this?
1
Not at all
2
3
4
5
Perfectly
14
Q

How are Metals Strong and Hard?

A

Due to the strong attractive forces between the metal ions and delocalised electrons

How well did you know this?
1
Not at all
2
3
4
5
Perfectly
15
Q

How do Metals have high melting and boiling points?

A
  • This is due to the strong electrostatic forces of attraction between the cations and delocalised electrons in the metallic lattice
  • These require large amounts of energy to overcome
  • As the number of mobile charges increases across a period, the melting and boiling points increase due to stronger electrostatic forces
How well did you know this?
1
Not at all
2
3
4
5
Perfectly
16
Q

How are Metals good Thermal Conductors?

A
  • Metals are good thermal conductors due to the behaviour of their cations and their delocalised electrons
  • When metals are heated, the cations in the metal lattice vibrate more vigorously as their thermal energy increases
  • These vibrating cations transfer their kinetic energy as they collide with neighbouring cations, effectively conducting heat
  • The delocalised electrons are not bound to any specific atom within the metal lattice and are free to move throughout the material
  • When the cations vibrate, they transfer kinetic energy to the electrons
  • The delocalised electrons then carry this increased kinetic energy and transfer it rapidly throughout the metal, contributing to its high thermal conductivity.
How well did you know this?
1
Not at all
2
3
4
5
Perfectly
17
Q

Characteristics of Different Compound Structure Types Table:

A
How well did you know this?
1
Not at all
2
3
4
5
Perfectly
18
Q

What can increase the strength of Ionic Bonds?

A

Ionic bonding is stronger and the melting points higher when the ions
are smaller and/ or have higher charges. E.g. MgO has a higher
melting point than NaCl as the ions involved (Mg2+ & O2- are smaller
and have higher charges than those in NaCl , Na+ & Cl-

How well did you know this?
1
Not at all
2
3
4
5
Perfectly
19
Q

Why are Positive Ions smaller then Negative?

A

Positive ions are smaller compared to their atoms because it has one less shell of electrons and the ratio of protons to electrons has increased so there is greater net force on remaining electrons holding them more closely.

How well did you know this?
1
Not at all
2
3
4
5
Perfectly
20
Q

What is Metallic Bonding?

A

Metallic bonding is the electrostatic force of attraction between the positive metal ions and the delocalised electrons

How well did you know this?
1
Not at all
2
3
4
5
Perfectly
21
Q

What are the three main factors that affect the strength of metallic bonding?

A
  • Number of protons/ Strength of nuclear attraction
  • . Number of delocalised electrons per atom (the outer shell electrons are delocalised)
  • Size of ion

The smaller the ion, the stronger the bond

How well did you know this?
1
Not at all
2
3
4
5
Perfectly
22
Q

Characteristics of Different Compound Structure Types Table (2):

A
How well did you know this?
1
Not at all
2
3
4
5
Perfectly
23
Q

Shape of molecules

Describe a Linear Bonding Shape:

  • No bonding pairs
  • No lone pairs
  • Diagram
  • Bond angle
  • Examples

A
  • No bonding pairs = 2
  • No lone pairs = 0
  • Diagram
  • Bond angle = 180
  • Examples = CO2, CS2 , HCN, BeF2
How well did you know this?
1
Not at all
2
3
4
5
Perfectly
24
Q

