LOS 50. a: Evaluate whether a security, given its current market price and a value estimate, is overvalued, fairly valued, or undervalued by the market.
An asset is fairly valued if the market price is equal to its estimated intrinsic value, undervalued if the market price is less than its estimated value, and overvalued if the market price is greater than the estimated value.
For security valuation to be profitable, the security must be mispriced now and price must converge to intrinsic value over the investment horizon.
Securities that are followed by many investors are more likely to be fairly valued than securities that are neglected by analysts.
LOS 50. b: Describe major categories of equity valuation models. List the three.
Discounted cash flow models
Multiplier models
Asset-based models
LOS 50. b: Describe major categories of equity valuation models. Discounted cash flow models.
Discounted cash flow models estimate the present value of cash distributed to shareholders (dividend discount models) or the present value of cash available to shareholders after meeting capital expenditures and working capital expenses (free cash flow to equity models).
LOS 50. b: Describe major categories of equity valuation models. Multiplier models
Multiplier models compare the stock price to earnings, sales, book value, or cash flow. Alternatively, enterprise value is compared to sales or EBITDA.
LOS 50. b: Describe major categories of equity valuation models. Asset-based models
Asset-based models define a stock’s value as the firm’s total asset value minus liabilities and preferred stock, on a per-share basis.
LOS 50. c: Explain the rationale for using present value models to value equity and describe the dividend discount and free-cash-flow-to-equity models.
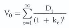
The dividend discount model is based on the rationale that a corporation has an indefinite life, and a stock’s value is the present value of its future cash dividends. The most general form of the model is:
Equation
Free cash flow to equity (FCFE) can be used instead of dividends. FCFE is the cash remaining after a firm meets all of its debt obligations and provides for necessary capital expenditures.
FCFE reflects the firm’s capacity for dividends and is useful for firms that currently do not pay a dividend. By using FCFE, an analyst does not need to project the amount and timing of future dividends.

LOS 50. d: Calculate the intrinsic value of non-callable, non-convertible preferred stock.
Preferred stock typically pays a fixed dividend and does not mature. It is valued as:
Preferred stock value = Dp/kp
LOS 50. e: Calculate and interpret the intrinsic value of an equity security based on the Gordon (constant) growth dividend discount model or a two-stage dividend discount model, as appropriate.
The Gordon growth model assumes the growth rate in dividends is constant:
V0 = D1 / (ke - gc)
The sustainable growth rate is the rate at which earnings and dividends can continue to grow indefinitely:
g = b x ROE
where:
b = earnings retention rate = 1 – dividend payout rate
ROE = return on equity.
LOS 50. e: Calculate and interpret the intrinsic value of an equity security based on the Gordon (constant) growth dividend discount model or a two-stage dividend discount model, as appropriate. What is key to look out for in question wording? 1. how do you know if gordon growth model 2. how do you differentiate using d1 and d0
When doing stock valuation problems on the exam, watch for worlds like “forever,” “infinitely,” “Indefinitely,” “for the foreseeable future,” and so on. This will tell you that the Gordon growth model should be used. Also watch for words like “just paid” or “recently paid.” These will refer to the last dividend, D0. Words like “will pay” or “is expected to pay” refer to D1.
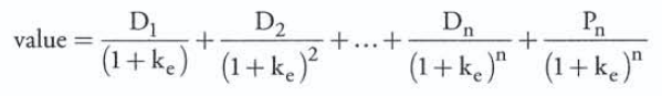
LOS 50. e: Calculate and interpret the intrinsic value of an equity security based on the Gordon (constant) growth dividend discount model or a two-stage dividend discount model, as appropriate.
A firm with high growth over some number of periods followed by a constant growth rate of dividends forever can be valued using a multistage model:
Where:
Pn = Dn+1 / (ke – gc) **ENSURE YOU USE Dn+1**
gc = constant growth rate of dividends
n = number of periods of supernormal growth

LOS 50. f: Identify characteristics of companies for which the constant growth or a multistage dividend discount model is appropriate.
The constant growth model is most appropriate for firms that pay dividends that grow at a constant rate, such as stale and mature firms or noncyclical firms such as utilities and food producers in mature markets.
A 2-stage DDM would be most appropriate for a firm with high current growth that will drop to a stable rate in the future, an older firm that is experiencing a temporary high growth phase, or an older firm with a market share that is decreasing but expected to stabilize.
A 3-stage model would be appropriate for a young firm still in a high growth phase.
LOS 50. g: Explain the rationale for using price multiples to value equity, how the price to earnings multiple relates to fundamentals, and the use of multiples based on comparables.
The P/E ratio based on fundamentals is calculated as:
Equation
If the subject firm has a higher dividend payout ratio, higher growth rate, and lower required return than its peers, it may be justified in having a higher P/E ratio.
Price multiples are widely used by analysts, are easily calculated and readily available, and can be used in time series and cross-sectional comparisons.
LOS 50. h: Calculate and interpret the following multiples: price to earnings, price to an estimate of operating cash flow, price to sales, and price to book value.
The price-earnings (P/E) ratio is a firm’s stock price divided by earnings per share.
LOS 50. h: Calculate and interpret the following multiples: price to earnings, price to an estimate of operating cash flow, price to sales, and price to book value.
The price-sales (P/S) ratio is a firm’s stock price divided by sales per share.
LOS 50. h: Calculate and interpret the following multiples: price to earnings, price to an estimate of operating cash flow, price to sales, and price to book value.
The price-book value (P/B) ratio is a firm’s stock price divided by book value per share.
LOS 50. h: Calculate and interpret the following multiples: price to earnings, price to an estimate of operating cash flow, price to sales, and price to book value.
The price-cash flow (P/CF) ratio is a firm’s stock price divided by cash flow per share. Cash flow may be defined as operating cash flow or free cash flow.
LOS 50. i: Describe enterprise value multiples and their use in estimating equity value.
Enterprise value (EV) measures total company value:
EV = market value of common and preferred stock + market value of debt – cash and short-term investments
EBITDA is frequently used as a denominator in EV multiples because EV represents total company value, and EBITDA represents earnings available to all investors.
LOS 50. j: Describe asset-based valuation models and their use in estimating equity value.
Asset-based models value equity as the market or fair value f assets minus liabilities. These models are most appropriate when a firm’s assets are largely tangible and have fair value that can be established easily.
LOS 50. k: Explain advantages and disadvantages of each category of valuation model. Advantages of discounted cash flow models:
Advantages of discounted cash flow models:
LOS 50. k: Explain advantages and disadvantages of each category of valuation model. Disadvantages of discounted cash flow models:
Disadvantages of discounted cash flow models:
LOS 50. k: Explain advantages and disadvantages of each category of valuation model. Advantages of price multiples:
Advantages of price multiples:
LOS 50. k: Explain advantages and disadvantages of each category of valuation model. Disadvantages of price multiples:
Disadvantages of price multiples:
LOS 50. k: Explain advantages and disadvantages of each category of valuation model. Advantages of asset-based models:
Advantages of asset-based models:
LOS 50. k: Explain advantages and disadvantages of each category of valuation model. Disadvantages of asset-based models:
Disadvantages of asset-based models: