6.5 - Polymers Flashcards

(20 cards)

1
Q

What are the two types of condensation polymers ?

A
  • Polyesters
  • Polyamides
How well did you know this?
1
Not at all
2
3
4
5
Perfectly
2
Q

Define ‘Addition polymer’ ?

A

Addition polymer : A large number of unsaturated monomers chemically bonded/ joined together to form a long chain polymer and no other products

How well did you know this?
1
Not at all
2
3
4
5
Perfectly
3
Q

Define ‘condensation polymer’ ?

A

Condensation polymer : A large number of monomers chemically joined / bonded together to form a long-chain polymer and water / another small molecule

How well did you know this?
1
Not at all
2
3
4
5
Perfectly
4
Q

What are the monomers involved in the formation of polyesters ?

A
  • Dicarboxylic acid/ Diocyl chloride + diol
  • Hydroxy caboxylic acid / hydroxy acyl chloride
How well did you know this?
1
Not at all
2
3
4
5
Perfectly
5
Q

Write an equation for the formation of a polyester polymer ( using two monomers ) ?

A
How well did you know this?
1
Not at all
2
3
4
5
Perfectly
6
Q

Write an equation for the formation of a polyester polymer ( using one monomer ) ?

A
How well did you know this?
1
Not at all
2
3
4
5
Perfectly
7
Q

What are the monomers involved in the formation of polyamides ?

A
  • Dicarboxylic acid or Diocyl chloride + Diamine
  • Amino carboxylic acid / amino acyl chloride
How well did you know this?
1
Not at all
2
3
4
5
Perfectly
8
Q

Write an equation for the formation of a polyamide polymer ( using two monomers ) ?

A
How well did you know this?
1
Not at all
2
3
4
5
Perfectly
9
Q

Write an equation for the formation of a polyamide polymer ( using one monomers ) ?

A
How well did you know this?
1
Not at all
2
3
4
5
Perfectly
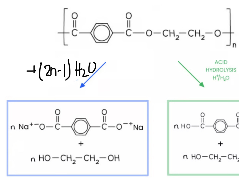
10
Q

What are the reactants and conditions s for the acid hydrolysis of polyesters/ polyamides ?

A
  • Reactants : HCl and Hv2O / HCl (aq)
  • Conditions : -
How well did you know this?
1
Not at all
2
3
4
5
Perfectly
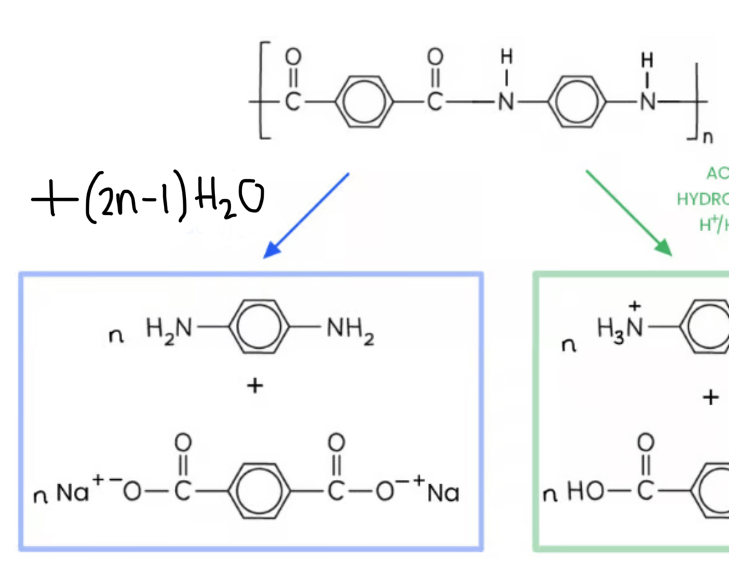
11
Q

What are the reactants and conditions for the alkali hydrolysis of polyesters and polyamides ?

A
  • Reactants : NaOH and Hv2O
  • Conditions :
How well did you know this?
1
Not at all
2
3
4
5
Perfectly
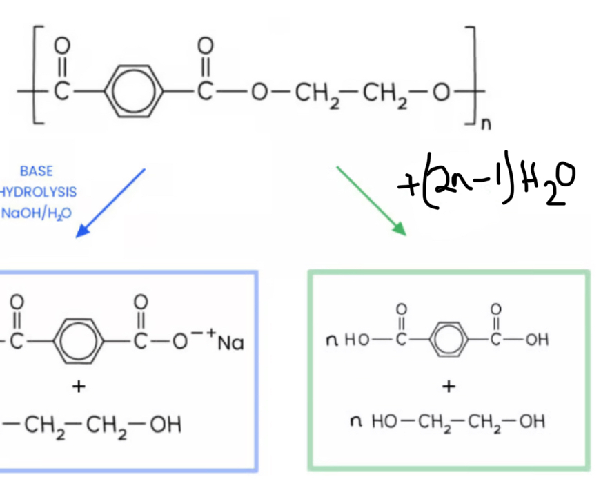
12
Q

What are the products of the acid and alkali hydrolysis of a polyester ?

A
  • Acid hydrolysis : Alcohol and Carboxylic acid
  • Alkali hydrolysis : Alcohol and carboxylate salt/ion
How well did you know this?
1
Not at all
2
3
4
5
Perfectly
13
Q

What are the products of the acid and alkali hydrolysis of a polyamide ?

A
  • Acid hydrolysis : Ammonium ion and Carboxylic acid
  • Alkali hydrolysis : Amine and carboxylate salt / ion
How well did you know this?
1
Not at all
2
3
4
5
Perfectly
14
Q

Write an equation for the acid hydrolysis of a polyester ?

A
How well did you know this?
1
Not at all
2
3
4
5
Perfectly
15
Q

Write an equation for the alkali hydrolysis of a polyester ?

A
  • Note : If you do not know alkali used then COO- is always applicable
How well did you know this?
1
Not at all
2
3
4
5
Perfectly
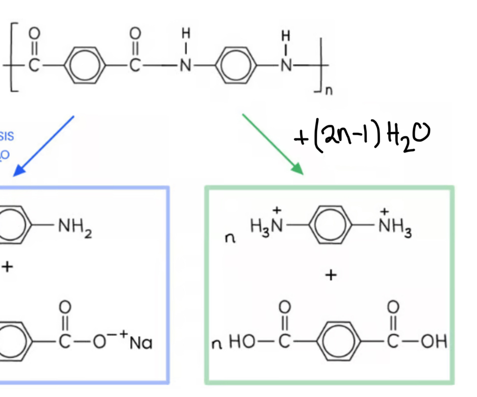
16
Q

Write an equation for the acid hydrolysis of a polyamide ?

A
  • Note : If you do not know the acid used NHv3+ always applicable
17
Q

Write an equation for the alkali hydrolysis of a polyamide ?

18
Q

Why are polyester considered biodegradable ?

A
  • It is a polyester
  • It biodegradable as the ester bond can be hydrolysed using water
19
Q

What are the uses of a polyester ?

A
  • Perfumes/ Fragrance
  • Flavouring
20
Q

What are the uses of polyamides ?

A
  • Fibres in clothing
  • Ropes