Shape of molecules

Trigonal planar

  • No bonding pairs
  • No lone pairs
  • Diagram
  • Bond angle
  • Examples

A
How well did you know this?
1
Not at all
2
3
4
5
Perfectly
25
# Shape of molecules **Tetrahedral** ## Footnote * *No bonding pairs* * *No lone pairs* * *Diagram* * *Bond angle* * *Examples*
26
# **Shape of molecules** **Trigonal pyramidal** ## Footnote * *No bonding pairs* * *No lone pairs* * *Diagram* * *Bond angle* * *Examples*
27
# **Shape of molecules** **Non-Linear (Bent)** ## Footnote * *No bonding pairs* * *No lone pairs* * *Diagram* * *Bond angle* * *Examples*
28
# **Shape of molecules** **Trigonal Bipyramidal** ## Footnote * *No bonding pairs* * *No lone pairs* * *Diagram* * *Bond angle* * *Examples*
29
# Shape of molecules **Octahedral** ## Footnote * *No bonding pairs* * *No lone pairs* * *Diagram* * *Bond angle* * *Examples*
30
How do we explain the **Shape of Molecules?**
* State number of bonding pairs and lone pairs of electrons. * State that electron pairs repel and try to get as far apart as possible (or to a position of minimum repulsion.) * If there are no lone pairs state that the electron pairs repel equally * If there are lone pairs of electrons, then state that lone pairs repel more than bonding pairs. * State actual shape and bond angle. ## Footnote *Remember lone pairs repel more than bonding pairs and so reduce bond angles (by about 2.5o per lone pair in above examples)*
31
Define **Electronegativity**
**Electronegativity** is the relative tendency of an atom in a **covalent bond** in a molecule to attract electrons in a covalent bond to itself.
32
What is the **Most Electronegative** atom on the periodic table according to the **Pauling Scale?**
*The most electronegative element is fluorine and it is given a value of 4.0*
33
What **3 Factors** affect Electronegativity?
* Nuclear Charge * Atomic Radius * Shielding
34
How does the **Nuclear Charge** affect Electronegativity?
* Attraction exists between the positively charged protons in the nucleus and negatively charged electrons found in the energy levels of an atom * An increase in the number of protons leads to an increase in nuclear attraction for the electrons in the outer shells * Therefore, an increased nuclear charge results in an increased electronegativity
35
How does the **The Size of the Atomic Radius** affect Electronegativity?
* The atomic radius is the distance between the nucleus and electrons in the outermost shell * Electrons closer to the nucleus are more strongly attracted towards its positive nucleus * Those electrons further away from the nucleus are less strongly attracted towards the nucleus * Therefore, an increased atomic radius results in a decreased electronegativity
36
How does the **Shielding** affect Electronegativity?
* Filled energy levels can shield (mask) the effect of the nuclear charge causing the outer electrons to be less attracted to the nucleus * Therefore, the addition of extra shells and subshells in an atom will cause the outer electrons to experience less of the attractive force of the nucleus * Thus, an increased number of inner shells and subshells will result in a decreased electronegativity ## Footnote *Sodium (period 3, group 1) has higher electronegativity than caesium (period 6, group 1) as it has fewer shells and therefore the outer electrons experience less shielding than in caesium*
37
Why does Electronegativity Increase across a **Period?**
* The number of protons increases * And the atomic radius decreases * Because the electrons in the same shell are **pulled in more** * This results in smaller atomic radii
38
Why does Electronegativity Decrease down a **Group?**
* The distance **between** the nucleus and the outer electrons increases * And the **shielding** of inner shell electrons increases * Lower attraction between nucleus and bonding electron
39
What do we call compounds containing elements of **similar electronegativity** and hence a small electronegativity difference?
**Purely Covalent**
40
What do we call A compound containing elements of **very different electronegativity** and hence a very large electronegativity difference **(> 1.7)**
**Ionic**
41
How is a **Polar Covalent Bond** Formed?
* A polar covalent bond forms when the elements in the bond have different electronegativities . (Of around 0.3 to 1.7) * When a bond is a polar covalent bond it has an unequal distribution of electrons in the bond and produces a charge separation, (dipole) **δ+ δ-** ends.
42
What is a **Symmetrical Molecule?**
All bonds identical and no lone pairs
43
