Aantekeningen tentamens Flashcards

(117 cards)

1
Q

Welke twee verschillen tussen oogenese en spermatogenese verklaren het feit dat vrouwen wel in de overgang komen en mannen niet?

A

Bij mannen is er altijd een stamcelpopulatie die vanaf de puberteit start met spermatogenese (1p), en dit is een continue doorlopend proces (1p). Bij vrouwen wordt meiose maar 1 keer gestart/worden alle oocyten al voor de geboorte gevormd (1p) en deze zitten dan in een Meiose arrest tot vlak voor de ovulatie (1p). Daardoor is er maar een beperkte voorraad, als deze op is komt zij in de overgang (1p)

How well did you know this?
1
Not at all
2
3
4
5
Perfectly
2
Q

Wat zijn de primordiale cellen?

A

Primordiale kiemcellen (PGCs) zijn de voorlopercellen van de geslachtscellen (gameten: eicellen en zaadcellen) die zich ontwikkelen tijdens de vroege embryonale fase. Ze vormen de basis voor de voortplantingscellen in volwassen organismen.

How well did you know this?
1
Not at all
2
3
4
5
Perfectly
3
Q

Je bent gynaecoloog. Een 32-jarige vrouw komt met haar nieuwe partner op je spreekuur wegens een kinderwens. Het paar is nu 13 maanden bezig om een kind te krijgen en het lukt niet om zwanger te worden. Hij is 34 jaar oud, is gezond en heeft twee kinderen uit een voorgaande relatie, respectievelijk 7 en 5 jaar oud. Zij heeft nog géén kinderen. Uit de anamnese van de vrouw blijkt dat zij al 11 jaar colitis ulcerosa heeft. In het verleden is zij hiervoor geopereerd en recent heeft zij een darmresectie ondergaan met een blijvend ileostoma. De colitis is op dit moment rustig. Voor het OFO worden een aantal onderzoeken afgesproken.
Deze zouden kunnen zijn:
- chlamydia antistof titer (CAT) bij de vrouw
- laparoscopie bij de vrouw
- progesteron bij de vrouw
- cervix cytologie bij de vrouw
- vroegfolliculair FSH bij de vrouw
- scrotale echo bij de man
- semenanalyse bij de man
- testosteron bij de man
Welke van onderstaande combinatie van onderzoeken is het meest zinvol voor
dit paar voordat er gestart wordt met een eventuele behandeling?
a chlamydia antistof titer (CAT) bij de vrouw en een scrotale echo bij de man
b chlamydia antistof titer (CAT) bij de vrouw en een semenanalyse bij de man
c een laparoscopie bij de vrouw en een scrotale echo bij de man
d een laparoscopie bij de vrouw en een semenanalyse bij de man

A

D

How well did you know this?
1
Not at all
2
3
4
5
Perfectly
4
Q

Bij welke chirurgische ingreep treden de meeste erectieklachten op?
a hemicolectomie
b radicale cystectomie
c radicale prostatectomie
d retroperitoneale lymfklierdissectie

A

B

How well did you know this?
1
Not at all
2
3
4
5
Perfectly
5
Q

Uit onderzoek blijkt dat patiënten die vanwege gynaecologische klachten naar de
huisarts gaan naast de lichamelijke klachten veel ook seksuele problemen ervaren
en hulpvragen hebben, die met of zonder de klacht verband houden. Vaak worden
deze hulpvragen niet spontaan gemeld door de vrouw.
Hoe groot is het percentage patiënten met deze achterliggende
seksuologische hulpvragen?
a 1%
b 10%
c 30%
d 50%

A

C

How well did you know this?
1
Not at all
2
3
4
5
Perfectly
6
Q

Je bent gynaecoloog. Op je spreekuur komt een 26-jarige zwangere vrouw die 30
5/7 weken zwanger is. Zij is primigravida. Ze is verwezen vanwege onbegrepen pijn
in haar onderbuik, waarbij ze aangaf ook “vieze”, geel-witte afscheiding te hebben.
De vrouw komt oorspronkelijk uit Oostelijk Afrika ofwel de Hoorn van Afrika.
Welke ritueel initiatie gebruik kan een rol spelen bij haar buikpijnklachten?

