13) Integral Transforms Flashcards

(5 cards)

1
Q

What is an integral transform with respect to a kernel

A
How well did you know this?
1
Not at all
2
3
4
5
Perfectly
2
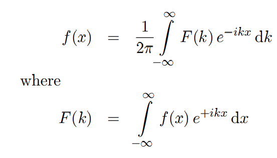
Q

What is the Complex Fourier Transform and its inverse

A
How well did you know this?
1
Not at all
2
3
4
5
Perfectly
3
Q

What is the Fourier Cosine Transform and its inverse

A
How well did you know this?
1
Not at all
2
3
4
5
Perfectly
4
Q

What is the Fourier Sine Transform and its inverse

A
How well did you know this?
1
Not at all
2
3
4
5
Perfectly
5
Q

What are the key properties of Fourier and Laplace transforms

A
How well did you know this?
1
Not at all
2
3
4
5
Perfectly