Why is a **Symmetrical Molecule** Non-Polar
* The individual dipoles on the bonds ‘cancel out’ due to the symmetrical shape of the molecule. * There is no net dipole moment: the molecule is non-polar
44
What are **Intra-Molecular** Forces?
Forces within a molecule and are usually covalent bonds
45
What are **Inter-Molecular Forces?**
Forces between the molecules
46
What are the Three **Inter-Molecular Forces?**
* **Induced dipole – dipole forces** *also called van der Waals or London dispersion forces* * **Permanent dipole** – *dipole forces are the attractive forces between two neighbouring molecules with a permanent dipole* * **Hydrogen Bonding** - *are a special type of permanent dipole - permanent dipole forces*
47
What is the varying **strengths** of different types of bonds?
48
Where do **Van Der Walls** forces occur?
Van der Waals forces occur between **all molecular substances and noble gases**. They do not occur in **ionic** substances.
49
What is an alternative name for **Induced dipole-dipole forces?**
* Van der Waals forces * London dispersion forces
50
How are **Van der Waals’ Forces** Formed?
* These are also called **transient, induced dipole-dipole interactions**. They occur between all simple covalent molecules and the separate atoms in noble gases. * In any molecule the electrons are moving constantly and randomly. As this happens the electron density can fluctuate and parts of the molecule become more or less negative i.e. small temporary or transient dipoles form. * These **instantaneous dipoles** can cause dipoles to form in neighbouring molecules. These are called **induced dipoles**. * The induced dipole is always the opposite sign to the original one. ## Footnote * The electron charge cloud in non-polar molecules or atoms are **constantly moving** * During this movement, the electron charge cloud can be more on one side of the atom or molecule than the other * This causes a **temporary dipole** to arise * This temporary dipole can induce a dipole on **neighbouring molecules** * When this happens, the δ+ end of the dipole in one molecule and the δ- end of the dipole in a neighbouring molecule are **attracted towards each other** * Because the electron clouds are **moving constantly**, the dipoles are only **temporary**
51
What are the Main factor affecting size of **Van der Waals?**
* More electrons * The shape of the molecule can also have an effect on the size of the Van der Waals forces
52
How does the number of electrons affect the size of **Van der Walls** forces?
* The more electrons there are in the molecule the higher the chance that **temporary dipoles** will form. * This makes the Van der Waals stronger between the molecules and so **boiling points will be greater**.
53
How can the increasing boiling points of the **halogens** down the group 7 be explained by Van der Waals Forces?
It can be explained by the increasing number of electrons in the bigger molecules causing an increase in the size of the Van der Waals between the molecules. ## Footnote *This is why **I2** is a **solid** whereas **Cl2** is a **gas**.*
54
How can The increasing boiling points of the **alkane homologous series** be explained by **Van der Waals Forces?**
* By the increasing number of electrons in the bigger molecules * This causes an increase in the size of the Van der Waals between molecules.
55
How can the **shape** of the molecule also have an effect on the size of the Van der Waals forces?
Long chain alkanes have a larger surface area of contact between molecules for Van der Waals to form than compared to spherical shaped branched alkanes and so have stronger Van der Waals.
56
What type of molecules have **Permanent Dipoles?**
* **Polar** molecules | *The molecule will always have a negatively and positively charged end*
57
How are **Permanent dipole - dipole** forces formed?
* Polar molecules have permanent dipoles * The molecule will always have a negatively and positively charged end * Forces between two molecules that have permanent dipoles are called permanent dipole - dipole forces * The δ+ end of the dipole in one molecule and the δ- end of the dipole in a neighbouring molecule are attracted towards each other
58
What is needed for **Hydrogen Bonding** to take place?
A species which has an **O**, **N** or **F** (very **electronegative**) atom bonded to a hydrogen | *Hydrogen bonding occurs **in addition** to van der waals forces*
59
How are **Hydrogen Bonds** Formed?