A

Female Genital Mutulation of Vrouwelijk genitale verminking

How well did you know this?
1
Not at all
2
3
4
5
Perfectly
7
Q

Vrouwen met een uitgezaaid endometriumcarcinoom kunnen hormonaal behandeld worden als de tumorcellen hormoonreceptoren bevatten.
Welke groep hormonen is voor deze behandeling de eerste keus?

A

Progestagenen.
Alternatieven bij resistentie of falen van progestagenen:
- Aromataseremmers (bijvoorbeeld letrozol)
- Tamoxifen (anti-oestrogeen)
- GnRH-analogen

How well did you know this?
1
Not at all
2
3
4
5
Perfectly
8
Q

Wat is het belangrijkste te bereiken doel van de medicamenteuze behandeling
van endometriose?
a atrofie van het endometrium
b cyclusregulatie
c ovulatie inductie
d pijnstilling

A

A

How well did you know this?
1
Not at all
2
3
4
5
Perfectly
9
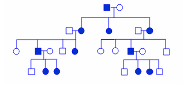
Q

n afbeelding 9, zie bijlage, zie je een stamboom. De ingekleurde personen zijn
aangedaan met een erfelijke ziekte.
Drie beweringen over deze stamboom zijn:
1 Het gaat het meest waarschijnlijk om X-gebonden dominante overerving.
2 Het moet X-gebonden overerving betreffen, omdat man op man overerving niet
voorkomt.
3 De penetrantie moet vrij hoog zijn, omdat veel vrouwen aangedaan zijn.
Welke bewering is of welke zijn juist?
a alleen 1
b alleen 2
c alleen 3
d alleen 1 en 2
e alleen 1 en 3
f alleen 2 en 3
g 1, 2 en 3

A

E. Het feit dat er geen man op man overerving is is niet bewijzend voor X-linked

How well did you know this?
1
Not at all
2
3
4
5
Perfectly
10
Q

Afbeelding 8, zie bijlage, toont een preparaat van een humaan embryo in de 4de
week na conceptie.

Benoem de structuren 1 tot en met 4 van de afbeelding.

A

Structuur 1: neurale buis
Structuur 2: somiet
Structuur 3: intermediair mesoderm
Structuur 4: notochord

How well did you know this?
1
Not at all
2
3
4
5
Perfectly
11
Q

wangerschapsafbreking is in Nederland tot 24 weken zwangerschapsduur legaal.
Vier beweringen met betrekking tot zwangerschapsafbreking bij foetale afwijkingen
zijn:
1 Een zwangerschapsafbreking bij foetale afwijkingen kan in een abortuskliniek
plaatsvinden.
2 Een zwangerschapsafbreking bij foetale afwijkingen moet door een arts begeleid
worden.
3 Er is een bedenktijd van 5 dagen van toepassing.
4 Er is een landelijke registratie die door met ministerie van VWS wordt
bijgehouden.
Welke beweringen zijn juist?
a alleen 1 en 2
b alleen 1 en 4
c alleen 2 en 3
d alleen 2, 3 en 4
e alleen 1, 2 en 3

A

D.
1. zwangerschapsafbreking bij foetale afwijkingen kan in een abortuskliniek plaatsvinden.
Onjuist.
Zwangerschapsafbrekingen bij foetale afwijkingen vinden meestal plaats in een ziekenhuis en niet in een abortuskliniek, vooral bij gevorderde zwangerschappen (na 13 weken).
Abortusklinieken zijn voornamelijk gericht op zwangerschapsafbrekingen tot 13 weken (eerste trimester).
2. Een zwangerschapsafbreking bij foetale afwijkingen moet door een arts begeleid worden.
Juist.
Elke zwangerschapsafbreking, ongeacht de reden, moet altijd door een bevoegde arts worden uitgevoerd en begeleid volgens de wettelijke regels.
3. Er is een bedenktijd van 3 dagen van toepassing.
Juist.
De Wet afbreking zwangerschap (WAZ) schrijft een verplichte bedenktijd van 5 dagen voor bij reguliere zwangerschapsafbrekingen. Echter, bij ernstige medische indicaties of foetale afwijkingen geldt vaak een kortere bedenktijd van 3 dagen.
4. Er is een landelijke registratie die door het ministerie van VWS wordt bijgehouden.
Juist.
Het ministerie van Volksgezondheid, Welzijn en Sport (VWS) houdt een landelijke registratie bij van alle zwangerschapsafbrekingen, inclusief die bij foetale afwijkingen. Dit gebeurt ter waarborging van zorgvuldigheid en beleidsevaluatie.

