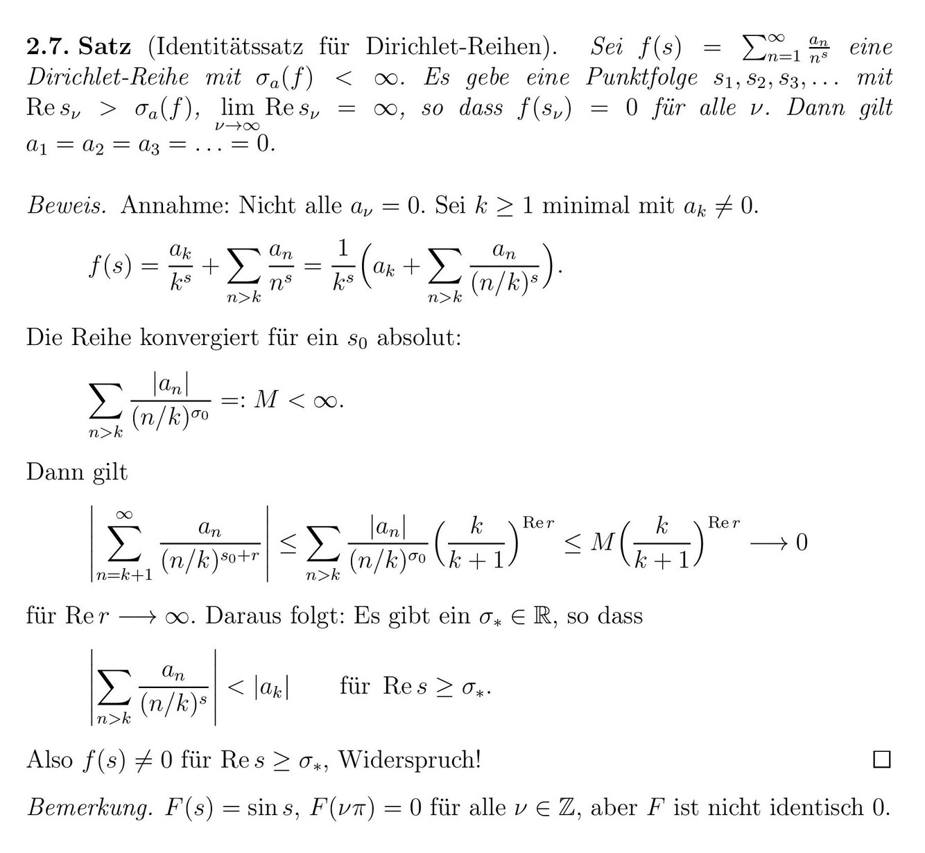
Difiniere die Dirichlet Reihe.

Definiere den Begriff absolute Konvergenz-Abzisse und beschreibe ihn.

Definiere den Begriff bedingte Konvergenz-Abzisse.








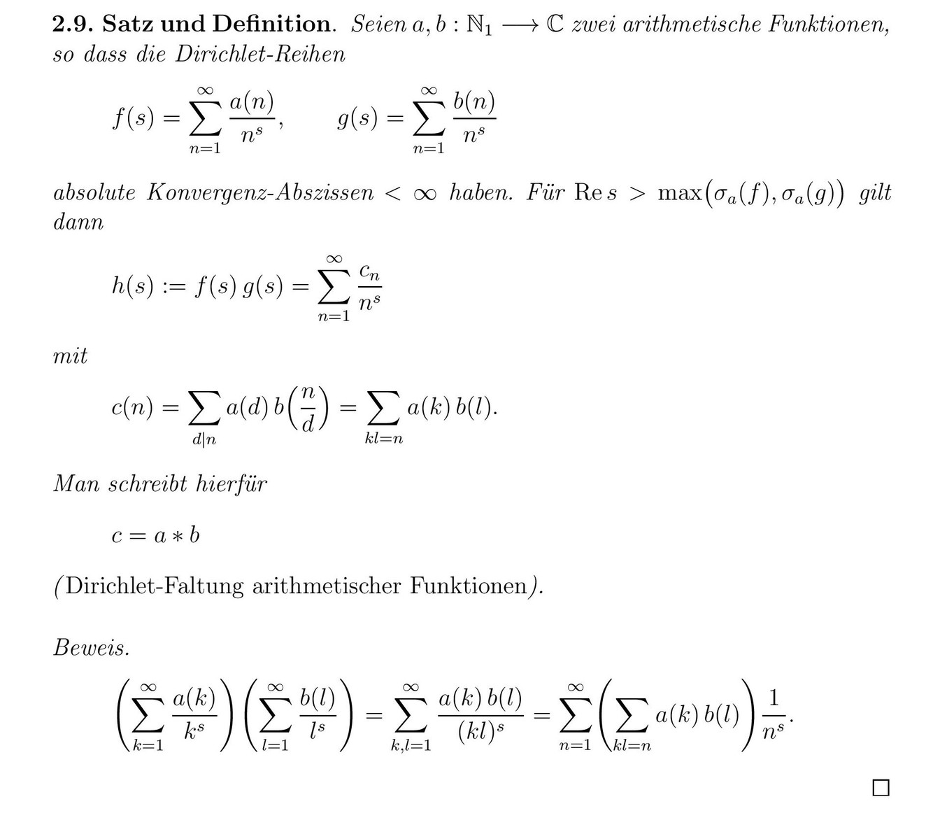
Erkläre, was man unter einer arithmetischen Funktion versteht und ordne ihr eine Dirichlet Reihe zu.




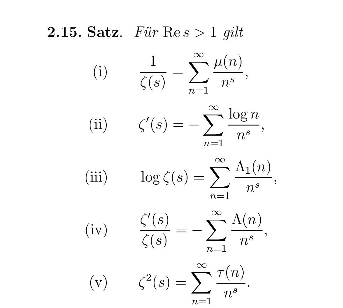
Definiere die Möbius Funktion.




Definiere die Von-Mongoldt-Funktionen.



Beschreibe die Mellin-Transformation.


