21 - NUCLEIC ACIDS Flashcards

(23 cards)

1
Q

why did nature choose phosphate for its dominant roles in biology?

A

phosphate esters are very inert
resistant to hydrolysis due to the negative charge
helps them retain phosphate molecules within lipid membranes (phosphorylated molecules cannot cross the membrane)

How well did you know this?
1
Not at all
2
3
4
5
Perfectly
2
Q

half life of phosphate esters at 1M NaOH and 25°C

A
How well did you know this?
1
Not at all
2
3
4
5
Perfectly
3
Q

half lives of DNA and RNA at ph7, 25°C

A
How well did you know this?
1
Not at all
2
3
4
5
Perfectly
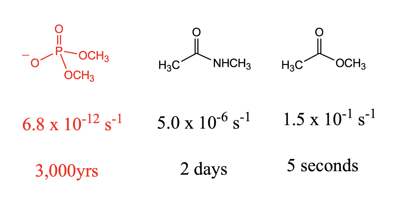
4
Q

why are phosphate diesters hydrolysed more slowly than carboxylic acid esters?

A
How well did you know this?
1
Not at all
2
3
4
5
Perfectly
5
Q

trigonal bipyramidal geometry

A
How well did you know this?
1
Not at all
2
3
4
5
Perfectly
6
Q

a model system for linkage in RNA (idk what the point of this slide is really)

A
How well did you know this?
1
Not at all
2
3
4
5
Perfectly
7
Q

why is RNA less stable than DNA?

A
How well did you know this?
1
Not at all
2
3
4
5
Perfectly
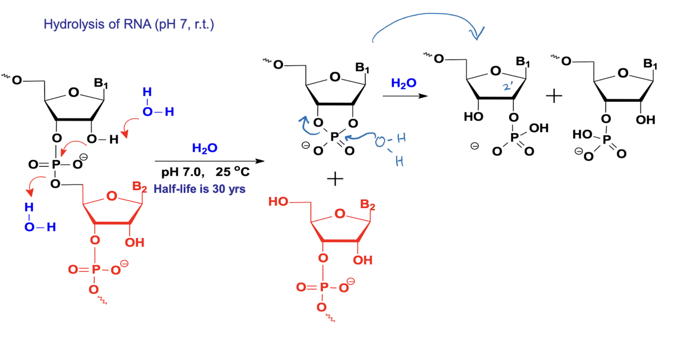
8
Q

