4) Risk Aversion Flashcards

(24 cards)

1
Q

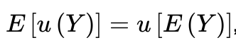
Quando una lotteria è fair? Concetto e formula matematica

A

Una lotteria è fair quando il payoff atteso è uguale al suo costo iniziale.

Considerando una lotteria Z (un asset finanziario) con payoff z1, z2, …, zn e un costo iniziale di p. Un payoff di una lotteria fair è pari a (vedi foto)

How well did you know this?
1
Not at all
2
3
4
5
Perfectly
2
Q

Cosa significa che una preferenza individuale mostra risk adversion?

A

Mostra risk adversion se rifiuta di partecipare in un gioco fair.

How well did you know this?
1
Not at all
2
3
4
5
Perfectly
3
Q

Risk aversion formula e ionterpretazione della formula

A

L’interpretazione è che l’utilità attesa della lotteria fair (cioè quindi l’utilità attesa della ricchezza finale dopo aver giocato la lotteria, Y1k) è inferiore all’utilità della ricchezza iniziale. Quindi la persona non gradisce partipare ad una lotteria fair e quindi è risk averse.

How well did you know this?
1
Not at all
2
3
4
5
Perfectly
4
Q

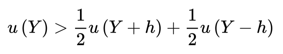
Formula risk aversion per lotteria binaria

A

La lotteria binaria fair ha due outcomes: h con probabilità 1/2 e -h con probabilità 1/2. Il payoff atteso di questa lotteria è 0. Per un individuo avverso al rischio, la formula che mostra l’avversione al rischio è: (vedi foto)

How well did you know this?
1
Not at all
2
3
4
5
Perfectly
5
Q

Cosa implica la risk aversion per la funzione di utilità?

A

Implica che la funzione di utilità sia concava.

How well did you know this?
1
Not at all
2
3
4
5
Perfectly
6
Q

L’equivalenza tra risk aversion e funzione di utilità concava vale solo nel caso di lotteria binaria?

A

No, è possibile dimostrare che questa relazione vale sempre.

How well did you know this?
1
Not at all
2
3
4
5
Perfectly
7
Q

Cosa dice l’ineguaglianza di Jensen?

A

Le preferenze individuali sono rappresentate da una funzione di utilità concava se e solo se l’individuo è risk averse

How well did you know this?
1
Not at all
2
3
4
5
Perfectly
8
Q

Che proprietà ha la funzione di utilità logaritmica?

A

è concava e soddisfa i requirements della Jensen inequality

How well did you know this?
1
Not at all
2
3
4
5
Perfectly
9
Q

Matematicamente, da cosa è espressa la concavità?

A

Dal fatto che la derivata seconda sia strettamente minore di 0

How well did you know this?
1
Not at all
2
3
4
5
Perfectly
10
Q

Implicazioni matematiche e formulistiche di risk neutrality e interpretazione

A

Matematicamente: derivata seconda della funzione di utilità = 0
Formulisticamente: (vedi foto)
Interpretazione: la risk neutrality dice che per l’individuo l’utilità di giocare e non giocare è la stessa

How well did you know this?
1
Not at all
2
3
4
5
Perfectly
11
Q

Implicazioni matematiche e formulistiche di risk propension e interpretazione

A

Matematicamente: derivata seconda della funzione di utilità > 0
Formulisticamente: (vedi foto)
Interpretazione: la risk propension dice che per l’individuo l’utilità di giocare è maggiore a quella di non giocare. Partecipa sempre ai fair game e parteciperebbe anche a gioco con expected prize maggiore del costo.

How well did you know this?
1
Not at all
2
3
4
5
Perfectly
12
Q

Interpretazione di questa formula

A

L’utilità della ricchezza iniziale u(Y) è maggiore del valore atteso dell’utilità dei due payoff, siccome il valore atteso dell’utilità dei payoff è la probabilità di ricevere l’utilità del primo payoff + la probabilità di ricevere l’utilià del secondo payoff

How well did you know this?
1
Not at all
2
3
4
5
Perfectly
13
Q

Guardare la grandezza della risk aversion tra due individui tramite la derivata seconda è un buon metodo?

A

No, perché una funzione può essere la trasformazione dell’altra, quindi i valori saranno diversi ma le preferenze descritte sono le stesse.

How well did you know this?
1
Not at all
2
3
4
5
Perfectly
14
Q

Cosa assumiamo sulla derivata prima della funzione di utilità?

A

Assumiamo la non sazietà e quindi che la derivata prima sia maggiore di 0

How well did you know this?
1
Not at all
2
3
4
5
Perfectly
15
Q

Come misuriamo il livello di avversione al rischio?

A

Tramite l’Absolute Risk Aversion al livello di ricchezza W e per la funzione di utilità u.

Il meno è per avere un segno positivo.

How well did you know this?
1
Not at all
2
3
4
5
Perfectly
16
Q

Come interpretiamo l’ARA?

A

Un valore più alto indica che la funzione è più concava e quindi che c’è più avversione al rischio. Di conseguenza un valore più alto implica che per accettare il rischio ci vuole una ricompensa più alta

17
Q

Cosa è la relative risk aversion coefficient?

A

ARA * W.
Misura la percentuale di incremento della ricchezza che un agente richiede per accettare una scommessa rischiosa per un certo livello di ricchezza iniziale W.

18
Q

Cos’è il Certo Equivalente?

A

è una quantità da sommare alla ricchezza iniziale per cui l’utilià di non giocare è uguale all’utilità di giocare. è più piccolo del valore atteso della lotteria E(Z).

19
Q

Cos’è il Risk Premium?

A

Differenza tra valore atteso della lotteria e certo equivalente. Sarebbe la quantità di soldi che sono disposto a pagare per ricevere l’expected value della lotteria (che corrisponde al costo in una lotteria fair, che corrisponde quindi al non giocare) invece della lotteria stessa (cioè invece di giocare).

Se mi dai poco premio al rischio, allora gioco.

20
Q

Come si comportano il CE e il risk premium in caso di risk aversion?

A

Risk premium > 0
CE < E(Z)

21
Q

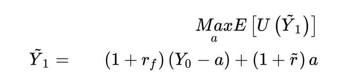
Come svolgiamo la massimizzazione per due titoli (un rischioso e un risk free) e due stati del mondo u e d?

A

La logica è massimizzare l’expected value dell’utilità della ricchezza finale Y1 (che è una variabile aleatoria dipendente da stato e combinazione dei titoli).

Lo faccio tramite la First Order Condition

22
Q

Come svolgiamo l’ottimizzazione per N titoli con qualsiasi numero finit di stati.

A

Considieriamo l stati e n+1 titoli (compreso il risk free)

23
Q

Prima implicazione interessante delle First Order Conditions

A

Tornando al caso con un solo titolo rischioso e il risk free

E(r tilde -rf) > 0 se e solo se ai > 0.
Dimostrazione in foto

24
Q

Altre implicazioni interessanti delle First Order Conditions