2. Microscopy Flashcards

(93 cards)

1
Q

To understand the function of optical lenses (further called “lenses”) the concept of ___ is sufficient

A

geometric optics

How well did you know this?
1
Not at all
2
3
4
5
Perfectly
2
Q

What is the concept of geometric optics?

A

According to this model, light rays emerge from every object point in all possible directions and propagate in straight lines. I

How well did you know this?
1
Not at all
2
3
4
5
Perfectly
3
Q

What is Fermat’s principle?

A

The path taken by light in traveling from one point to another is such that the time of travel is minimum.

How well did you know this?
1
Not at all
2
3
4
5
Perfectly
4
Q

The well-known Snell’s law of refraction is a consequence of which principle?

A

Fermat’s principle

How well did you know this?
1
Not at all
2
3
4
5
Perfectly
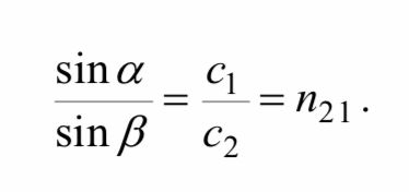
5
Q

Snell’s law of refraction

A

The ratio of the sine of the angle of incidence (􏰬 alpha) to that of refraction ( beta􏰵 ) equals the ratio of the speed of light in the corresponding media (c1, c2)

→ This ratio equals the relative index of refraction of the second medium with respect to the first (n21)

How well did you know this?
1
Not at all
2
3
4
5
Perfectly
6
Q

The well-known Snell’s law of refraction is a consequence of Fermat’s principle.

→ Accordingly, when a beam strikes a boundary surface separating two different media, the transmitted ray is ___

A

refracted

How well did you know this?
1
Not at all
2
3
4
5
Perfectly
7
Q

Characteristics of lenses

A

Lenses are usually circular in diameter and have two spherical surfaces

How well did you know this?
1
Not at all
2
3
4
5
Perfectly
8
Q

What is the optical axis?

A

The dashed line (Fig. 2) connecting the centers of curvature of the spheres

How well did you know this?
1
Not at all
2
3
4
5
Perfectly
9
Q

What are 2 types of lenses

A

converging (positive) and diverging (negative)

How well did you know this?
1
Not at all
2
3
4
5
Perfectly
10
Q

Characteristics of converging lenses

A

Incident light parallel with the optical axis is focused at the focal point, beyond the converging lens.

How well did you know this?
1
Not at all
2
3
4
5
Perfectly
11
Q

Characteristics of diverging lenses

A

Incident light parallel with the optical axis diverges as if it originating from the focal point, before the diverging lens.

How well did you know this?
1
Not at all
2
3
4
5
Perfectly
12
Q

What is PRINCIPAL PLANE:?

A

sufficiently thin lens can be represented well by a single refraction in the principal plane.

How well did you know this?
1
Not at all
2
3
4
5
Perfectly
13
Q

What is focal point?

A

When incident rays are parallel to the optical axis of the converging lens, the refracted rays converge at one point along the optical axis → this point is focal point F

How well did you know this?
1
Not at all
2
3
4
5
Perfectly
14
Q

What is FOCAL LENGTH?

A

distance of the focal point to the principal plane.

How well did you know this?
1
Not at all
2
3
4
5
Perfectly
15
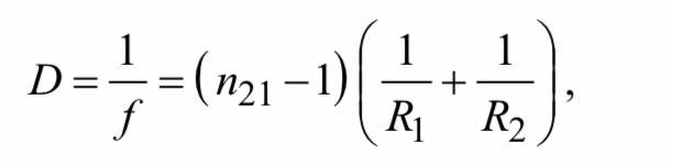
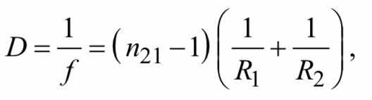
Q

What is POWER OF A LENS?

A

the reciprocal of the focal length (D = 1 / f ). It is measured in diopters (1 dpt = 1/m).

