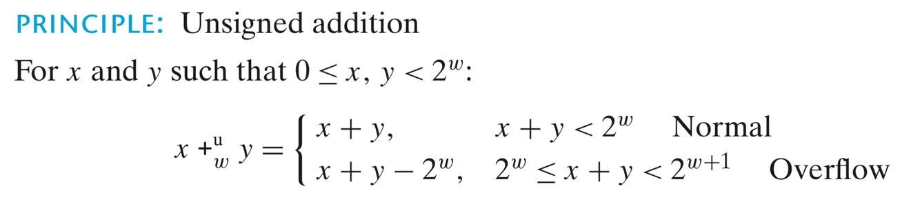
In unsigned addition, what does the compiler do if the sum overflows
subtract 2^w
In unsigned addition, what is the range for the sum?
(When is the sum defined as overflow)
Less than 2^w or greater than 2^(w+1)
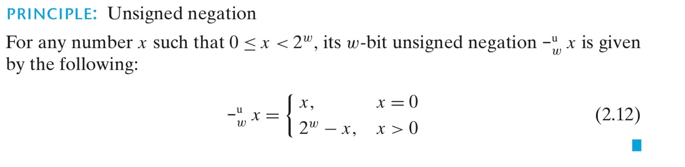
unsigned negation formula
In two’s-complement addition, what does the compiler do if the sum overflows
positive overflow: subtract 2^w
negative overflow: add 2^w
Main thing to remember in multiplication
if the result is out of the range, truncate to the number of bits needed