How well did you know this?
1
Not at all
2
3
4
5
Perfectly
12
Q

Je bent AIOS gynaecologie. Een 21-jarige vrouw meldt zich met sinds enige uren
toenemende buikpijn en schouderpijn op de SEH. Zij is drie weken overtijd. De duur
van de laatste menstruatie was opvallend korter dan zij gewend was. Labonderzoek
toont een positieve zwangerschapstest. Vitale controles, inclusie hemoglobine
waarde zijn normaal. Je verricht een echo en ziet een dik endometrium, géén
duidelijke intracavitaire vruchtzak, vrij vocht in het cavum Douglasi en normale
adnexa.
Wat het aangewezen klinisch beleid?
a bepalen en vervolgen van de serum hCG waarde
b direct diagnostische laparoscopie vanwege verdenking geruptureerd EUG
c expectatief beleid vanwege de waarschijnlijkheidsdiagnose miskraam

A

B

How well did you know this?
1
Not at all
2
3
4
5
Perfectly
13
Q

Wat gebeurt er bij een penisfractuur?

A

Een penisfractuur ontstaat door een gescheurd fascieblad van één van de zwellichamen, de tunica albuginea. Door het gescheurde fascieblad loopt het bloed uit de zwellichamen onder de huid, waardoor de penis sterk groeit en op een aubergine lijkt.

How well did you know this?
1
Not at all
2
3
4
5
Perfectly
14
Q

Welke structuur ontstaat uit welk deel van het urogenitaalstelsel?

A
How well did you know this?
1
Not at all
2
3
4
5
Perfectly
15
Q

Welke zenuwen zijn betrokken bij de erectie en welke zenuwen zijn betrokken bij de ejaculatie?

A

erectie:
- parasympatische zenuwstelsel (S2-S4): nn. splanchnici pelvici: zorgt voor vasodilatatie. De vezels hiervan komen in de n. cavernosus die dus zorgt voor de vasodilatatie.
- n. pudendus (somatisch): stuurt de m. ischiocavernosus en m. bulbospongiosus aan.
ejaculatie:
- sympathische zenuwstelsel (Th11-L2): nn. splanchnici en plexus hypogastricus inferior: zorgen voor de emissie van de sperma door contractie van de zaadleiders, prostaat en zaadblaasjes. Zorgt ook voor het sluiten van de blaashals door de m. sphincter urethrae interna.
- n. pudendus: ritmische contactie van de bekkenbodemsphincter, en de externe urethrale sphincter wat leidt tot de daadwerkelijke ejaculatie.
- De vezels van het sympathische zenuwsstelsel (uit de plexus hypogastricus) zitten ook in de n. cavernosus en zorgen voor het beëindigen van de erectie.

How well did you know this?
1
Not at all
2
3
4
5
Perfectly
16
Q

Welke hormonen geef je bij het traject van IVF?

A

Tijdens de fase van follikelgroei wordt de eigen cyclus uitgeschakeld door het onderdrukken van de LH-piek (middels een GnRH receptor antagonist). Zo wordt de ovulatie voorkomen. De ovaria worden vervolgens overgestimuleerd middels FSH-injecties, waardoor de follikels gaan groeien. Wanneer de eitjes uitgerijpt zijn, wordt er hCG gegeven, zodat de eitjes vrijkomen van de wand. Hierna kan de punctie worden uitgevoerd.

How well did you know this?
1
Not at all
2
3
4
5
Perfectly
17
Q

Hoe werkt de erectie?