How well did you know this?
1
Not at all
2
3
4
5
Perfectly
16
Q

Characteristics of thin lens

A

Thickness of the thin lens is negligible compared to its focal length.

How well did you know this?
1
Not at all
2
3
4
5
Perfectly
17
Q

incident parallel rays ___ into one point in the case of a converging lens

A

converge

How well did you know this?
1
Not at all
2
3
4
5
Perfectly
18
Q

incident parallel ray are___ from one point in the case of a diverging lens

A

emerged

How well did you know this?
1
Not at all
2
3
4
5
Perfectly
19
Q

Thin lenses can be well represented by a single __ on the principal plane

A

refraction

How well did you know this?
1
Not at all
2
3
4
5
Perfectly
20
Q

What is the lensmaker’s equation? (not in topic)

A

It gives the power (or focal length) of a thin lens in terms of the properties of the lens as follows

(where n21 is the relative index of refraction of the lens material respective to the

surrounding medium and R1 and R2 are the radii of curvature of the lens surfaces.)

How well did you know this?
1
Not at all
2
3
4
5
Perfectly
21
Q

According to this equation, the smaller the radius of curvature (the more bulged the lens), the (1)___ is the focal length and the (2)__ is the power of the lens.

A
  1. shorter
  2. greater
How well did you know this?
1
Not at all
2
3
4
5
Perfectly
22
Q

Types of these lens

A
How well did you know this?
1
Not at all
2
3
4
5
Perfectly
23
Q

Types of these lens

A
How well did you know this?
1
Not at all
2
3
4
5
Perfectly
24
Q

How does The lensmaker’s equation relate to the eye?

A

It demonstrates the possibility of the eye to regulate its power by changing the curvature of the eye lens

→ forming a sharp image about both distant and close objects by the process of accommodation

