4.6 - Amines Flashcards

(43 cards)

1
Q

What is an amine?

A

Amines are derivatives of ammonia where one or more of the hydrogen atoms has been replaced with an organic group.

How well did you know this?
1
Not at all
2
3
4
5
Perfectly
2
Q

Describe the difference between primary, secondary and tertiary amines

A

Consider a molecule of ammonia, NH3:
1. If one of the hydrogens is replaced with an organic group it is a primary amine.
2. If two of the hydrogens are replaced with an organic group it is a secondary amine.
3. If all three hydrogens are replaced with an organic group it is a tertiary amine.

How well did you know this?
1
Not at all
2
3
4
5
Perfectly
3
Q

Give the structure of a quaternary ammonium ion

A
How well did you know this?
1
Not at all
2
3
4
5
Perfectly
4
Q

Give two common methods of producing aliphatic amines

A
  1. Nucleophilic substitution of halogenoalkanes with ammonia.
  2. Reduction of nitriles.
How well did you know this?
1
Not at all
2
3
4
5
Perfectly
5
Q

What conditions are required for primary amines to be formed from halogenoalkanes?

A

The halogenoalkane must be warmed with excess ethanolic ammonia inside a sealed tube.

How well did you know this?
1
Not at all
2
3
4
5
Perfectly
6
Q

Draw the mechanism for the reaction between bromoethane and ammonia

A
How well did you know this?
1
Not at all
2
3
4
5
Perfectly
7
Q

When a halogenoalkane reacts with ammonia why do you get a mixture of products?

A

The reaction will produce a mixture of primary, secondary and tertiary amines and quaternary ammonium salts. This is because when a primary amine is produced it acts as a nucleophile in further reactions. When it reacts in further nucleophilic substitution reactions, secondary amines are produced. These substitution reactions continue taking place until the quaternary ammonium salt is produced.

How well did you know this?
1
Not at all
2
3
4
5
Perfectly
8
Q

Why can primary, secondary and tertiary amines act as nucleophiles when quaternary ammonium ions can not?

A

In primary, secondary and tertiary amines the nitrogen has a lone pair of electrons which allows it to act as a nucleophile. The nitrogen atom in quaternary ammonium ions does not have a lone pair of electrons so cannot act as a nucleophile.

How well did you know this?
1
Not at all
2
3
4
5
Perfectly
9
Q

Give the chemical equation for the reaction of bromoethane with excess ammonia to form ethylamine

A
How well did you know this?
1
Not at all
2
3
4
5
Perfectly
10
Q

Give the chemical equation for the reaction of methylamine with bromoethane to form methylethylamine

A
How well did you know this?
1
Not at all
2
3
4
5
Perfectly
11
Q

How can the amine be released from an amine salt?

A

Treat the amine salt with an alkali, e.g. NaOH.

How well did you know this?
1
Not at all
2
3
4
5
Perfectly
12
Q

What is the chemical equation for the reaction of methylammonium chloride with sodium hydroxide?

A
How well did you know this?
1
Not at all
2
3
4
5
Perfectly
13
Q

How can a nitrile be reduced to an amine?

A

The reducing agent LiAlH4 is used.
LiAlH4 in a non aqueous solvent (e.g. dry ether) should first be added to the nitrile, followed by some dilute acid.

How well did you know this?
1
Not at all
2
3
4
5
Perfectly
14
Q

What is the chemical equation for the reduction of ethanenitrile to ethylamine?

A
How well did you know this?
1
Not at all
2
3
4
5
Perfectly
15
Q

What compounds can aromatic amines be reduced from?

A

Aromatic amines are produced from the reduction of nitro compounds - like nitrobenzene.

How well did you know this?
1
Not at all
2
3
4
5
Perfectly
16
Q

What is the reducing agent used for the reduction of nitro compounds to aromatic amines?

A

Metallic tin and concentrated hydrochloric acid

How well did you know this?
1
Not at all
2
3
4
5
Perfectly
17
Q

What is the chemical equation for the reduction of nitrobenzene to phenylamine?

A
How well did you know this?
1
Not at all
2
3
4
5
Perfectly
18
Q

Why do amines act as bases?

A

The nitrogen atom in amines has a lone pair of electrons. This means amines can form a dative covalent bond with a hydrogen ion. Therefore amines act as bases because they accept protons.

19
Q

How does the the strength of a base depend on the availability of the lone pair of electrons?

A

The more available a lone pair of electrons is, the more likely they are to accept a proton and so the stronger a base it will be. The higher the electron density of a lone pair, the more available the lone pair is.

