7.5 Amines Flashcards

(48 cards)

1
Q

What are Amines ?

A
How well did you know this?
1
Not at all
2
3
4
5
Perfectly
2
Q

Properties of Amines ?

A
How well did you know this?
1
Not at all
2
3
4
5
Perfectly
3
Q

Preparation of Aliphatic Amines (1)

A
How well did you know this?
1
Not at all
2
3
4
5
Perfectly
4
Q

Preparation of Aliphatic Amines (2)

A
How well did you know this?
1
Not at all
2
3
4
5
Perfectly
5
Q

Preparation of Primary Aromatic Amines

A
How well did you know this?
1
Not at all
2
3
4
5
Perfectly
6
Q

NUCLEOPHILIC PROPERTIES/REACTIONS OF AMINES

A
How well did you know this?
1
Not at all
2
3
4
5
Perfectly
7
Q

NUCLEOPHILIC SUBSTITUTION REACTIONS

A
How well did you know this?
1
Not at all
2
3
4
5
Perfectly
8
Q

USES OF QUATERNARY AMMONIUM SALTS

A
How well did you know this?
1
Not at all
2
3
4
5
Perfectly
9
Q

NUCLEOPHILIC ADDITION-ELIMINATION REACTIONS

A
How well did you know this?
1
Not at all
2
3
4
5
Perfectly
10
Q

AMINES AND AMIDES NOMENCLATURE

A
How well did you know this?
1
Not at all
2
3
4
5
Perfectly
11
Q

BASE PROPERTIES OF AMINES

A
How well did you know this?
1
Not at all
2
3
4
5
Perfectly
12
Q

DIFFERENCES IN BASE STRENGTHS

A
How well did you know this?
1
Not at all
2
3
4
5
Perfectly
13
Q

REACTIONS AS BASES

A
How well did you know this?
1
Not at all
2
3
4
5
Perfectly
14
Q

Give an equation for the preparation of 1,6-diaminohexane by the reaction of
1,6-dibromohexane with an excess of ammonia (2)

A

Br-(CH2)6–Br + 4 NH3 → H2N-(CH2)6–NH2 + 2 NH4Br

How well did you know this?
1
Not at all
2
3
4
5
Perfectly
15
Q

1,6-Diaminohexane can also be formed in a two-stage synthesis starting from
1,4-dibromobutane.
Suggest the reagent and a condition for each stage in this alternative synthesis (3)

A
  •   M1 Stage 1 reagent KCN or NaCN
  •   Stage 1 condition aqueous alcohol
  •   Stage 2 reagent & condition H2 and Ni or Pt or Pd
How well did you know this?
1
Not at all
2
3
4
5
Perfectly
16
Q

Explain why 3-aminopentane is a stronger base than ammonia (3)

A
  • In 3-aminopentane
  • Lone pair on N more available or Lone pair on N accepts H+ better
  • because of alkyl electron pushing /inductive effect
How well did you know this?
1
Not at all
2
3
4
5
Perfectly
17
Q

Justify the statement that there are no chiral centres in 3-aminopentane (1)

A

No carbon (atom is) attached to 4 different groups

How well did you know this?
1
Not at all
2
3
4
5
Perfectly
18
Q

(6)

A
  • (Strength depends on availability of) lone pair on N (atom)
  • E N (next to ring): (lp) delocalised into ring
  • (lp) less available (to donate to or to accept a H+)
  • F or G: N (next to alkyl): (positive) inductive effect/electrons pushed to N
  • p) more available (to donate to or to accept a H+)
  • order of increasing base strength E<G<F
How well did you know this?
1
Not at all
2
3
4
5
Perfectly
19
Q

Amine F can be prepared in a three-step synthesis starting from methylbenzene.
Suggest the structures of the two intermediate compounds.
For each step, give reagents and conditions only. Equations and mechanisms are not
required (3)

A
How well did you know this?
1
Not at all
2
3
4
5
Perfectly
20
Q

Butylamine can also be prepared in a two-step synthesis starting from 1-bromopropane,
CH3CH2CH2Br. Write an equation for each of the two steps in this synthesis (3)

A
  • CH3CH2CH2Br + KCN → CH3CH2CH2CN + KBr balanced
  • CH3CH2CH2CN + 2H2 → CH3CH2CH2CH2NH2
21
Q

Explain why butylamine is a stronger base than ammonia (2)