How well did you know this?
1
Not at all
2
3
4
5
Perfectly
25
What is IMAGE FORMATION?
occurs when a sufficient number of light rays emerging from one point converge to another point.
26
What is the **image point?**
the place where light rays originating from one object point converge.
27
What is the **object point?**
the light ray emerged from this point arrives in our eyes.
28
What are the 3 principle rays?
The **parallel ray**, drawn parallel to the optical axis, passes through the rear focal point. The **focal ray**, drawn through the front focal point, emerges parallel to the optical axis. (Note that this is the inverse of the previous ray.) The **central ray**, drawn through the center (the vertex) of the lens, is un- deflected.
29
What is the parallel ray?
The **parallel ray**, drawn parallel to the optical axis, passes through the rear focal point.
30
What is the focal ray?
The **focal ray**, drawn through the front focal point, emerges parallel to the optical axis. (Note that this is the inverse of the previous ray.)
31
What is the central ray?
The **central ray**, drawn through the center (the vertex) of the lens, is undeflected.
32
These three principal rays, constructed from an (1)\_\_\_ at different directions, converge to one point, the (2)\_\_\_
1. object point 2. image point.
33
What does a real image mean?
light rays really meet, and the image would appear on a screen placed at this point.
34
What is Lateral magnification (*M* ) of the lens?
the ratio of the image size to the object size (see dashed areas on Fig. 8) → This can also be expressed with the object and image distances as:
35
What is LENS EQUATION?
Sum of the reciprocal of the object distance (*o*) and that of the image distance (*i*) equals the reciprocal of the focal length (1/*f*, power of the lens).
36
when two lenses are in contact (much closer than their focal length), the power of the combination equals \_\_
the sum of the powers of the lenses
37
The compound microscope consists of \_\_
the illumination system, the objective and the eyepiece
38
Describe IMAGE FORMATION OF THE MICROSCOPE
The objective lens produces a real, inverted, magnified (*M*o) image of the object, called intermediate image. → The eyepiece (ocular) acts as a simple magnifier lens and produces a virtual, upright, magnified (*M*e) image of the intermediate image as an object.
39
Types of lens are the objective and eyepiece lens
The converging lens (or multiple lenses) near the object is the **objective** lens and the one near the eye is the **eyepiece** (or ocular) lens.
40
The specimen is illuminated with \_\_\_ → the objective produces an inverted, magnified, real image of the object, the so-called \_\_\_
parallel rays of light ## Footnote **intermediate image**
41
The specimen is illuminated with parallel rays of light, therefore the objective produces an inverted, magnified, real image of the object, the so-called **intermediate image** (see Fig. 7c and Fig. 10). → What does the eyepiece do next?
The eyepiece further magnifies the image projected by the objective, as a simple magnifier glass.
42
The eyepiece is placed so that the intermediate image falls between \_\_\_
the focal point of the eyepiece and the eyepiece lens.
43
the light rays emerging from the eyepiece are divergent, which means that \_\_\_
they do not meet at a real image point
44
What is characteristics **virtual image point?**
It is perceived by our eyes, because we sense if the rays emerge from this point as they arrive from this direction
45
When you look into the microscope, what are you looking at?
you are looking at a virtual, magnified, inverted image of the specimen (assembled from virtual image points).
46
What is Lateral magnification of the microscope?
product of the magnification power of the objective and that of the eyepiece *M* = *M*o·*M*e. The final image is virtual, inverted and magnified.
47
In order to achieve the maximum possible resolution of the microscope, what should **illumination of the specimen** be?
**bright, glare-free and evenly dispersed** in the field of view.
48
What are components of the illuminating system of the microscope?
: **light source** (lamp equipped with collector lens and variable field diaphragm), **condenser** and **condenser aperture diaphragm**.
49
Which scale do we use to determine the size of different parts of biological samples?
Eyepiece scale
50
What is a stage micrometer?
an objective reticle with known units, called objective unit, O.U.
51
How to calculate calibration factor?
by dividing the known length of the selected region of the stage micrometer (e.g., 10 O.U.) by the corresponding number of divisions of the eyepiece scale (e.g., 40 E.U.).
52
Size determination of red blood cells by light microscope.
1. Calibrate the eyepiece scale for the objective of largest available magnification (40x) with the stage micrometer (1 division=10 􏰋m). 2. Place the sample of frog red blood cells on the stage. With the same objective measure the longer diameter of the rbc using the eyepiece scale.
53
What is HUYGENS' PRINCIPLE?
Every wave propagates so that each point on its primary wavefront serves as the source of spherical secondary wavelets (of small amplitude) that advance with a speed and frequency equal to those of the primary wave. → The primary wavefront at some later time is the envelope of these wavelets.