* When hydrogen is covalently bonded to an O, N or F, the bond becomes **highly polarised** * The H becomes so **δ+** charged that it can form a bond with the lone pair of an O, N or F atom in another molecule For example, in water - *Water can form two hydrogen bonds, because the O has two lone pairs* ## Footnote **Exam Tip :** *Make sure to use a dashed, straight line when drawing your intermolecular forces! Hydrogen bonds should start at the lone pair and go right up to the delta positive atom - it must be really clear where your H bond starts and ends.* * *Always show the lone pair of electrons on the O,F,N and the dipoles and all the δ - δ + charges*
60
What is the strongest form of intermolecular bonding
Hydrogen Bonding
61
Why does Water have an anomalously high boiling point?
The anomalously high boiling points of H2O, NH3 and HF are caused by the hydrogen bonding between the molecules
62
**Ionic** Structure Diagram:
| *Giant Ionic lattice showing alternate **Na+** and **Cl -** ions*
63
**Metallic** Structure Diagram:
| *Giant metallic lattice showing close packing magnesium ions* ## Footnote *Use this diagram for any metal*
64
**Molecular** Structure Diagram:
## Footnote *Regular arrangement of **I2** molecules held together by weak **van der Waals** forces*
65
**Macro - Molecular** Structure Diagram (Diamond):
* Has a very high melting point because of strong covalent forces in the giant structure. * It takes a lot of **energy** to break the many strong covalent bonds. | ***Tetrahedral** arrangement of carbon atoms. 4 covalent bonds per atom*
66
**Macro - Molecular** Structure Diagram (Graphite):
* Planar arrangement of carbon atoms in layers. * 3 covalent bonds per atom in each layer. * 4th outer electron per atom is **delocalised.** * Delocalised electrons between layers. ## Footnote * Has a very high melting point because of strong covalent forces in the giant structure. * It takes a lot of **energy** to break the many strong covalent bonds.
67
What is **Surface Tension** (Water) ?
* Surface tension is the ability of a liquid surface to resist any external forces (i.e. to stay unaffected by forces acting on the surface)
68
How does **Water** have a **High** Surface Tension?
* The water molecules at the surface of liquid are bonded to other water molecules through **hydrogen bonds** * These molecules pull downwards the surface molecules causing the surface of them to become compressed and more tightly together at the surface * This increases water’s surface tension ## Footnote *The surface molecules are pulled downwards due to the hydrogen bonds with other molecules, whereas the inner water molecules are pulled in all directions*
69
Why does Ice have a lower **Density** than water?
* Solids are denser than their liquids as the particles in solids are more closely packed together than in their liquid state * The water molecules are packed into an open lattice * This way of packing the molecules and the relatively long bond lengths of the hydrogen bonds means that the water molecules are slightly further apart than in the liquid form * Therefore, ice has a lower density than liquid water by about 9% ## Footnote *The ‘more open’ structure of molecules in ice causes it to have a lower density than liquid water*
70
What are **Cations?**
**Positively** Charged Ions
71
What are **Anions?**
**Negatively** charged Ions
72
Explain in terms of structure and bonding why magnesium chloride had a high melting point (3)
* (Giant) ionic lattice / lots of Mg2+ and Cl– ions * Strong (electrostatic) forces of attraction * Between Mg2+ and Cl– ions | Allow oppositely charged ions
73
Give one medical use for magneisum hydroxide (1)
* Indigestion relief / laxative / neutralise (excess stomach) acid
74
# The table shows data about the elements bromine and magnesium. * In terms of structure and bonding explain why the **boiling** point of bromine is different from that of magnesium * Suggest why magnesium is a liquid over a much greater temperature range compared to bromine (5)
* **M1** Bromine is (simple) molecular / simple molecules * **M2** Magnesium is metallic / consists of (positive) ions in a (sea) of delocalised electrons * **M3** Br2 has weak (van der Waals) forces between the molecules / weak IMFs * **M4** so more energy is needed to overcome the **Stronger** (metallic) bonds * **M5** Mg has a much greater liquid range because forces of attraction in liquid / molten metal are strong(er)
75
Use your knowledge of structure and bonding to explain why the melting point of iodine is low (113.5 °C) and why that of hydrogen iodide is **very** low (–50.8 °C) (6)