A
  • Lone pair (on N) (in correct context)
  • R group increases electron density / donates electrons /pushes electrons / has positive inductive effect
22
Q

Identify a substance that could be added to aqueous butylamine to produce a basic buffer solution (3)

A
  • Any strong acid (but not concentrated)
  • or any amine salt or ammonium salt of a strong acid
23
Q

Outline a mechanism for the formation of ethylamine from bromoethane. State why the
ethylamine formed is contaminated with other amines. Suggest how the reaction conditions
could be modified to minimise this contamination (6)

24
Q

Suggest one reason why phenylamine cannot be prepared from bromobenzene in a similar
way. Outline a synthesis of phenylamine from benzene. In your answer you should give
reagents and conditions for each step, but equations and mechanisms are not required (6)

25
* M1 CH3NH2 Shown as displayed or abbreviated structural formula * M2 N-methyl ethylamine or N-methyl ethanamine
26
27
* **M1** The lone pair on nitrogen in P is more available or more able to accept protons/H+ * **M2** More alkyl groups are electron releasing/donating **OR** greater (positive) inductive effect (of the alkyl groups)
28
State the reagent and reaction conditions needed for reaction 3. Give an equation for reaction 3 (2)
* **M1** H2 and Ni/Pt/Pd * **M2** NCCH2CH2CN + 4H2 → H2N(CH2)4NH2
29
Primary amines can be prepared by the reaction of halogenoalkanes with ammonia or by the reduction of nitriles. **Justify** the statement that it is better to prepare primary amines from nitriles rather than from halogenoalkanes (3)
* With halogenoalkane: urther reaction (of primary amines) * **OR** mpure product/mixture of products/lower atom economy * With nitriles nofurther reaction * **OR** Simple product / higher atom economy
30
A student dissolves a few drops of propylamine in 1 cm3 of water in a test tube. Give an equation for the reaction that occurs. Describe what is observed when Universal Indicator is added to this solution (2)
* CH3CH2CH2NH2 + H2O ⇌ CH3CH2CH2NH3 + + OH– * (green) turns blue
31
32
How can Primary aliphatic amines act as Bronsted-Lowry bases ?
* The lone pair of electrons on the nitrogen is readily available for forming a dative covalent bond with a H+ * And so accepting a proton * They are weak bases as only a low concentration of hydroxide ions is produced
33
Amine reactions with **acids** :
34
How can a **basic buffer** be made from an amine ?
* Basic buffers can be made from combining a weak base with a salt of that weak basee.g. Ammonia and ammonium chloride * Methylamine and methylammonium chloride * Ethylamine and ethylammonium chloride
35
Preparing amines from nitriles in a 2 step reaction
36
Reducing nitroarenes to aromatic amines
37
Other reactions of amines
38
Draw the structure of the species formed when serine reacts with dilute hydrochloric acid (1)
39
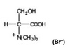
Draw the structure of the species formed when serine reacts with an excess of bromomethane (1)
40
* (As a) soap * (Bio)diesel or biofuel or fuel for cars/lorries * (Cationic) surfactant /detergent /fabric softener /germicide / shampoos / (hair) conditioners /spermicidal jelly
41
# **ChemRevise Notes** Base Properties of Amines
42
How are Secondary amines are stronger bases than primary amines ?
they have more alkyl groups that are substituted onto the N atom in place of H atoms. Therefore more electron density is pushed onto the N atom (as the inductive effect of alkyl groups is greater than that of H atoms), so making the lone pair of electrons on the nitrogen more readily available.
43
Base strength of **aromatic amines**
Primary aromatic amines such as phenylamine do not form basic solutions because the lone pair of electrons on the nitrogen delocalise with the ring of electrons in the benzene ring. This means the lone pair on the N is less able to accept protons
44
Amine Reactions with **Acids**
45
Making a basic buffer from an amine
Basic buffers can be made from combining a weak base with a salt of that weak basee.g. Ammonia and ammonium chloride Methylamine and methylammonium chloride Ethylamine and ethylammonium chloride
46
Overall scheme of reactions (Amine formation from halogen reactions)
47
Preparing amines from **nitriles** in a 2 step reaction
48
Reducing **nitroarenes** to aromatic amines