54
According to **Huygens' principle** any wave propagates so that each point on a primary wavefront serves as the source of \_\_\_**.** The primary wavefront at some later time is the envelope of these wavelets. Points of an object are also sources of such spherical secondary wavelets
**spherical secondary wavelets**
55
What is INTERFERENCE?
a process when two or more waves encounter each other.
56
What is constructive interference?
Where two crests meet, they reinforce each other and constructive interference occurs.
57
What is destructive interference?
Where a crest meets a trough, they weaken each other and destructive interference occurs, resulting in lower amplitude. → In the latter case, if the two waves have equal amplitudes, they cancel out each other.
58
When does maximal reinforcement?
when waves meet in phase (they have identical phase)
59
When does maximum weakening occur?
when waves meet out of phase (they have opposite phase).
60
What is OPTICAL GRATING (DIFFRACTION GRATING):?
an object that has **periodic** optical properties. → . Its characteristic feature is the grating period (*d* ) with a size on the order of the wavelength (􏰚)
61
What are 2 types of optical grating?
Types of the optical gratings are: amplitude grating, phase grating.
62
Describe amplitude grating
where the **transmission property** changes periodically (slits between opaque grating elements are transparent).
63
What is phase grating?
an optical grating in which the phase of the transmitted light changes periodically while its amplitude remains constant.
64
What are two basic types of phase grating?
a) grating with parts having different index of refraction but identical thickness, b) grating with parts having constant index of refraction but varying thickness.
65
Consider a ray (bundle of waves) of monochromatic light wave incident normally on a grating. A diffraction pattern is produced on the screen at large distance from the grating. → Describe this pattern
alternating bright and dark bands, called fringes are observed (intensity is the largest at the place where straight rays that were not diffracted meet). → The diffraction pattern is symmetric around the principal maximum.
66
What is **Abbe's principle?**
An optical system can resolve only those details of the specimen that diffract light rays in such a way that besides the principal maximum at least the first-order diffraction maxima are also allowed to contribute to the image formation.
67
What is Abbe's formula?
LIMIT OF RESOLUTION OF THE MICROSCOPE → distance between two object details which can be just resolved → The distance *d* above is equivalent to the spatial **detail (**􏰍 **) in the specimen that is just resolved**, which is called the **limit of resolution** of the microscope. -\> It is inversly proportional to NA
68
What is NUMERICAL APERTURE (*NA*)?
quantity determined by one-half of the angular aperture (half-aperture angle) of the objective lens (􏰑) and the refractive index of the medium between the specimen and the objective (*n*) as:
69
What is RESOLVING POWER OF THE MICROSCOPE?
the reciprocal of the limit of resolution.
70
What is IMMERSION OBJECTIVE?
**Numerical aperture and hence the resolving power of the objective can be dramatically increased** by using an immersion medium between the specimen and the objective → such as water (*n* = 1.333) or cedarwood oil (*n* = 1.5).
71
Describe STEREO MICROSCOPE
2 separate, inclined compound microscopes that are built together, and provided with a pair of erecting prism systems utilized to de-rotate and invert the image and present it to the observer in three dimensions (depth perception), magnified and upright.
72
STEREO MICROSCOPE The stereo microscope takes advantage of the ability of our eye and brain to perceive spatial, three-dimensional images of objects by transmitting ___ **that are inclined by an angle** of 14 degrees
twin **images of the object from the left and right sides**
73
STEREO MICROSCOPE Specimens are imaged utilizing ___ (microscope tubes built together), each consisting of ___ (2 things)
1. **two separate compound microscope optical trains** 2. **an eyepiece and an objective**
74
Mechanism of Fluorescence microscope
Kasha's rule: light emission emanates from the relaxation of the lowest vibrational level of the first excited state to ground state.
75
What is DARKFIELD MICROSCOPE?
As the specimen is illuminated from the side only by oblique rays, image is formed exclusively by highly diffracted rays scattered by the details of the specimen. Particles that are smaller than the limit of resolution of the microscope can be observed as shiny dots.
76
What is PHASE CONTRAST MICROSCOPE?
a contrast-enhancing technique that makes the details of the specimen with different indices of refraction visible, which otherwise have equal transparency.
77
What is POLARIZATION MICROSCOPE?
a contrast-enhancing technique that makes the birefringent details of the specimen visible, which otherwise have equal transparency. → The microscope is equipped with a polarizer which illuminates the specimen with linearly polarized light. → On the other side of the specimen another polarizer is used “an analyzer” at 90 degrees from the polarizer, at this angle the view is dark. → Light which was rotated by birefringent parts of the specimen passes, so that only these details are visible
