AA Biosynthesis Flashcards

(22 cards)

1
Q

How do bacteria + humans differ in terms of AA synthesis?

A

Bacteria == Can synthesize all 20 AAs!

Humans == Can only synthesize the 11 Non-essential AAs

How well did you know this?
1
Not at all
2
3
4
5
Perfectly
2
Q

During AA synthesis, what is the source of the carbon skeleton and amino grp?

A

Carbon Skeletons = Derived from TCA cycle, glycolysis and pentose phosphate pathway intermediates

Amino grps = Derived from glutamine + glutamate

How well did you know this?
1
Not at all
2
3
4
5
Perfectly
3
Q

What are the 6 main metabolic precursors to AAs?

A

GLYCOLYTIC:
(1) 3-phosphoglycerate (3PG) –> 3AAs
(2) Pyruvate –> 4AAs
(3) Phosphoenolpyruvate (PEP) –> 3AAs (SEE NOTE)

TCA Cycle:
(1) OAA –> 5 AAs
(2) α-ketoglutarate –> 4AAs

Pentose Phosphate Pathway
(1) Ribose-5P —-> 1 AA
(2) Erythrose-4P —-> 3AAs (SEE NOTE)

PEP + Erythrose-4P COMBINE to make the same 3 AAs (= ONE precursor)

How well did you know this?
1
Not at all
2
3
4
5
Perfectly
4
Q

For the AAs derived from α-ketoglutarate, what is the first step in their synthesis?

A

Transamination of α-ketoglutarate to glutamate!

== Glutamate is a common intermediate that gives rise to all the other AAs derived from α-ketoglutarate

How well did you know this?
1
Not at all
2
3
4
5
Perfectly
5
Q

What AAs are derived from α-ketoglutarate?

A

1) Glutamate
2) Glutamine
3) Arginine
4) Proline

(NOTE: These are all the same that lead to production of α-ketoglutarate during catabolismexcept we’re just missing one!)

How well did you know this?
1
Not at all
2
3
4
5
Perfectly
6
Q

What AAs are derived from 3-phosphoglycerate (3PG)?

A

1) Serine
2) Glycine
3) Cysteine

(NOTE: These are 3 of the AAs that converge on pyruvate in catabolism!)

How well did you know this?
1
Not at all
2
3
4
5
Perfectly
7
Q

What AAs are derived from OAA?

A

1) Aspartate
2) Asparagine
3) Lysine
4) Threonine
5) Methionine

How well did you know this?
1
Not at all
2
3
4
5
Perfectly
8
Q

What AAs are derived from pyruvate?

A

1) ALANINE
2) Valine
3) Leucine
4) Isoleucine

(Note: The 3 branched chain AAs all come from pyruvate!)

How well did you know this?
1
Not at all
2
3
4
5
Perfectly
9
Q

What AAs are derived from Ribose-5P?

A

1) Histidine!

How well did you know this?
1
Not at all
2
3
4
5
Perfectly
10
Q

What AAs are derived from PEP + Erythrose-4P?

A

The aromatic AAs!

1) Tryptophan
2) Tyrosine
3) Phenylalanine

How well did you know this?
1
Not at all
2
3
4
5
Perfectly
11
Q

Explain how AAs are synthesized from α-ketoglutarate:

A

FIRST: α-ketoglutarate is converted into GLUTAMATE!

–> All other AAs that derive from α-ketoglutarate will branch off of glutamate!

Glutamate —–> Glutamine == Occurs via Glutamine Synthetase (requires ATP + ammonia; happens in 2 steps)

Glutamate ——> Proline == Only happens in bacteria! (humans DO NOT make proline from glutamate!)

Glutamate —–> Arginine == Also does NOT happen in humans!

How well did you know this?
1
Not at all
2
3
4
5
Perfectly
12
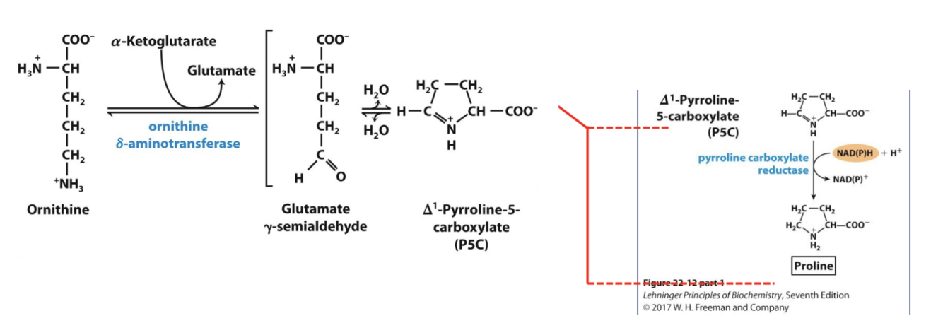
Q

How do BACTERIA synthesize proline?

How does this differ from HUMANS?