A

Tactiele stimulatie van de genitalia zorgt voor reflexogene stimulatie in het sacrale erectie centrum (S2-S4) in het ruggenmerg. Het thoracolumbale erectie centrum (T11-L2) zorgt voor vasodilatatie, een verhoogde bloed-flow door de penis en een erectie. Daarnaast hebben allerlei psychogene stimuli ook invloed op de erectie. Parasympatische stimulatie zorgt voor relaxatie van glad spierweefsel. Hierdoor neemt de bloedstroom in het zwellichaam toe, en daardoor wordt de veneuze afvoer dichtgedrukt.
Bij de seksuele responscyclus van de man zijn zowel de hypogastrische (sympatische) en bekken (parasympatische) zenuwen betrokken. De nervus hypogastricus, de sympatische zenuw, zorgt voor detumescentie van de penis (het verdwijnen van de erectie).

How well did you know this?
1
Not at all
2
3
4
5
Perfectly
18
Q

Wat is cytokinese?

A

Cytokinese is het proces waarbij het cytoplasma van een cel wordt verdeeld, resulterend in de vorming van twee afzonderlijke dochtercellen na mitose of meiose.
Bij de meiose van de vrouw ontstaat tijdens de cytokinese een poollichaampje, een kleine cel die weinig cytoplasma bevat en dient om het overtollige genetisch materiaal te verwijderen, terwijl de meeste voedingsstoffen en organellen behouden blijven in de grote eicel die zich verder kan ontwikkelen.

How well did you know this?
1
Not at all
2
3
4
5
Perfectly
19
Q

Noem vijf lichamelijke klachten die kunnen wijzen in de richting van bekkenbodemproblemen.

A
  • Chronische onderbuikspijn
  • Onverklaarde buikpijn/krampen
  • Obstipatie/afwisselend obstipatie met diarree
  • Lage urineweg symptomen (dysurie)
  • Blaaspijn
  • Oppervlakkige dyspareunie
  • Vulvodynie
  • Pijn in het perineum
  • Pijn in de anus (perneal pain)
  • Fissuren
  • Aambeien
  • Seksueel opwindingsstoornis
  • Orgasme pijn
  • Pelvic congestion
  • Coccygodynia
  • Lage rugpijn
  • Algemene spanningsklachten (hyperventilatie, schouder en nekpijn, tandknarsen, spanningshoofdpijn)
How well did you know this?
1
Not at all
2
3
4
5
Perfectly
20
Q

Hoe groot is de kans dat HPV leidt tot kanker?

A
How well did you know this?
1
Not at all
2
3
4
5
Perfectly
21
Q

Waarvoor staat PALM-COEIN?

A

P poliep
A adenomyosis
L Leiomyoma
M maligne
C coagulatie
O ovulatiestoornis
E endometrium /
endometriose
I iatrogeen
N non specific
Vraag

How well did you know this?
1
Not at all
2
3
4
5
Perfectly
22
Q

Noem drie oorzaken van POI.

A

Iatrogeen door chemotherapie- of radiotherapie, (niet ieder apart als een oorzaak!)
(Profylactisch) chirurgisch verwijderen van de ovaria,
Auto-immuun ( door antistoffen tegen ovarium weefsel)
idiopathisch,
genetisch (chromosomaal of gen-mutatie (niet ieder apart als een oorzaak!)

How well did you know this?
1
Not at all
2
3
4
5
Perfectly
23
Q

Waar komen Lefty 2 genen tot expressie?

A

Zijplaat mesoderm/lateraal mesoderm

How well did you know this?
1
Not at all
2
3
4
5
Perfectly
24
Q

Je bent klinisch geneticus. Op je spreekuur komt een 1 maand oude jongen die geboren is met een omphalocele, een relatief grote lengte en gewicht en een grote tong. Je denkt aan het Beckwith-Wiedemann syndroom als mogelijke onderliggende oorzaak van deze afwijking. Bij deze aandoening speelt genetische imprinting een rol.
Enkele beweringen over het Beckwith-Wiedemann syndroom zijn:
1. Deze aandoening is te diagnosticeren met behulp van exoom sequencing.
2. Deze aandoening is niet erfelijk.
3. Deze aandoening is in een deel van de gevallen erfelijk.
4. Voor de herhalingskans bij volgende zwangerschappen is het belangrijk of de aanleg maternaal of paternaal is overgeërfd.
Welke van deze definities over genetische imprinting zijn juist?
A 1 en 2
B 1 en 3
C 1 en 4
D 2 en 4
E 3 en 4