78
What is FLUORESCENCE MICROSCOPE:?
If excited by a light of short wavelength (it can be UV light as well), native or stained parts of the specimen emit visible light of wavelength longer than that of the excitation. This way new details of the specimen are visualized.
79
What is **autofluorescence?**
means that fluorescent light is emitted without the application of external dyes
80
What is **fluorophores?**
microscopic molecules, which may be proteins, small organic compounds, or synthetic polymers that absorb light of specific wavelengths and emit light of longer wavelengths. → The excited fluorophores emit **fluorescent light** (of longer wavelength due to **Stokes’ shift**), that is used for image formation
81
What is an ideal fluorophore?
The ideal fluorophore is small, hydrophylic, absorbs and emits in the visible spectral range, has a large Stokes’ shift, has specific binding to the investigated molecule, is intensive (has large absorption and emission quantum yield), and does not undergo photochemical reactions.
82
**_Fluorescence microscope_**
Simultaneous imaging of multiple labels is possible if the specimen is labelled by fluorophores of different emission color
83
What is 2 photon microscopy?
When using two-photon microscopy, two or three photons of a higher wavelength do the work of one: **→** **When they hit the fluorophore at the very same time (typically within several femtoseconds), they are absorbed, resulting in fluorophore excitation and emission of light**.s
84
The role of DICHROIC MIRROR
a beamsplitter that reflects shorter wavelengths (e.g., excitation light) and transmits longer wavelengths (e.g., fluorescence emission light).
85
**_Confocal laser scanning microscope_** Describe confocal concept
Photons arriving from the focal plane of the objective pass through the pinhole placed in the rear focal plane and contribute to image Photons arriving from outside the focal plane are focused behind or infant of pinhole =\> they are excluded from the image (is an optical imaging technique for increasing optical resolution and contrast of a micrograph by means of using a spatial pinhole to block out-of-focus light in image formation.) (laser beam - focused illumination excitation filter - selected wavelenght point-by-point scanning motorized XY scanning „optical sectioning" 3D imaging)
86
6 advantages of confocal microscopy
(!) excitation only in a tiny focal volume - reject out-of-focus (2) low laser power - in vivo imaging (3) tunable laser source - infrared spectral range (700-1300 nm) - reduced scattering (4) deep penetration (5) effective signal detection (6) optical sectioning - 3D imaging imaging without labeling
87
How does a superresolution microscopy work?
(1) allows for images to be taken at resolutions below the diffraction limit (2) STED selectively deactivates the fluorescence (3) The excited electron is forced to relax into a higher vibration state than the fluorescence transition would enter (4) Excitation laser produces an ordinary diffraction limited focus (5) depletion laser: doughnut shape, fluorescence from the molecules is quenched via stimulated emission (6) Point-by-point scanning
88
Describe Resolution of electron microscopy
(1) Based on wave nature of electron beam (2) the smallest resolvable distance ~ 5 nm
89
The role of **transmission electron microscopy (TEM)**
Investigate ultra small structure
90
How does a **transmission electron microscopy (TEM)** work?
(1) . Electromagnetic lenses are used to focus the electrons into a very thin beam and this is then directed through the specimen of interest. (2) The electrons of beam are scattered on electron clouds of atoms of object =\> leave sample across the opposite surface (4) The electrons passing through the specimen to objective lens =\> real intermediate image is made (5) Final image is projected onto a luminescent rscreen (Based on Abbe-Principle)
91
the role of **scanning electron microscopy (SEM)**
The study of surfaces of sample
92
How does a **scanning electron microscopy (SEM)** work?
Scanning electron microscopy works by scanning a sample with electron beams. - \> An electron gun fires these beams, which then accelerate down the column of the scanning electron microscope. - \> During this action, the electron beams pass through a series of lenses and apertures, which act to focus it. - \> The two types of electrons essential for imaging are backscattered electrons (BSEs) and secondary electrons (SEs). 1. Backscattered electrons are reflected back when the primary electron beam interacts with the sample object. These are elastic interactions. 2. Secondary electrons are different, because they come from the atoms of the sample, and are the result of inelastic interactions. (The main difference between SEM and TEM is that SEM creates an image by detecting reflected or knocked-off electrons, while TEM uses transmitted electrons (electrons that are passing through the sample) to create an image.)
93
State the superposition principle.
At every point where two waves overlap, the resultant wave is found by adding the two displacements from the two overlapping waves