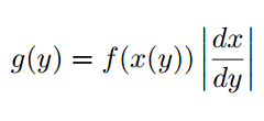
pdf of y g(y) from f(x)

joint pdf of u and v

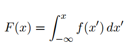
cumulative dist. func.

2007 2c


2007 2d (worked out F(x) in a)


N.B. mod = modulus (remainder), e.g. 27 mod 5 = 2.

p-value in words

p-val integral

2007 3a


07 3b


07 3di


07 3diia


07 4a


07 4b


07 4c


07 4d


07 4e


07 5a


07 5e