20
Q

Arrange the following amines in order of decreasing strength of base: Ammonia, primary aromatic amine, primary aliphatic amine

A

In order of decreasing strength of base:
1. Primaryaliphaticamine
2. Ammonia
3. Primaryaromaticamine

21
Q

Why are primary aromatic amines weaker bases than ammonia?

A

Primary aromatic amines have a benzene ring. This has a delocalised ring of electrons which draws electrons towards itself. This means the lone pair on nitrogen gets partially delocalised into the ring which decreases the electron density of nitrogen. The lone pair is therefore much less available.

22
Q

Why are primary aliphatic amines stronger bases than ammonia?

A

Primary aliphatic amines have an alkyl group which ‘pushes’ electrons towards the nitrogen atom. This increases the electron density of nitrogen, making the lone pair more available.

23
Q

Name the mechanism for the reaction between amines and ethanoyl chloride

A

Nucleophilic addition-elimination

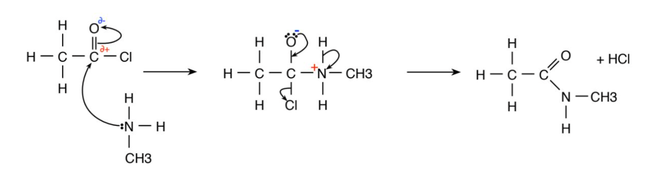
24
Q

Draw the mechanism for the reaction between ethanoyl chloride and methylamine

25
What is the IUPAC name of the organic product formed when ethanoyl chloride reacts with methylamine?
N-methylethanamide
26
What can be used to test for primary amines?
Cold nitric(III) acid (nitrous acid)
27
What do primary aliphatic and aromatic amines produce when they react with nitric(III) acid at room temperature?
Aliphatic amines produce alcohols. Aromatic amines produce phenols.
28
What are the observations when a primary aliphatic amine reacts with cold nitric(III) acid?
There is a burst of nitrogen - which is a colourless and odourless gas.
29
What is produced when primary aromatic compounds react with nitric(III) acid at temperatures below 10oC?
Benzenediazonium compounds
30
What are diazonium ions?
Diazonium ions are ions which contain an N2+ group.
31
Give the displayed structure of the benzenediazonium ion
32
What are coupling reactions?
Coupling reactions are organic reactions which involve the joining together of two chemical species. An alkaline solution is required for coupling to occur.
33
Describe the coupling reaction of benzenediazonium chloride with phenol
- First, a solution of sodium phenoxide is produced by dissolving phenol in sodium hydroxide. - Next, the solution is cooled and added to benzenediazonium chloride. A yellow-orange solution/precipitate is formed. The product is known as an azo compound.
34
What are azo compounds?
Compounds in which two benzene rings are joined by a nitrogen bridge.
35
Give the displayed chemical equation for the reaction of a phenoxide ion with a benzenediazonium ion
36
Describe the coupling reaction of benzenediazonium chloride with naphthalen-2-ol
First, naphthalen-2-ol is dissolved in sodium hydroxide. The solution is then cooled and added to benzenediazonium chloride. A bright red precipitate forms - this is an azo compound.
37
Give the displayed formula of the azo compound formed when naphthalen-2-ol reacts with benzenediazonium chloride
38
Describe the coupling reaction of benzenediazonium chloride with phenylamine
Phenylamine is added to a cold solution of benzenediazonium chloride. A yellow solid azo compound is produced.
39
What is a chromophore?
A chromophore is a group or atom responsible for the colour of a compound.
40
Why can azo compounds be used as dyes?
The nitrogen group in azo dyes has indicator properties. Depending on the conditions, it interacts differently with light due to different wavelengths of light being absorbed or reflected. This means azo compounds form brightly coloured compounds and so are good for use as dyes.
41
How do coloured compounds arise?
Coloured compounds arise due to the absorbance and reflection of light by the compound. When white light shines on a substance, some of the wavelengths are absorbed but the remaining wavelengths are reflected and transmitted. These reflected wavelengths correspond to a specific colour which is then observed.
42
How can methyl orange be used to distinguish between acids and bases?
- Methyl orange is an azo compound which is red in acids and yellow in bases: - In acidic conditions, the nitrogen group gains a hydrogen causing it to interact differently with light, making it appear red. In basic conditions, a hydrogen ion is lost so the nitrogen group reflects yellow wavelengths, making it appear yellow.
43