4) Factor Rings Flashcards

(15 cards)

1
Q

What is a Factor Ring / Quotient Ring (R/I)

A
How well did you know this?
1
Not at all
2
3
4
5
Perfectly
2
Q

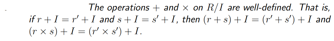
In what sense are the operations (+) and (×) on the quotient ring R/I well-defined

A
How well did you know this?
1
Not at all
2
3
4
5
Perfectly
3
Q

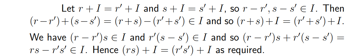
Describe the proof that operations (+) and (×) on the quotient ring R/I are well-defined

A
How well did you know this?
1
Not at all
2
3
4
5
Perfectly
4
Q

What are the structural elements and inverse properties of the quotient ring R/I

A
  • Ring Structure: The set R/I with operations
    (+) and (×) defined by coset addition and multiplication forms a ring
  • Zero Element: the zero element of this ring is the coset 0 + I = I
  • Identity Element: the identity element is 1 + I
  • Multiplicative Inverse: −(r + I) = (−r) + I and, if r has an inverse r^1 in R then (r + I) is invertible in R/I with inverse r ^−1 + I
How well did you know this?
1
Not at all
2
3
4
5
Perfectly
5
Q

Describe the proof of the structural elements and inverse properties of the quotient ring R/I

A
How well did you know this?
1
Not at all
2
3
4
5
Perfectly
6
Q

What is the characteristic of the factor ring R/I if R has characteristic n ≠ 0

A
How well did you know this?
1
Not at all
2
3
4
5
Perfectly
7
Q

What are the key properties and implications of the canonical projection map π : R → R/I and the induced map from a homomorphism θ : R → S

A
How well did you know this?
1
Not at all
2
3
4
5
Perfectly
8
Q

What is the Fundamental Isomorphism Theorem

A
How well did you know this?
1
Not at all
2
3
4
5
Perfectly
9
Q

Explain the one-to-one correspondence between the ideals of a ring R containing a proper ideal I and the ideals of the factor ring R/I

A
How well did you know this?
1
Not at all
2
3
4
5
Perfectly
10
Q

Describe the isomorphism between quotient rings when one ideal is contained within another

A
How well did you know this?
1
Not at all
2
3
4
5
Perfectly
11
Q

What is a maximal ideal

A

An ideal I of a ring R is maximal if it is proper and for any ideal J with I ≤ J ≤ R, then J = I or J = R

How well did you know this?
1
Not at all
2
3
4
5
Perfectly
12
Q

What is the relationship between a maximal ideal in a commutative ring and the properties of the corresponding quotient ring

A
How well did you know this?
1
Not at all
2
3
4
5
Perfectly
13
Q

What is a prime ideal

A

A proper ideal I of a commutative ring R is prime if whenever r, s ∈ R and rs ∈ I then either r ∈ I or s ∈ I

How well did you know this?
1
Not at all
2
3
4
5
Perfectly
14
Q

When is a proper ideal in a commutative ring a prime ideal

A

Let I be a proper ideal of a commutative ring R. Then I is a prime ideal iff R/I is an integral domain

How well did you know this?
1
Not at all
2
3
4
5
Perfectly
15
Q

What is a the relationship between prime, integral domain, maximal and field

A

R/I field <=> I maximal
R/I field => R/I Integral Domain
R/I integral domain <=> I Prime

How well did you know this?
1
Not at all
2
3
4
5
Perfectly