* I2 is molecular * HI is molecular * IMF hold the molecules together There are weak IMF forces hence the melting point is low in both * substances. * I2 **bigger** molecule than HI so I2 has more **electrons** * Therefore **stronger** van der Waals between molecules in I2 that need more energy to break causing the melting point to be higher. * HI also shows permanent dipole-dipole attraction between molecules but these forces are less than the vdW forces in iodine
76
* (a) Deduce the type of crystal structure shown by graphane * (b) State how two carbon atoms form a carbon–carbon bond in graphane * (c) Suggest why graphane does not conduct electricity * (d) Deduce the empirical formula of graphane
* (a) Giant covalent / giant molecular / macromolecular * (b) **Shared** pair of electrons / one electron from each C atom * (c) No **delocalised** / free / mobile electrons * CH
77
Suggest why graphene is an excellent conductor of electricity (2)
* Delocalised electrons / free electrons * Able to move / flow (through the crystal) | *Ignore electrons can carry a current / charge*
78
Explain, in terms of its structure and bonding, why graphene has a high melting point (2)
* Covalent bonds * Many /strong / hard to break / need a lot of energy to break
79
# Titanium is a strong material that has a high melting point. * (a) State the type of crystal structure shown by titanium (1) * (b) Explain, in terms of its structure and bonding, why titanium has a high melting point (2)
* (Giant) metallic / metal (lattice) * positive ions and delocalised electrons (are attracted)
80
Suggest why titanium can be hammered into different shapes (1) Suggest why these objects with different shapes have similar strengths (1)
* Layers of atoms/ions slide (over one another) * *(Strong) (metallic) bonding re-formed / same (metallic) bonding / retains same (crystal) structure / same bond strength / same attraction between protons and delocalised electrons as before being hammered or words to that effect*
81
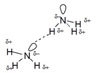
Draw a diagram to show how two ammonia molecules interact with each other in the liquid phase. Include all partial charges and all lone pairs of electrons in your diagram (3)
82
# NH3 reacts with BCl3 to form a molecule with the following structure * State how the bond between ammonia and boron trichloride is formed (1)
* Lone pair / both electrons / 2 electrons / electron pair on N(H3) is donated to B(Cl3)
83
BF3 is a covalent molecule that reacts with an F– ion to form a BF4 – ion. Name the type of bond formed when a molecule of BF3 reacts with an F– ion
* Coordinate/dative (covalent) * (Lone) pair of electrons/both electrons (on F–) * Donated from F– /fluoride or donated to the BF3
84
In terms of electrons, explain why an arrow is used to represent the N→H bond (1)
* pair electrons come from nitrogen
85
Explain how hydrogen bonds occur between two molecules of ammonia (3)
* (Large) electronegativity difference between N + H * Forms N δ– / H δ+ or dipole explained in words * Lone pair on N attracts/forms weak bonds with H (δ+)
86
Suggest why the boiling point of AsH3 is lower than that of NH3 (1)
(Only) weak Van der Waals forces between molecules /AsH3 has weaker IMF /ammonia has hydrogen bonding/ more energy needed to break IMF’s in ammonia/ Van der Waals weaker than H bonds;
87
Explain, in terms of bonding, why the boiling point of fluorine is very low (2)
* **ONLY** vdw / van der Waals forces between molecules * IMF are weak / need little energy to break IMF / easy to overcome IMF
88
Draw a diagram to show the strongest type of interaction between two molecules of ethanol (C2H5OH) in the liquid phase Include all lone pairs and partial charges in your diagram (3)
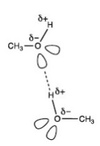
89
# Methoxymethane (CH3OCH3) is an isomer of ethanol * The table shows the boiling points of ethanol and methoxymethane * In terms of the **intermolecular forces** involved, explain the difference in boiling points
* Hydrogen bonds (between ethanol molecules) * (permanent) dipole-dipole OR van der Waals force (between methoxymethane molecules) * Hydrogen bonds are stronger
90
Explain how **permanent dipole-dipole** forces arise between hydrogen chloride molecules (2)
* Difference in electronegativity leads to bond polarity * *(dipoles don’t cancel therefore the molecule has an overall permanent dipole)* and there is an attraction between ∂+ on one molecule and ∂− on another
91
Bromine (Br2), strontium chloride (SrCl2) and iodine monochloride (ICl) all have similar Mr values. Suggest, with reasons, the order of melting points for these three substances (6)
