16 One and Two Sample Hypothesis Tests Flashcards

(23 cards)

1
Q

What is the Alternative Hypothesis in hypothesis testing?

A

H1 - A statement that indicates the presence of an effect or a difference

It is the hypothesis that researchers aim to support through statistical evidence.

How well did you know this?
1
Not at all
2
3
4
5
Perfectly
2
Q

Define Binomial in the context of statistics.

A

A distribution that models the number of successes in a fixed number of independent trials which all have two possible outcomes and a constant probability of success

Each trial has two possible outcomes: success or failure.

How well did you know this?
1
Not at all
2
3
4
5
Perfectly
3
Q

What does the Central Limit Theorem state?

A
  • for samples which are large (𝑛 ≥ 30)
  • if the underlying data is not normally distributed
  • then we can approximate the sample mean distribution
How well did you know this?
1
Not at all
2
3
4
5
Perfectly
4
Q

What is a Critical Region in hypothesis testing?

A

The set of all values of the test statistic that would lead to the rejection of the null hypothesis

It is determined by the significance level of the test.

How well did you know this?
1
Not at all
2
3
4
5
Perfectly
5
Q

What is a Critical Value?

A

The threshold value that the test statistic must exceed to reject the null hypothesis

It is derived from the significance level and the distribution of the test statistic.

How well did you know this?
1
Not at all
2
3
4
5
Perfectly
6
Q

What is meant by Significance Level?

A

The probability of rejecting the null hypothesis when it is true

Commonly denoted by alpha (α), often set at 0.05.

How well did you know this?
1
Not at all
2
3
4
5
Perfectly
7
Q

What is a Type I Error?

A

The error made when the null hypothesis is rejected when it is actually true

This is also known as a false positive.

How well did you know this?
1
Not at all
2
3
4
5
Perfectly
8
Q

What is a Type II Error?

A

The error made when the null hypothesis is not rejected when it is actually false

This is also known as a false negative.

How well did you know this?
1
Not at all
2
3
4
5
Perfectly
9
Q

What does Pooled Estimate refer to?

A

An estimate of the common variance from two or more samples

It is used when the variances of the populations are assumed to be equal.

How well did you know this?
1
Not at all
2
3
4
5
Perfectly
10
Q

What is the Null Hypothesis?

A

A statement that there is no effect or no difference

It serves as the default assumption that is tested against the alternative hypothesis.

How well did you know this?
1
Not at all
2
3
4
5
Perfectly
11
Q

What is a Test Statistic?

A

A standardised value that is calculated from sample data during a hypothesis test

It is used to determine whether to reject the null hypothesis.

How well did you know this?
1
Not at all
2
3
4
5
Perfectly
12
Q

What is the t-Distribution?

A

A type of probability distribution that is symmetric and bell-shaped, similar to the normal distribution

It is used when the sample size is small and the population standard deviation is unknown.

How well did you know this?
1
Not at all
2
3
4
5
Perfectly
13
Q

What is the Power of a test?

A

The probability that the test correctly rejects a false null hypothesis

It is the likelihood of avoiding a Type II error.

How well did you know this?
1
Not at all
2
3
4
5
Perfectly
14
Q

What is an Unbiased Estimate?

A

An estimate that is expected to equal the parameter it estimates

For a sample from Y; the unbiased estimate for μ is ȳ and for σ is s

How well did you know this?
1
Not at all
2
3
4
5
Perfectly
15
Q

What is the Difference in hypothesis testing?

A

The comparison of two population parameters, such as means or proportions

It is often the focus of hypothesis tests.

How well did you know this?
1
Not at all
2
3
4
5
Perfectly
16
Q

What assumptions need to be made for a difference of means, t-test?

Two sample t-test

A
  • Normality of data
  • Independent samples
  • Equal variances
17
Q

What is the pooled proportion for the unknown population proportion?

A

Calculated from the combined proportions of both samples

Used in hypothesis testing for differences in proportions - in he formula booklet

18
Q

What are the assumptions for a two sample binomial proportion test?

A
  • Independent Samples
  • np>10 and n(1-p)>10 for both populations
  • Both populations meet the binomial conditions
19
Q

What assumption must be made about the underlying population to perform a one-sample t-test?

A

The data follows a normal distribution

20
Q

What assumptions need to be made for a difference of means, z-test?

Two sample z-test

A
  • Both samples are taken from NORMALLY DISTRIBUTED POPULATIONS or the CENTRAL LIMIT THEOREM applies
  • The VARIANCES (and therefore standard deviations) are KNOWN for each distribution
  • The two normal distributions are INDEPENDENT
21
Q

What are the hypotheses for a one sample t-test?

22
Q

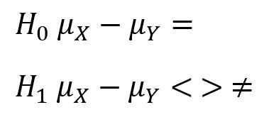
What are the hypotheses for a difference of two means test?

Can be for both z or t

23
Q

What are the hypotheses for a two sample binomial proportion test?