Define discount rate(s)
Opportunity cost of capital required by investors given the best available expected return offered on investments of comparable risk and timing.
What is Discounted Flow Valuation?
Universal method the applies to the valuation of any asset or security.
Discount rate not the same across all classes of claims as it always reflects the riskiness of the cash flows at hand.
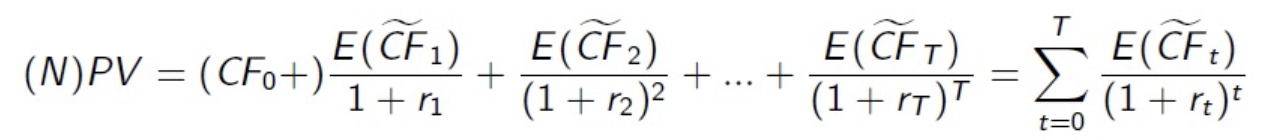
Discounted Cash Flow Valuation equation
General case of uncertainty combined with a non-flat term structure.
When PV becomes a nice sigma sum function: consistency in the discount rate.

If there is no fixed schedule of mandatory payments (like debt), a firm may choose never to pay dividends. Is equity therefore costless?
No. Shareholders require their opportunity cost of capital, i.e. return of next-best alternative of the same risk.
What are sources of value?
Dividends, as well as price increases.
How can managers estimate cost of equity?

Equilibrium in capital structure
Absent arbitrage opportunities.
Stock price revels the correct opportunity cost of the firm’s equity.
Difference between equity and debt
Equity:
Residual claim (cash flows subject to availability)
Cost of equity = return on comparable investment
Debt:
Fixed claim (repayments known in advance)
Debt is senior to equity
No default risk: cost of debt = return on riskless securities.
Merton’s (1974) model
Assumptions and implications
Assumes that: all firm debt is a zero bond with face value d and maturing in T.
Graph shows payoffs to debt- and equity holders in T as a function of firm value V.
The upside potential to the debt is capped at d while unlimited for the stock.

Observations about debt and equity financing
Risk-free or not, debt remains generally less risky than equity since creditors are paid first.
Equity financing more expensive than debt financing.
When does distinguishing between debt and equity financing actually matter?
Distinction between debt and equity only relevant if future cash flows from business operations are uncertain.
Otherwise, with certain expectations (Fisher Model), both types of claimants could forecast cash flows accurately and would require the risk-free rate.
Aim of capital structures
Can the financial manager maximise firm value by finding the optimal financing mix? (The capital structure that minimises the average cost of capital)
How will the capital structure determine firm value?
Mix of equity and debt will affect the discount rate which discount future cashflows.
Thus it will affect firm value.
What is the Weighted Average Cost of Capital (WACC)?
A metric which reflects the relative proportions of equity and debt in this capital structure.
Equation for WACC

How can we calculate the firm’s market value?
+ equation
Firm’s market value = sum of its outstanding debt and common stock market values, as well as to the present value of the relevant future cash flows discounted by the WACC.

Example:
Table for rate of reurns for both scenaries and whole venture for equity and debt combinations 100:0, 75:25, 50:50. 25:75: 10:90.


Example:
What observations can be made?

Spread between returns in both states of the world widens with debt share. Standard deviation of return increases and equity becomes riskier.
Expected return (or cost of capital) of the equity increases.
How can we write rE when rD is riskless?

Impact of a higher leverage on WACC

Traditional view: diagram for debt/equity ratio

Implications of the traditional view

Moderate borrowing → rather flat increase in rE, whereas the rate shoots up when borrowing excessively.
Curve for the weighted average capital cost rA is convex - minimum at (D=E) = optimal capital structure.
Traditional view: three effects of growing debt
Implication of these effects
Opposing effects: there is an optimal capital structure where both effects exactly cancel out. Below optimum (1) is more important than (2).
Modigliani-Miller proposition I
