dynamic equilibrium
forward and reverse reactions occur at the same rate… no net change in concentrations of products or reactants
entropy
measure of the distribution of energy throughout a system or between a system and its environment
at equilibrium…
reaction will reach equilibrium when the system’s entropy is at a maximum or ΔG is at a minimum
law of mass action
if a system is at equilibrium at a constant temperature, then following ratio is constant
Kf/Kr = Kc = Keq

equilibrium expression
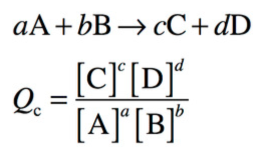
for aA + bB ⇔ cC + dD,
Kc= [C]c[D]d / [A]a[B]b
*exponents equal stoichiometric coefficients UNLIKE in rate laws
reaction quotient, Q
“timer” to indicate how far the reaction has proceeded toward equilibrium… utility of Q is comparison that can be made between Q at any moment and known Keq for reaction at a particular temperature

Q and Keq
things to remember about equlibrium/law of mass action
equilibrium equations
le chatelier’s principle
if a stress if applied to a system, the system shifts to relieve that applied stress
change in concentration
changing concentration of either product or reactant results in Qc ≠ Keq
changes in pressure (and volume)
only chemical reactions w/ at least one gaseous species will be affected by pressure and volume
changes in temperature
changing temperature changes Keq, not Qc (like pressure and concentration)
kinetic product
forms at lower tempertaures (with smaller heat transfer)
thermodynamic product
forms at higher temperatures (with larger heat transfer)