A

B

How well did you know this?
1
Not at all
2
3
4
5
Perfectly
25
Je bent huisarts. Op je spreekuur komt een 22-jarige vrouw, P2, vanwege kinderwens. Haar voorgeschiedenis vermeldt bloedarmoede en er is sprake van overgewicht. Bij haar vorige twee zwangerschappen was er sprake van een vroeggeboorte. Van welke twee richtlijnen kan gebruik worden gemaakt bij de uitwerking van een preconceptioneel consult? Benoem deze richtlijnen.
1: 2011: NHG-Standaard Preconceptiezorg (geeft richtlijnen voor advisering aan paren met een kinderwens) 2: 2018: De Preconceptie Indicatie Lijst (PIL) (beschrijft op hoofdlijnen de inhoud van preconceptiezorg en is een opzet voor de benodigde multidisciplinaire samenwerkingsafspraken)
26
Twee beweringen over moedermelk zijn: 1. De pH van moedermelk is lager dan die van bloed plasma. 2. Farmaca die in moedermelk terechtkomen door actieve diffusie kunnen daar hogere concentraties dan in bloed bereiken. Welke bewering is of welke zijn juist? A alleen 1 B alleen 2 C 1 en 2 D geen
C De pH van moedermelk is 7 en van bloed 7,4. Om deze reden kunnen erytromycine en bèta-blokkers (basische stoffen) een hogere concentratie krijgen in moedermelk.
27
Wat is de functie van het acrosoom?
doordringing van de zona pellucida
28
Noem vier vormen/mechanismen van genetische variatie die kunnen leiden tot ziekte?
- Afwezigheid van een deel van het genetische materiaal (deletie) - Teveel aan genetisch materiaal (duplicatie/gain) - Disruptie van de structuur van een gen (translocatie, inversie, insertie) - Verandering aminozuurvolgorde (missense, frame-shift, STOP codon) - Verlies van (een deel van) de functie van het eiwit/gen (loss of functie) - Gain of functie effect: wanneer een afwijkend eiwit een extra (sterke) functie krijgt - Dominant negatief effect: wanneer een afwijkend eiwit de correcte eiwitten verstoort in hun functe - Veranderde stabiliteit van RNA (bv nonsense mediated decay) - Effect op splicing, waardoor er een afwijkend RNA en/of eiwit wordt gevormd - Repeat expansies (toxiciteit en/of loss of functie)
29
Mannen met een niet-obstructieve azoöspermie kunnen onvruchtbaar zijn vanwege afwijkingen in het spermatogenese proces die veroorzaakt worden door genetische mutaties. Met behulp van moderne “exome” of whole genome sequencing strategieën zijn in de afgelopen jaren een aantal genen geïdentificeerd die bij mutatie mannelijke onvruchtbaarheid veroorzaken. Een van deze genen is het TEX11 gen. Dit gen ligt op het X chromosoom, en het gecodeerde eiwit speelt een rol tijdens de meiotische profase. 1. Vanwege welk specifiek aspect in de regulatie van genexpressie tijdens de mannelijke meiotische profase, is deze combinatie van gen en functie niet te verwachten? (2p) Leg je antwoord uit. Wanneer het Tex11 gen bij muizen wordt uitgeschakeld leidt het ook tot mannelijke onvruchtbaarheid. Hieronder zie je een plaatje waarbij een bepaalde eiwitstructuur wordt aangekleurd. De rode kleur geeft de laterale elementen van het synaptonemale complex weer en de groene kleur het centrale element. Een gele kleur betekent dat beide eiwitten aanwezig zijn.  Links (A) zie je een foto van een celkern van een controle muis en  rechts (C) van de Tex11 knockout muis.   2. Omschrijf in eigen woorden wat het synaptonemale complex is, en wat er mis lijkt te zijn gegaan in de kern van de Tex11 knockout muis. (2p) 