* SrCl2 strong ionic bonds / (strong electrostatic attraction between opposite ions) * Lattice so **many** strong bonds to overcome * ICl has **dipole-dipole** between molecules – weaker than ionic bonds * Br2 has van der Waals forces between molecules – much weaker | SrCl2> ICl > Br>
91
92
Van der Waals’ forces exist between all molecules. Explain how these forces arise (3)
* Electron movement in first molecule / temporary dipole * Induces a dipole in another molecule * (Induced-temporary) attraction or δ+ attracts δ- in different/adjacent molecules
93
Suggest why methaneselenol (CH3SeH) has a higher boiling point than methanethiol (CH3SH) (2)
* (Methaneselenol is a) bigger molecule / larger Mr / larger no of electrons / Se bigger atom * With stronger/more vdw forces between molecules
94
Draw a diagram to show how one molecule of ammonia is attracted to one molecule of water. Include all partial charges and all lone pairs of electrons in your diagram (3)
95
Phosphine (PH3) has a structure similar to ammonia. In terms of intermolecular forces, suggest the main reason why phosphine is almost insoluble in water (1)
* (Phosphine) does not form hydrogen bonds (with water)
96
* The table below shows the boiling points of fluorine, fluoromethane (CH3F ) and hydrogen fluoride * Name the strongest type of intermolecular force present in: * Liquid F2: * Liquid CH3F: * Liquid HF: * ii) Explain how the strongest type of intermolecular force in liquid HF arises (6)
* F2 = van der Waals’ / induced/temporary dipole-dipole * CH3F = dipole-dipole * HF = hydrogen bonding * ii) large difference in electronegativity between H and F * δ+H-Fδ- dipole created or dipole clearly implied * attraction/bond formed between δ+H and lone pair on F
97
# The table below shows the boiling points of some other hydrogen halides i) Explain the **trend** in the boiling points of the hydrogen halides from HCl to HI ii) Give **one** reason why the boiling point of HF is higher than that of all the other hydrogen halides
* van der Waals’ / induced/temporary dipole-dipole / dispersion / London forces / attractions * **increase** with the increasing Mr / size * ii) **hydrogen bonding** stronger than van der Waals’ attraction/forces
98
Explain why CF4 has a bond angle of 109.5°(2)
* Around carbon there are 4 bonding pairs of electrons (and no lone pairs) * Therefore, these repel equally and spread as far apart as possible
99
Draw a diagram to show how two methanol molecules interact with each other through hydrogen bonding in the liquid phase (3)
100
The bond angle around the oxygen atom in methanol is slightly smaller than the regular tetrahedral angle of 109.5° Explain why this bond angle is smaller than 109.5° (1)
* Idea that lone pairs have greater repulsion than bonding pairs
101
Give one reason why the reaction between hydrogen and chlorine is very slow at room temperature (1)
activation energy is high / few molecules/particles have sufficient energy to react/few molecules/particles have the required activation energy
102
Explain why an increase in pressure, at constant temperature, increases the rate of reaction between hydrogen and chlorine (2)
* molecules are closer together/ more particles in a given volume * therefore collide more often / more frequently
103
Give the meaning of the term catalyst (1)
* speeds up a reaction but is chemically unchanged at the end
104
Explain how permanent dipole-dipole forces arise between hydrogen chloride molecules (2)
* **Difference in electronegativity** leads to bond polarity * (dipoles don’t cancel therefore the molecule has an overall permanent dipole) and there is an attraction between ∂+ on one molecule and ∂− on another
105
Explain how the value of the Cl-Al-Cl bond angle in AlCl3 changes, if at all, on formation of the compound H3NAlCl3 (2)
* Aluminium is now surrounded by 4 electron pairs/bonds or is tetrahedral * Therefore Cl-Al-Cl bond angle decreases / changes (from 120° in AlCl3 ) to allow range 107-111° in H3NAlCl3
106
Explain, in terms of structure and bonding, why the melting point of carbon is high (3)
* Macromolecular / giant molecular * **Covalent** bonds in the structure * Strong (covalent) bonds must be broken or overcome / (covalent) bonds need a lot of energy to break
107
Explain why CBr4 is not a polar molecule (2)
* the molecule is completely symmetrical * the dipoles cancel out
108
Suggest, in terms of the intermolecular forces for each compound, why CBr4 has a higher boiling point than CHBr3 (3)
* CBr4 has van der Waals’ forces between molecules * CHBr3 has van der Waals’ forces and dipole-dipole intermolecular forces * The van der Waals’ between CBr4 molecules are stronger
