If the current in a speaker is a.c, describe the movement of the coil and cone and how this creates a sound wave.

Describe the left hand rule (LHR)

When a magnet is moved in and out of a coil, the magnetic field lines of the magnet cut the coil at 90º , which induces an a.c. current.
State three way in which you could increase the current induced?

Explain why a current is induced in the wire.

The current flows into the left brush making contact with the left of the split ring commutator, this means the current always travels into the page on the left side of the coil. This is 90º to the field and due to LHR the force on the left side of the coil is upward.
The coil rotates clockwise.
What would happen if the battery was reversed?

The direction of the current is reversed AND the coil will rotate anticlockwise
Draw the magnetic field around a solenoid.

Use the LHR to explain why the wire moves to the left.

How do you use the right hand grip rule to work out which end of a solenoid is the north end?
Fingers- wrap your fingers in the direction of the current
Thumb- will point to the North end of the solenoid

Explain why a current is induced in the coil

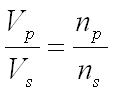
Using the transformer equation below. Describe what would happen to the voltage across a transformer if the number fo turns in the secondary is three times larger than the number of turns in the primary.

If no. of turns triples, the voltage triples.
Voltage in the seconday coil will be three times greater than the voltage in the primary
Step-up transformer
How do we use dot and crosses to represent the direction of a mangetic field or current?
dot means out of the page
cross means into the page

When a magnet is moved in and our of a coil, a current is induced in the coil. What is this phenomenon called?

Electromagnetic induction
Complete the explanation of why the comutator allows the motor to rotate
8 Using LHR- left side of coil still experiences an upward force and the right hand side still experiences a downward force

When the magnet is moved into the coil, a current is induced and the needle on the ammeter moves to the left.
Describe what happens when the magnet is pulled out of the coil.

The needle with move to the right
Reversing the direction of the magnet, reverses the induced current

What is a step-down transformer?
no. of primary turns > no. of seconday turns
primary voltage > secondary voltage

How would you demonstrate the direction of the magnetic field around a single wire?
Place compasses around the wire
The compass will point in the direction of the magnetic field

Why is voltage stepped up using transformers before transmitting long distances?

If current is reduced then the power loss along the transmission lines is reduced.
Less heat loss along the wire

Describe the force on the particle below

No force - as particle is moving parallel to the field (it must move 90º to the field)
What can be done to increase the magnetic field around a solenoid?
1- more turns
2- increase the current
3- add an iron core

When a wire is moved downward through a magnetic field, the wire cuts the magnetic field lines at 90º and induces a current in the wire.

What would happen if the wire is moved more quickly?
A larger current would be induced
Draw the shape of a magnetic field around a coil.

How do you determine the direction of a magnetic field around a wire?
Use the right hand grip rule
Thumb- direction of current
Fingers- wrap in direction of magnetic field (clock wise or anti-clockwise)

Explain why a current is induced in a wire when it it is moved downward through a magnetic field

Electromagets are used in electric bells.
What happens next?

The moment the iron armature moves to the right this creates a _break in the circuit- t_he circuit is no longer complete.
The current drops to zero and the magnetic field around the electromagnet disappears.
The iron armature is no longer attracted and springs back to the left
The armature completes the circuit again and the whole cycle repeats alowing the bell to repeatedly sound.
