4.1 Capacitance Flashcards

(22 cards)

1
Q

What is the structure of a simple parallel-plate capacitor?

A

Two equal metal plates placed parallel to one another, with either air or a vacuum between them.

How well did you know this?
1
Not at all
2
3
4
5
Perfectly
2
Q

How does a capacitor store energy?

A

Work is done in transferring charge from one plate to the other, which becomes potential energy stored in the capacitor.

How well did you know this?
1
Not at all
2
3
4
5
Perfectly
3
Q

What is capacitance?

A

The capacitance, C, is the charge stored, Q, per unit potential difference, V, across the two plates. Therefore we have C = Q / V. It is measured in Farads, F (1F = 1CV-1).

How well did you know this?
1
Not at all
2
3
4
5
Perfectly
4
Q

How can capacitance be increased?

A

● By adding an insulator between the plates, called a dielectric.
● The dielectric reduces the strength of the electric field, decreasing the voltage.
● Since voltage and capacitance are inversely proportional, capacitance increases.

How well did you know this?
1
Not at all
2
3
4
5
Perfectly
5
Q

What is the shape of the electric field between the plates?

A

The field is uniform, so the field lines are parallel and evenly spaced, pointing from positive to negative.

How well did you know this?
1
Not at all
2
3
4
5
Perfectly
6
Q

What is the formula for the electric field strength between the plates?

A

Field strength (V m-1) = potential difference (V) / distance between the plates (m)
E =V / d

How well did you know this?
1
Not at all
2
3
4
5
Perfectly
7
Q

What is the formula for the capacitance of a parallel-plate capacitor with no dielectric?

A

C = Aε0 / d
C = capacitance (F), A = area of plates (m2), ε = permittivity of free space (8.85 x 10^-12),
d = distance between the plates (m)

How well did you know this?
1
Not at all
2
3
4
5
Perfectly
8
Q

What is the equation for the total capacitance in series?

A
How well did you know this?
1
Not at all
2
3
4
5
Perfectly
9
Q

What is the equation for the total capacitance in parallel?

A
How well did you know this?
1
Not at all
2
3
4
5
Perfectly
10
Q

What is the formula for the energy stored in a capacitor?

A

Energy stored = 0.5QV

How well did you know this?
1
Not at all
2
3
4
5
Perfectly
11
Q

What does the area under the graph of charge against pd represent?

A

The energy stored by the capacitor.

How well did you know this?
1
Not at all
2
3
4
5
Perfectly
12
Q

Describe the Q against t graph for the discharging of a capacitor through a resistor.

A
How well did you know this?
1
Not at all
2
3
4
5
Perfectly
13
Q

Describe the V against t graph for the discharging of a capacitor through a resistor.

A
How well did you know this?
1
Not at all
2
3
4
5
Perfectly
14
Q

Describe the I against t graph for the discharging of a capacitor through a resistor.

A
How well did you know this?
1
Not at all
2
3
4
5
Perfectly
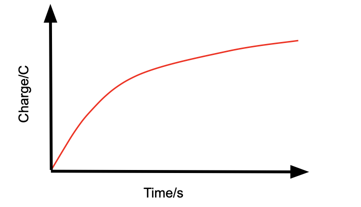
15
Q

Describe the Q against t graph for the charging of a capacitor through a fixed resistor.

A
How well did you know this?
1
Not at all
2
3
4
5
Perfectly
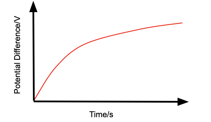
16
Q

Describe the V against t graph for the charging of a capacitor through a fixed resistor.

17
Q

What is the time constant?

18
Q

How was 37% derived when using the time constant?

A

● Start with the formula Q = Q0e-t/RC.
● When t = RC (after 1 time constant), the formula becomes Q = Q0e-1.
● e-1 ≈ 0.37, which is where 37% came from.

19
Q

What equations do we require for charging a capacitor?

A

Charging up a capacitor produces Q = Q0(1 - e-t/RC) &
V = V0(1 - e-t/RC) where V0 is the battery PD and Q0=CV0.

20
Q

How does a capacitor charge up?

A
  1. Electrons move from negative to positive around the circuit.
  2. The electrons are deposited on plate A, making it negatively charged.
  3. Electrons travel from plate B to the positive terminal of the battery, giving the plate a positive charge.
  4. Electrons build up on plate A and an equal amount of electrons are removed from plate B, creating a potential difference across the plates.
  5. When the p.d across plates = source p.d., the capacitor is fully charged and current stops flowing.
21
Q

Describe and explain in terms of the movement of electrons how the p.d across a capacitor changes, when it discharges across a resistor.

A
  1. Electrons move in opposite direction than when the capacitor was charging up.
  2. Charge on plate A decreases as it loses electrons, and plate B gains electrons, so A and B become neutral.
  3. P.d. decreases exponentially across the plates.
22
Q

What 2 factors affect the time taken for a capacitor to charge or discharge?

A
  1. The capacitance of the capacitor, C. This affects the amount of charge that can be stored by the capacitors at any given potential difference across it.
  2. The resistance of the circuit, R. This affects the current in the circuit and how quickly it flows, hence how quickly the capacitor charges/discharges.