A

BACTERIA = Proline is derived from glutamate

1) Glutamate —-> γ-glutamyl phosphate (glutamate kinase + ATP)

2) γ-glutamyl phosphate ——> Glutamate γ-semialdehyde (γ-glutamyl phosphate reductase + NAD(P)H)

3) Glutamate γ-semialdehyde —–> P5C *(no enzyme; cyclization)

4) P5C —-> PROLINE (via P5C reductase)

HUMAN = Proline is derived from ornithine

1) Ornithine —-> Glutamate γ-semialdehyde *(via ornithine aminotransferase == transamination w/ αKG)

2) Glutamate γ-semialdehyde —–> P5C *(no enzyme; cyclization)

4) P5C —-> PROLINE (via P5C reductase)

OVERALL
–> Bacteria + humans converge on proline synthesis at Glutamate γ-semialdehyde —-> PC5 —–> Proline!

–> Upstream of Glutamate γ-semialdehyde, bacteria and humans differ in their proline synthesis!

How well did you know this?
1
Not at all
2
3
4
5
Perfectly
13
Q

Explain the pathway bacteria use to make proline:

A

Bacteria == Make proline from glutamate

1) Glutamate is phosphorylated to γ-glutamyl phosphate (glutamate kinase)

2) γ-glutamyl phosphate is oxidized to Glutamate γ-semialdehyde (γ-glutamyl phosphate reductase)

3) Glutamate γ-semialdehyde is rearranged to PC5 (cyclical)

4) PC5 is reduced to proline! (PC5 reductase)

How well did you know this?
1
Not at all
2
3
4
5
Perfectly
14
Q

Explain the pathway humans use to make proline:

A

Humans == Make proline from ornithine

1) Ornithine undergoes trransamination with αKG to yield Glutamate γ-semialdehyde (ornithine aminotransferase)

2) Glutamate γ-semialdehyde is rearranged to PC5 (cyclical)

4) PC5 is reduced to proline! (PC5 reductase)

How well did you know this?
1
Not at all
2
3
4
5
Perfectly
15
Q

How is arginine made in humans?

A

While glutamate/αKG is a precursor to arginine, humans do not use this pathway to make arginine!

== instead, we use ORNITHINE to make arginine! (occurs via a REVERSE of the urea cycle reactions!)

How well did you know this?
1
Not at all
2
3
4
5
Perfectly
16
Q

How are AAs made from 3-phosphoglycerate?

A

3 AAs are made from 3PG; in this process, serine is made first and then cysteine + glycine are made from serine!

Synthesizing Serine = 3 steps
1) Oxidation: 3PG —–> 3PHP
2) Transamination: 3PHP + Glutamate —–> 3-phosphoserine
3) Dephosphorylation: 3-phosphoserine —–> Serine

Serine —–> Cysteine = 2 steps
1) Serine combines with homocysteine == forms cystathionine
2) Cystathionine is then hydrolyzed to produce cysteine!

Serine ——-> Glycine = 1 step
1) Demethylation via serine hydroxymethyl transferase
(Methylates THF to form N5,N10-methylene-THF!)

17
Q

Explain how serine is made from 3-phosphoglycerate:

A

1) Oxidation: 3PG —–> 3PHP

2) Transamination: 3PHP + Glutamate —–> 3-phosphoserine (**This step requires glutamate to provide the amino grp!)

3) Dephosphorylation: 3-phosphoserine —–> Serine

18
Q

How is serine converted to glycine?

Why is this reaction important?

A

Serine is converted to glycine via a demethylation that is mediated by serine methyl transferase

–> Important because THF accepts the lost methyl group == forming N5,N10-methylene-THF

19
Q

How are AAs formed from OAA?

A

5 AAs are formed from OAA:

FIRST STEP = OAA —-> Aspartate
(occurs via transamination!)
–> The four other AAs derived from OAA come from Aspartarte!

Aspartate —> Asparagine == Transamination!

Aspartate —-> Lysine, Threonine, Methionine == Does NOT happen in humans!

20
Q

How are AAs formed from Pyruvate?

A

4 AAs are formed from pyruvate:
(no common intermediate)

Pyruvate —–> Alanine == transamination

Pyruvate —-> Branched Chain AAs (Leucine, Isoleucine, Threonine) == does NOT happen in humans!

21
Q

How are branched chain AAs formed from pyruvate?

A

1) Pyruvate combines with TPP to form CARBANION

2) Pyruvate-TPP carbanion combines with one of two molecules:

A) αKetobutarate —> —-> —–> Will yield ISOLEUCINE
B) Pyruvate (2nd) —–> —> —–> Will yield VALINE + LEUCINE

3) Rest of the pathway is followed until LAST STEP === transamination w/ glutamate to acquire an amino grp!

22
Q

How are aromatic AAs made?

A

1) PEP + Erythrose-4P COMBINE!
—-> —-> —-> ——> —-> …
2) Eventually leads to formation of CHORISMATE (== common intermediate that all aromatic AAs derive from!)

3) Chorismate —->—-> —->…. —> Tyrosine, Tryptophan, Phenylalanine! (EXCEPT: humans cannot make these!)

NOTE: While we can’t make these three using this pathway, we CAN make Tyrosine!
–> We can carry out rxn: phenylalanine —–> Tyrosine so long as we ingest phenylalanine! (via phenylalanine hydroxylase)