3.6 Hypothesis Testing Flashcards

(11 cards)

1
Q

Continuity correction for
P(X > a)

A

X > a + 0.5

How well did you know this?
1
Not at all
2
3
4
5
Perfectly
2
Q

Continuity correction for
P(X<a)

A

X < a - 0.5

How well did you know this?
1
Not at all
2
3
4
5
Perfectly
3
Q

Continuity correction for
P(X=a)

A

a-0.5 < x < a+0.5

How well did you know this?
1
Not at all
2
3
4
5
Perfectly
4
Q

Continuity correction for
P(X<=a)

A

X <= a+0.5

How well did you know this?
1
Not at all
2
3
4
5
Perfectly
5
Q

Continuity correction for
P(X>=a)

A

X >= a-0.5

How well did you know this?
1
Not at all
2
3
4
5
Perfectly
6
Q

What is the equation for a random sample taken from the normal distribution

A
How well did you know this?
1
Not at all
2
3
4
5
Perfectly
7
Q

What is the equation for a random sample taken from the normal distribution

A
How well did you know this?
1
Not at all
2
3
4
5
Perfectly
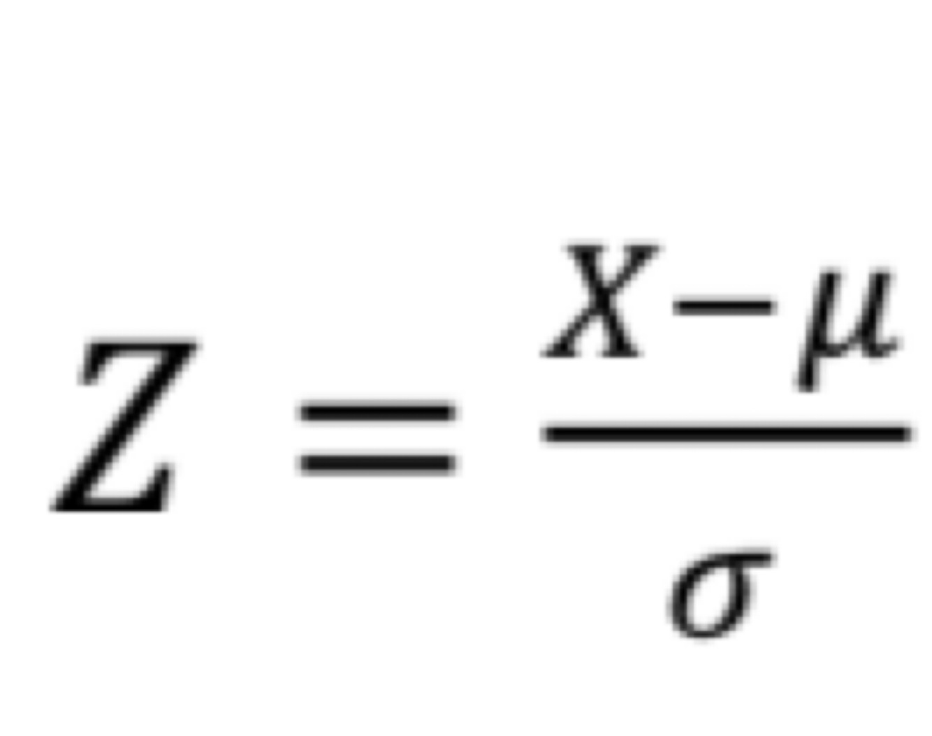
8
Q

Equation for sample from normal distribution

A
How well did you know this?
1
Not at all
2
3
4
5
Perfectly
9
Q

Equation for inverse binomial

A
How well did you know this?
1
Not at all
2
3
4
5
Perfectly
10
Q

Why can we approximate binomials with normal distribution

A

N is very large and p is close to 0.5

How well did you know this?
1
Not at all
2
3
4
5
Perfectly
11
Q

When can use binomial distribution.

A
How well did you know this?
1
Not at all
2
3
4
5
Perfectly