1.3.U1 Draw a simplified diagram of the structure of the phospholipid

1.3.U2 State the primary function of the cell membrane
The cell membrane is semi-permeable and controls the movement of substances in and out of cells.
1.3.U2 Contrast the structure of integral and peripheral proteins
Peripheral proteins sit on the surface or have small sections that dip into the bilayer.
Integral proteins have large sections embedded in the hydrophobic middle of the membrane. Some integral proteins are “transmembrane” meaning they cross the membrane.
1.3.U2 List at least four functions (w/ examples) of membrane bound proteins
1.3.U2 Contrast the two types of transport proteins
Channel proteins are used for passive transport of molecules, often shaped like pores/tunnels. Molecules move from [high] to [low].
Pump proteins are used for active transport of molecules. Molecules move from [low] to [high].
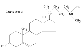
1.3.U3 Identify the structure of cholesterol in molecular diagrams
Cholesterol is a lipid hat can be distinguished by its characteristic four-ring structure

1.3.U3 Describe the structural placement of cholesterol within the cell membrane
Cholesterol fits between phospholipids in the cell membrane with its hydroxyl group by the heads and the hydrophobic rings by the fatty acid tails.
1.3.A1 Describe the function of cholesterol molecules in the cell membrane
Cholesterol acts as a regulator of membrane fluidity (which is the viscosity of the cell membrane).
The membrane fluidity effects how permeable the structure is to solutes: too fluid=too much permeability
too stiff=not enough permeability
1.3.S1 Draw the structure of the cell membrane

1.3.S2 Describe the observations and conclusions drawn by Davson and Danielli in discovering the structure of cell membranes
In 1935 Davson and Danielli proposed the “protein-lipid sandwich model” of the cell membrane. In electron micrographs, they observed two dark parallel lines with a light region in between. Since proteins appear dark and lipids appear light in micrographs, Davson and Danielli proposed that the phospholipid bilayer was embedded between two layers of proteins.
1.3.S3 Describe conclusions about cell membrane structure drawn from freeze-etched electron micrograph images of the cell membrane
Cells are rapidly frozen and then fractured. Fracture occurs along lines of weakness, including the center of membranes. Globular structures throughout the membrane were interpreted as transmembrane proteins. Transmembrane proteins were not accounted for by the Davson-Danielli model of the cell membrane.
1.3.S3 Describe conclusions about cell membrane structure drawn from cell fusion experiments
When a human cell and a mouse cell, each with cell membrane proteins tagged with different fluorescent antibodies, were fused together, the membrane proteins initially did not mix. However, after 40 minutes the proteins had mixed. This experiment showed that protein molecules can move from place to place on the cell membrane.
1.3.S3 Describe conclusions drawn about cell membrane structure from improvements in techniques for determining the structure of membrane proteins
Improvements in tools and techniques allowed scientists to extract membrane proteins and determine their chemical and physical properties. The membrane proteins were found to be varied in shape and size. Additionally, some proteins were hydrophobic (or partially hydrophobic). These findings did not match the model proposed by Davson and Danielli, in which proteins would be relatively uniform in shape and hydrophillic in nature.
1.3.S3 Compare the Davson-Danielli model of membrane structure with Singer-Nicolson model
Singer and Nicolson proposed a membrane model that incorporated evidence about membrane proteins that did not comply with the Davson-Danielli model. Rather than having proteins on the surface of the phospholipids, Singer-Nicolson proposed a model in which proteins were embedded within and through the membrane, called the Fluid Mosaic Model.
1.3.NOS1 Explain what models are and their purposes in science
Models are conceptual representatives used to explain and predict phenomena
1.3.NOS1 Describe the observations and deductions drawn by Gorter and Grendel in discovering the structure of cell membranes
Gorter and Grendel (1925) investigated the surface area of membranes. They noticed that the surface area of an intact red blood cell was half of the surface area of the lipids when spread on a water surface. They concluded that the cell membrane is made of a bilayer of lipids with head groups facing the inside and outside of the cell and the tails of each layer facing inward towards each other.
1.3.NOS2 Describe why the understanding of cell membrane structure has changed over time
As tools and technologies advance, our understanding of biological structures and functions also improves. Techniques such as freeze-fracture, cell fusion, fluorescent antibody tagging and protein extraction enabled scientists to gain a more accurate understanding of the structure of cell membrane proteins.