4 Introduction to Probability Distributions Flashcards

(21 cards)

1
Q

What is the formula for the mean of a discrete random variable?

A
How well did you know this?
1
Not at all
2
3
4
5
Perfectly
2
Q

What is the definition of a discrete random variable?

A

A discrete random variable is an event or set of events which has a limited number of possible outcomes.

How well did you know this?
1
Not at all
2
3
4
5
Perfectly
3
Q

What defines discrete data?

A

Data is defined as DISCRETE if it can only take certain values.

How well did you know this?
1
Not at all
2
3
4
5
Perfectly
4
Q

What is a random variable?

A

A random variable is one which depends on random events – that is the event is unpredictable.

How well did you know this?
1
Not at all
2
3
4
5
Perfectly
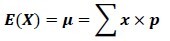
5
Q

What is the expected value in probability distributions?

A

The expected value can be considered the mean of a probability distribution.

How well did you know this?
1
Not at all
2
3
4
5
Perfectly
6
Q

What is variance in the context of probability distributions?

A
How well did you know this?
1
Not at all
2
3
4
5
Perfectly
7
Q

Define a uniform distribution.

A

A uniform distribution is a random variable which has a constant probability and is symmetrical.

How well did you know this?
1
Not at all
2
3
4
5
Perfectly
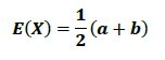
8
Q

What is the formula for the expected value of a continuous uniform distribution?

A

where a and b are the bounds of the distribution.

How well did you know this?
1
Not at all
2
3
4
5
Perfectly
9
Q

True or False: Continuous random variables can take any value within a given range.

A

True.

How well did you know this?
1
Not at all
2
3
4
5
Perfectly
10
Q

Define a continuous uniform distribution.

A

A continuous uniform distribution is a continuous random variable which has a constant probability and is symmetrical.

How well did you know this?
1
Not at all
2
3
4
5
Perfectly
11
Q

Define a discrete uniform distribution.

A

A discrete uniform distribution is a random variable in which each outcome has the same probability.

How well did you know this?
1
Not at all
2
3
4
5
Perfectly
12
Q

What is the significance of the notation P(X=x)?

A

It represents the probability that the random variable X takes the value x.

How well did you know this?
1
Not at all
2
3
4
5
Perfectly
13
Q

What is the relationship between probability and expectation?

A

Expectation is calculated using probabilities of the outcomes of a random variable.

How well did you know this?
1
Not at all
2
3
4
5
Perfectly
14
Q

What does the term ‘mean’ refer to in probability distributions?

A

The average value of the outcomes, also known as the expected value.

How well did you know this?
1
Not at all
2
3
4
5
Perfectly
15
Q

What is the formula for the variance of a continuous uniform distribution?

A

where a and b are the bounds of the distribution

How well did you know this?
1
Not at all
2
3
4
5
Perfectly
16
Q

Fill in the blank: The probability of an event occurring is expressed as a _______.

A

[number between 0 and 1]

17
Q

What is the expected outcome for a discrete random variable?

A

It can be calculated using the probabilities and the values of the random variable.

18
Q

What does it mean for a distribution to be symmetrical?

19
Q

Fill in the blank: The mean is also referred to as the _______.

A

[expected value]

20
Q

What is the significance of the ‘at least’ and ‘at most’ terms in probability?

A

They help define the range of outcomes that are considered in probability calculations.

21
Q

For any continuous random variable, what is P(X=x)?