1. Tijdens mannelijke meiose worden X en Y inactief gemaakt/XY body gevormd (1p), dus het is raar dat dit eiwit gevormd wordt omdat de X eigenlijk uit staat (1p)  2. Het is een eiwitcomplex dat de chromosomen bij elkaar houdt /brengt (1p) in de knockout zijn niet alle chromosomen goed gepaard (1p)
30
Waar of bij wie worden in Nederland de meeste SOA consulten verricht?   A Centra Seksuele Gezondheid/GGD  B huisarts C dermatoloog-venereoloog  D uroloog
B
31
Je bent huisarts. Op je spreekuur komt een 56-jarige vrouw met dagelijks meerdere opvliegers en frequente nachtelijke zweetaanvallen. Hoeveel procent van de vrouwen heeft post- of perimenopauzaal last van dergelijke vasomotorische klachten?  A ongeveer 25% B ongeveer 50% C ongeveer 75%
C
32
Hoe gradeer je prolaps?
Bp (posterior), Ba (anterior), C (cervix). Stadium 1: 1cm boven het hymen, stadium 2 is <1 cm boven het hymen en <1 cm onder het hymen, stadium 3 is >1 cm onder het hymen en stadium 4 is totale prolaps.
33
Je bent huisarts. Op je spreekuur komt een 21-jarige vrouw die zegt dat haar afscheiding naar “rotte vis” ruikt.  Wat is de meest waarschijnlijke diagnose?  A bacteriële vaginose  B candida albicans  C gonorroe  D trichomonas vaginalis
A. disbalans tussen de bacteriën in de vagina, waardoor een bepaald vocht wordt geproduceerd en dit stinkt heel erg. Bij candida komt er witte afscheiding uit dit stinkt niet. Trachimonas is een SOA (parasiet): ruikt vies en geeft gele/groene afscheiding, zorgt ook voor jeuk en pijnklachten.
34
Je bent huisarts. Een 23-jarige vrouw komt op je spreekuur vanwege klachten van hevig menstrueel bloedverlies vanaf de menarche.    Wat is de meest voorkomende oorzaak op 23 jarige leeftijd voor het optreden van hevig menstrueel bloedverlies volgens de PALM – COEIN classificatie? A adenomyosis B myomen C poliepen  D stollingsstoornis 
D
35
Tot hoelang mag je vrouwen met POI met hormoontherapie behandelen?
De leeftijd waarop de moeder in de overgang kwam + 5 jaar.
36
Noem vier oorzaken van een polyhydramnion in het derde trimester van de zwangerschap?
1. Polyurie bij slecht of niet gereguleerde diabetes gravidarum 2. Slikstoornis van de foetus door een neurologische aandoening (bij voorbeeld anencephalie) 3. Retrognatie 4. Obstruerend proces in de halsregio (b.v. struma, mondbodemtumor) 5. Duodenum atresie 6. Oesophagus atresie 7. Skelet dysplasie met een smalle thorax
37
Cocaïne verhoogt de concentratie van een vasoconstrictoire neurotransmitter zodat de bloedtoevoer naar de foetus in gevaar komt. Om welke neurotransmitter gaat het hier? A acetylcholine B histamine  C noradrenaline  D serotonine  
C. Cocaine is een re-uptake blokker van o.a. noradrenaline en dopamine. Het kan leiden tot een verhoogde bloeddruk en hartslag.
38
Welke twee spieren zijn in deze afbeelding aangegeven met de letters A én B?
1. M. obturatorius internus 2. M. levator ani
39
Je bent AIOS gynaecologie. Een 21-jarige vrouw meldt zich met sinds enige uren toenemende buikpijn en schouderpijn op de SEH. Zij is drie weken overtijd. De duur van de laatste menstruatie was opvallend korter dan zij gewend was. Labonderzoek toont een positieve zwangerschapstest. Vitale controles, inclusie hemoglobine waarde zijn normaal. Je verricht een echo en ziet een dik endometrium, géén duidelijke intracavitaire vruchtzak, vrij vocht in het cavum Douglasi en normale adnexa. Wat het aangewezen klinisch beleid? a bepalen en vervolgen van de serum hCG waarde b direct diagnostische laparoscopie vanwege verdenking geruptureerd EUG c expectatief beleid vanwege de waarschijnlijkheidsdiagnose miskraamJe bent AIOS gynaecologie.
B
40
