3) Graphical Methods for First Order ODEs Flashcards

(11 cards)

1
Q

What is a directional field

A

The direction field associated with f,
d(x, y) = (1, f(x, y))

How well did you know this?
1
Not at all
2
3
4
5
Perfectly
2
Q

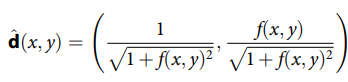
What is the normalised directional field

A
How well did you know this?
1
Not at all
2
3
4
5
Perfectly
3
Q

What is an integral curve

A

A single continuous line in the (x, y)-plane whose tangent lines coincide with the direction field

How well did you know this?
1
Not at all
2
3
4
5
Perfectly
4
Q

Why is it impossible for intgeral curves to cross

A
  • If f and ∂f/∂y are continuous then solutions to the ODE are unique by Picard’s Uniqueness Theorem
  • It follows that it is impossible for integral curves to “cross”
How well did you know this?
1
Not at all
2
3
4
5
Perfectly
5
Q

What is an Isocline

A

f(x, y) = K

How well did you know this?
1
Not at all
2
3
4
5
Perfectly
6
Q

How do you derive Euler’s method

A
How well did you know this?
1
Not at all
2
3
4
5
Perfectly
7
Q

What columns do you use when doing Euler’s method by hand

A
How well did you know this?
1
Not at all
2
3
4
5
Perfectly
8
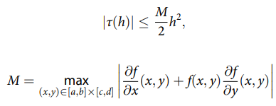
Q

What is the local truncation error of Euler’s method

A
How well did you know this?
1
Not at all
2
3
4
5
Perfectly
9
Q

What is the local truncation error of Euler’s method of a IVP

A
How well did you know this?
1
Not at all
2
3
4
5
Perfectly
10
Q

What is the global error of Euler’s method

A
How well did you know this?
1
Not at all
2
3
4
5
Perfectly
11
Q

What is the global error of Euler’s method of a IVP

A
How well did you know this?
1
Not at all
2
3
4
5
Perfectly