how is the 2’ phosphate made from hydrolysed RNA

A
How well did you know this?
1
Not at all
2
3
4
5
Perfectly
9
Q

how is the 3’ phosphate made from hydrolysed RNA

A
How well did you know this?
1
Not at all
2
3
4
5
Perfectly
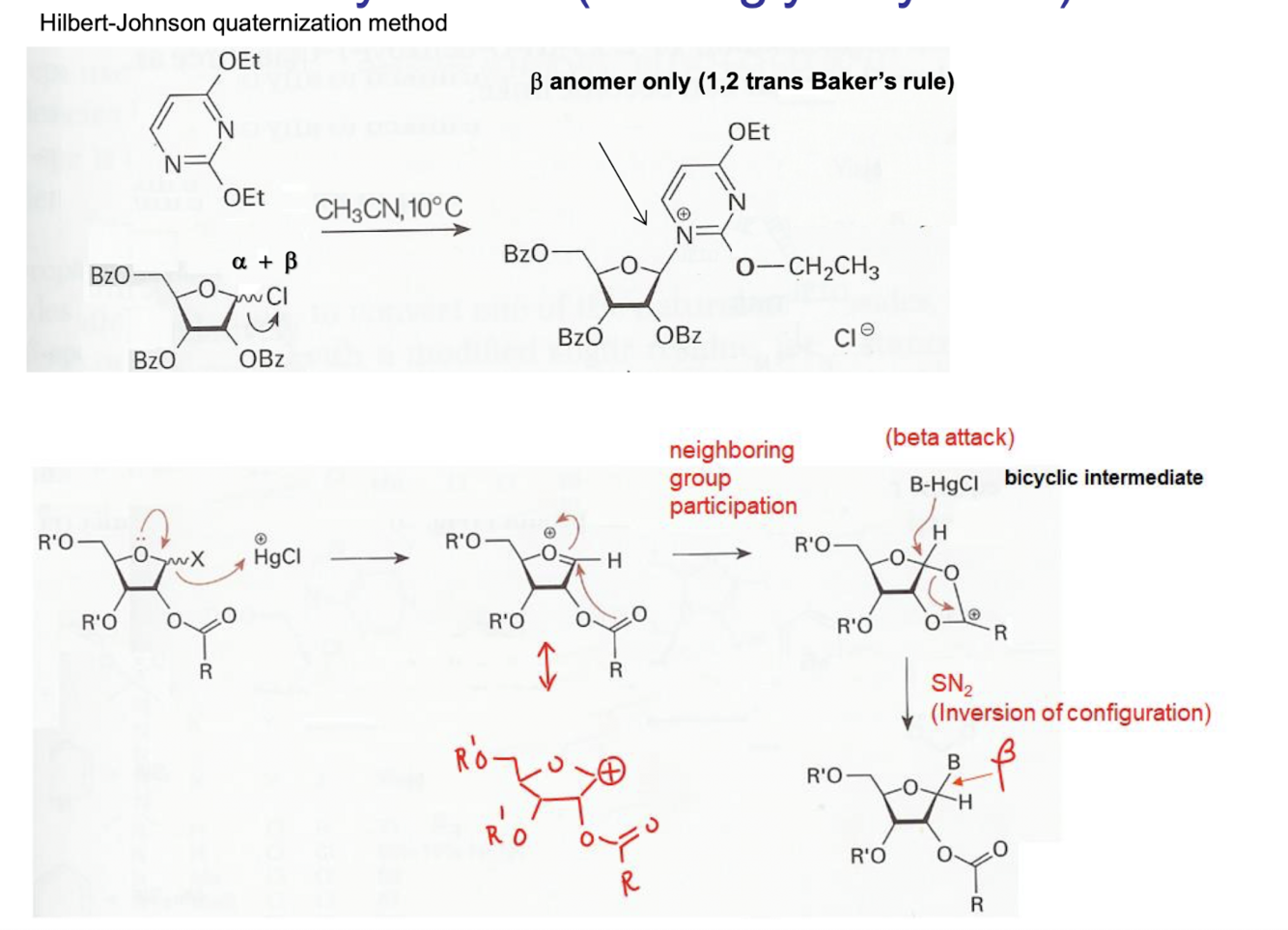
10
Q

what is the method for the industrial synthesis of nucleosides

A
How well did you know this?
1
Not at all
2
3
4
5
Perfectly
11
Q

what is the hilbert johnson quaternization method for nucleoside synthesis via N-glycosylation

A
How well did you know this?
1
Not at all
2
3
4
5
Perfectly
12
Q

how are uridine and cytidine made via that method? (N-glycosylation)

A
How well did you know this?
1
Not at all
2
3
4
5
Perfectly
13
Q

what is the mechanism of this step

A
How well did you know this?
1
Not at all
2
3
4
5
Perfectly
14
Q

what is the Vorbruggen Glycosylation method for nucleoside synthesis (uses TMFOTf)

A
How well did you know this?
1
Not at all
2
3
4
5
Perfectly
15
Q

what is the HIV life cycle and stages at which a drug can intervene?

A
How well did you know this?
1
Not at all
2
3
4
5
Perfectly
16
Q

structure of Lamivudine (3TC) and what is it used to treat

A

3TC also has an L configuration, which is unnatural
(natural nucleosides are D oriented)

17
Q

how does 3TC terminate reverse transcription

18
Q

what are nucleoside analogues that are used as drugs

A

3TC and AZT
used in combination

19
Q

what stages of the HIV life cycle can drugs intervene in?

20
Q

different types of herpes

A

type 1: the mouth
type 2: penis vagina anus

21
Q

structure of acyclovir and what it treats

22
Q

structure of 6-mercaptopurines and what it treats

23
Q

what is the mechanism of action of acyclovir