Je bent gynaecoloog. Op je spreekuur komt een 38-jarige primigravida voor controle vanwege haar overgewicht. Haar BMI in het eerste trimester van de zwangerschap bedroeg 42 m/kg2. De zwangerschap verliep ongestoord en bij een zwangerschapsduur van 40 weken en 2 dagen komt zij spontaan in partu. Welke uitspraak over obese zwangeren is juist? a er bestaat een verhoogde kans op een sectio caesarea b er bestaat meer kans op de vaginale kunstverlossing c er bestaat minder kans op zwangerschaps diabetes d er bestaat minder kans op zwangerschaps hypertensie
A
41
Wat zijn directe en indirecte oorzaken van maternale sterfte bij de zwangerschap?
Directe oorzaken kunnen zijn: preeclampsie, trombo-embolie, bloedingen, SADS (Sudden Arrhythmia Death Syndromes), genitale sepsis, overig direct Indirecte oorzaken kunnen zijn: cardiovasculaire aandoeningen, CVA's, infecties, psychiatrische aandoeningen, bloedziekten, endocriene aandoeningen, longziekten, overig indirect.
42
Noem twee bevindingen van echografisch onderzoek die hier een teken van kunnen zijn. (4p) (verminderde functie van de placenta)
Hartfreq stijgt Afname van de foetale activiteit Afbuiging/Stilstand van de groei Dopplerafwijkingen Afname hoeveelheid vruchtwater Echodense darmen
43
Een 37-jarige vrouw bevalt bij een zwangerschapsduur van 38 weken met behulp van een keizersnede van haar tweede kind. De keizersnede wordt verricht vanwege foetale nood. De periode rondom de keizersnede is de vrouw hemodynamisch instabiel en wordt na de ingreep opgenomen op de Intensive Care (IC). Er blijkt sprake van een acuut leverfalen op basis van acute fatty liver. De vrouw heeft een indicatie voor een levertransplantatie. Ze ontwikkelt multi-orgaan falen en overlijdt één week na de geboorte van haar kind. Hoe wordt de sterfte van deze patiënte geclassificeerd? A maternale sterfte: directe sterfte B maternale sterfte: indirecte sterfte C maternale sterfte: toevallige sterfte
A
44
Wat zijn de nummers op dit plaatje?
1. cloaca 2. septum urorectale 3. hindgut 4. urogenitale sinus 5. allantois
45
In een recent artikel geschreven door Arafah et al in Human Reproduction (Human Reproduction, Vol.36, No.3, pp. 693–701, 2021) wordt een patiënt beschreven met het volgende phenotype: “Here, we identified a patient with oligoasthenoteratozoospermia but presenting a majority of spermatozoa with strikingly large sperm heads” Op de afbeelding hieronder zie je in (A) normale spermatozoa en in (B) en (C) voorbeelden van de spermatozoa van deze patiënt. 1. Noem twee processen die plaatsvinden tijdens de spermatogenese én die noodzakelijk zijn voor het vormen van een spermakop van normale grootte. (2p) Bij de patiënt beschreven in het artikel is vastgesteld dat het fenotype veroorzaakt wordt door een homozygote mutatie in een gen dat codeert voor een eiwit dat alleen in spermatiden tot expressie komt. Dit eiwit speelt een rol in het transport van eiwitten tussen het cytoplasma en de celkern. Door deze mutatie wordt dit eiwit niet meer gemaakt. 2. Welk proces in de spermatogenese van deze patient zou hierdoor verstoord kunnen zijn en het fenotype kunnen verklaren? (1p)
1. de reductiedeling/meiose (1p) en de histone-naar protamine transitie/compactieproces (1p) 2. het transport van histonen/protamines is misschien verstoord (1p)
46
waar loopt de n. pudendus door heen?
Fossa ischioanalis en dit is caudaal van de m. levator ani
47