109
Describe the structure and bonding in magnesium (2)
* (giant) **lattice** of (Mg2+) cations / (giant) lattice of (Mg) atoms * (Electrostatic) attractions between cations / Mg2+ ions / nuclei and delocalised electrons
110
State the trend in the atomic radius of the elements down *Group 2* from Mg to Ba Give a reason for this trend (2)
* Trend: increases * Reason: the number of **electron energy levels** increases | **Ignore increase in shielding**
111
Explain why the electronegativity of the halogens decreases down the group (2)
* Larger atoms / more electron shells / more shielding / bonding pair of electrons further from the nucleus * weaker attraction between nucleus and **bonding pair** of electrons | **Ignore references to outer electrons**
112
113
114
There are two lone pairs of electrons on the oxygen atom in a molecule of oxygen difluoride (OF2). Explain how the lone pairs of electrons on the oxygen atom influence the bond angle in oxygen difluoride (2)
* Lone pairs repel more than bond pairs * bond angle will be lower (than regular tetrahedral angle) / bond angle of 103-106°
115
Define electronegativity (1) | **2024**
* The (relative) **ability** of an atom to attract electron density in a covalent bond
116
Explain why the C–Cl bond is polar (2)
* Chlorine has a higher electronegativity (than carbon) * So the electron density is unsymmetrical / so chlorine becomes δ– and carbon becomes δ+
117
Barium reacts with oxygen to form barium oxide. Barium oxide has a high melting point and an ionic lattice structure similar to that of sodium chloride. Draw a 3D diagram to show how the particles are arranged in a barium oxide lattice. You should draw eight particles (2)
118
Explain why sodium has a lower melting point than magnesium (2)
* Na fewer protons/smaller nuclear charge/ fewer delocalised electrons * Na is a bigger ion/ atom * Smaller attraction between nucleus and delocalised electrons
119
Suggest why electronegativity increases across a period (2)
* More protons / bigger nuclear charge * Same shielding * Greater attraction to bonding pair of electrons
120
Deduce why the bonding in nitrogen oxide is covalent rather than ionic (1)
* Small electronegativity difference / difference = 0.5 * *Allow two non metals*
121
Explain, in terms of the intermolecular forces present in each compound, why HF has a higher boiling point than HCl (4)
* HF = hydrogen bonding (1) * HCl = (permanent) dipole-dipole bonding or even van de Waals’ (1) * Hydrogen bonding stronger / is the strongest IMF
122
State the type of crystal structure for each of iodine and graphite (2)
* Iodine – **molecular** * Graphite – macromolecular/giant covalent/giant atomic
123
Describe the structure of and bonding in graphite and explain why the melting point of graphite is very high (4)
* **Layers** of (C atoms) * Connected by **covalent bonds** within each layer * **Van der Waals** forces/IMF between layers/weak forces between layers * Many/strong covalent bonds need to be broken
124
Explain why iodine vaporises when heated gently (2)
* Van der Waals forces are weak or easily broken * Van der Waals **between molecules** (or implied)
125
State the type of bonding involved in silver. Draw a diagram to show how the particles are arranged in a silver lattice and show the charges on the particles (3)
* metallic (bonding) * Regular arrangement of same sized particles * + charge in each ion | *Candidates do not need to show delocalised electrons*
126
Explain why calcium has a higher melting point than strontium (2)
* (For Ca) delocalised electron(s) closer to cations / positive ions / nucleus / cations / positive ions / atoms are smaller * (For Ca) has stronger attraction between the cations / positive ions / nucleus and the delocalised electron(s) / Stronger metallic bonding
127
* B * Both Na+ and Fsame electron arrangement (1s2 2s2 2p6 ) or isoelectronic * Sodium (ion) has more protons so **attracts (outer) electrons closer**
128
* Type of Bond: Coordinate bond / dative (covalent) bond * Explanation: A (lone) pair of electrons is donated **from F**
129
Chlorine has a low boiling point because the forces between the molecules are **weak**. Explain how these forces arise between molecules of chlorine (3)
* (Random) movement of electrons in one molecule (creates a dipole) / a (temporary) dipole is formed in one molecule * Induces a dipole in a neighbouring molecule * (These) temporary dipoles attract / temporary attraction between δ+ and δ–
130
appropriate precision :
3sf