Friday, 9 PM: Jenna B. is a 17-year-old girl. She has a history of seizures since childhood, for which she takes phenytoin, an antiepileptic drug. This afternoon, she took a home pregnancy test, which was positive. She is terrified of telling her parents the news. She recently won a scholarship to a prestigious art school, and her parents are very excited about her future college plans. Desperate, Ms. B. ingests a bottle of acetaminophen in an overdose. She writes a suicide note to her parents and goes to bed. Saturday, 10 AM she awakes feeling terrible. She is very nauseated and vomits multiple times in her bathroom. Her mother finds her vomiting bilious liquid into the toilet, and Ms. B. breaks down in tears and tells her about the pregnancy and her drug ingestion of the night before. Her mother calls the pediatrician and rushes her to the emergency department at Children’s Hospital.
How does acetaminophen cause toxicity in overdose?
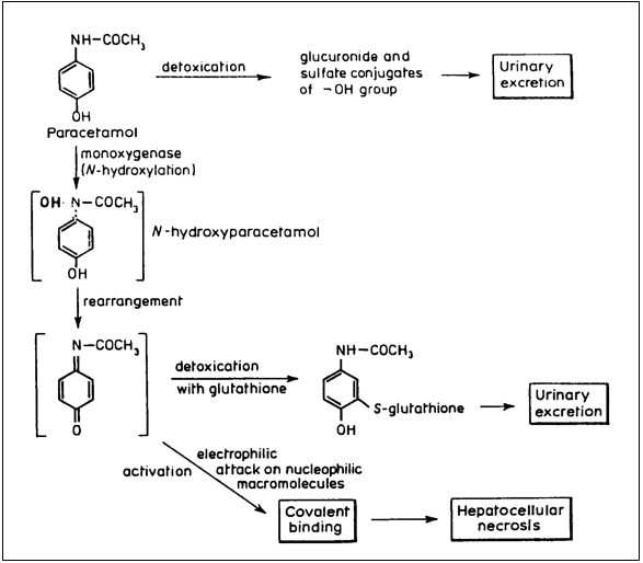
Acetaminophen is hepatically metabolized to a toxic metabolite. The metabolic pathway through the P450 enzymes (N-hydroxylation) is a minor component of acetaminophen metabolism and the reactive intermediate it produces is immediately conjugated to glutathione. In overdose, more acetaminophen is available to be metabolized by the P450 enzymes to this reactive metabolite. When glutathione stores are depleted, the toxic metabolite is free to react with hepatocytes, causing a toxic hepatitis and hepatocellular death.
Friday, 9 PM: Jenna B. is a 17-year-old girl. She has a history of seizures since childhood, for which she takes phenytoin, an antiepileptic drug. This afternoon, she took a home pregnancy test, which was positive. She is terrified of telling her parents the news. She recently won a scholarship to a prestigious art school, and her parents are very excited about her future college plans. Desperate, Ms. B. ingests a bottle of acetaminophen in an overdose. She writes a suicide note to her parents and goes to bed. Saturday, 10 AM she awakes feeling terrible. She is very nauseated and vomits multiple times in her bathroom. Her mother finds her vomiting bilious liquid into the toilet, and Ms. B. breaks down in tears and tells her about the pregnancy and her drug ingestion of the night before. Her mother calls the pediatrician and rushes her to the emergency department at Children’s Hospital.
What might be the impact of chronic phenytoin use on acetaminophen overdose?
Phenytoin induces the activity of the P450 enzymes. As a result, any acetaminophen that is available for oxidative metabolism by the P450 enzymes will be more efficiently metabolized to the reactive toxic intermediate. The risk of liver toxicity will be increased.
Friday, 9 PM: Jenna B. is a 17-year-old girl. She has a history of seizures since childhood, for which she takes phenytoin, an antiepileptic drug. This afternoon, she took a home pregnancy test, which was positive. She is terrified of telling her parents the news. She recently won a scholarship to a prestigious art school, and her parents are very excited about her future college plans. Desperate, Ms. B. ingests a bottle of acetaminophen in an overdose. She writes a suicide note to her parents and goes to bed. Saturday, 10 AM she awakes feeling terrible. She is very nauseated and vomits multiple times in her bathroom. Her mother finds her vomiting bilious liquid into the toilet, and Ms. B. breaks down in tears and tells her about the pregnancy and her drug ingestion of the night before. Her mother calls the pediatrician and rushes her to the emergency department at Children’s Hospital.
How might she be treated to ameliorate the toxic effect?
An intravenous infusion of a cysteine derivative (N-acetylcysteine) is initiated as a loading dose and maintenance infusion to increase the levels of glutathione available for conjugation.
Are biotransformation reactions necessary?
biotransformation and elimination
Major purpose of drug metab is converting highly lipophilic molecs (long t1/2) to more water-soluble metabs that can be excreted in the urine.
Renal excretion of drugs:
Biotransformation - bioactivation vs inactivation
phase 1 vs phase 2
Phase I reactions
Phase II reactions
cytochrome p450s - common names, function, location, substrates, isoforms, and overall reaction
Common Names
Function
Location
Substrates
Isoforms
overall reaction:
NADPH + H+ + O2 + RH -> (Cyto P450) -> NADP+ + H2O + ROH
requirements:
NADPH, O2, NADPH-Cytochrome p450 reductase, FAD/FMN, cytochrome b5
cytochrome P450s overall reaction
overall reaction:
NADPH + H+ + O2 + RH -> (Cyto P450) -> NADP+ + H2O + ROH
requirements:
NADPH, O2, NADPH-Cytochrome p450 reductase, FAD/FMN, cytochrome b5
cytochrome p450 cycle

phase II enzymes: overarching characteristics
Final step in “detoxification” pathway to make inactive products to be excreted renally
Glucuronidation (glucuronic acid conjugation)

Glutathione Conjugation

sulfate conjugation

Acetylation

Other types of conjugation reactions: methylation and AA conjugation
summary of phase II enzymes: type of conjugation, endogenous cofactors, transferase (location)
Type of Conjugation
Endogenous Cofactors
Transferase (location)
Glucuronidation
UDP-glucuronic acid
UDP-glucuronyl Transferase (microsomes)
Acetylation
Acetyl-CoA
N-acetyl transferase (cytosol, kuppffer cell)
Glutatione
Glutathione
GSH-S-transferase (cytosol)
Sulfation
Phosphoadenosyl phosphosulfate
Sulfotransferase (cytosol)
Glycine
Glycine
Acetyl-CoA transferase (mitochondria)
Methylation
S-Adenosyl methionine
Transmethylases (cytosol)
bioactivation
L-DOPA -> Dopamine (Parkinson’s treatment; permeable to BBB & conv to dopamine in substantia nigra)
adverse reactions (general toxicity)
acetaminophen toxicity

isoniazid and hepatitis

carcinogenesis re: bioactivation
enterohepatic recirculation

enzyme induction
Environmental agents induce (enhance) the biosynthesis or inhibit degradation of various components of the mixed-function oxidase system (Phase I)