In onderstaande stamboom is een familiesituatie waarbij twee kinderen aangedaan zijn met een erfelijke ziekte (kind A en B) te zien. De kinderen zijn vrij ver verwant van elkaar. Alle andere personen in de stamboom zijn gezond. Er bestaat een overgeërfde relatie tussen de aandoeningen van de twee kinderen. 1. Welke overervingspatronen kunnen hieraan ten grondslag liggen? Noem er vier en leg het mechanisme uit waardoor de tussenliggende personen gezond zijn. (12p) 2. Leg uit waarom “autosomaal dominante overerving met verminderde penetrantie” bij de vorige vraag géén goed antwoord is? (2p)
1. Autosomaal recessief (1p). Tussenliggende personen zijn slechts drager zonder ziekteverschijnselen (2p). De niet verwante ouders van respectievelijk A en B moeten dan ook drager zijn. 2. X-linked recessief (1p). Tussenliggende personen zijn allen vrouwen, die slechts draagster zijn zonder ziekteverschijnselen (2p). De aangedane kinderen zijn jongens. 3. Reciproke translocatie (1p). Tussenliggende personen hebben een gebalanceerde reciproke translocatie zonder ziekteverschijnselen (2p). De aangedane personen hebben een ongebalanceerde reciproke translocatie. 4. Robertsoniaanse translocatie (1p). Tussenliggende personen hebben een gebalanceerde Robertsoniaanse translocatie zonder ziekteverschijnselen (2p). De aangedane personen hebben een ongebalanceerde Robertsoniaanse translocatie. 5. Anticipatie (1p). Er is sprake van een trinucleotide expansie aandoening, waarbij de expansie te laag is voor de tussenliggende personen (2p). Bij de aangedane kinderen is de expansie wél groot genoeg geworden voor het ontwikkelen van verschijnselen. 6. Autosomaal dominant met imprinting / imprinting (1p). De tussenliggende personen zijn gezond omdat de mutatie bij hen op het geïmprinte (uit staande) allel ligt (2p). Bij de aangedane kinderen ligt de mutatie juist op het aan staande allel, het andere allel staat uit door de imprinting. 2. Het is zeer onwaarschijnlijk bij een autosomale overerving dat maar het liefst zes tussenliggende personen geen enkele verschijnselen hebben en eigenlijk ook nog één van beide partners van het gemeenschappelijke voorouderpaar, dus totaal zeven personen (2p)
48
Je bent huisarts en ziet een 30-jarige vrouw voor het BVO-cervixscreening. Je neemt een korte gynaecologische anamnese af. Zij is anderhalf jaar geleden bevallen van haar eerste kind. De bevalling en het kraambed verliepen ongecompliceerd. Ze heeft negen maanden borstvoeding gegeven, waarna ze is gestart met een combinatiepil. Ze is acht kilo aangekomen in de COVID-19 tijd. Zij vertelt dat ze ruim drie maanden geleden met de pil is gestopt omdat ze weer een kinderwens heeft. In deze drie maanden heeft zij géén menstruatie gehad. De vorige zwangerschap kwam tot stand na twee jaar onbeschermde coitus. Wat is de meest waarschijnlijke oorzaak van deze al drie maanden bestaande amenorroe? A endometriumatrofie door het gebruik van de combinatiepil B cyclusstoornis door een hormoonstoornis C endometriumatrofie door de langdurige borstvoeding D Asherman syndroom
B
49
Je bent coassistente bij een uroloog-androloog. Je hebt een intakegesprek met een 55-jarige man. Hij werd verwezen door zijn huisarts. In de verwijsbrief stond als enige probleemschets ‘erectiestoornissen’ vermeld. Je hebt je gisteravond goed ingelezen in de ingewikkelde problematiek rondom erectiestoornissen. Welk van de onderstaande problemen is een oorzaak of zijn oorzaken van erectiestoornissen? Let op! Meerdere antwoorden kunnen juist zijn. A hypogonadisme B depressie C plasbuisoperatie D arterieel vaatlijden
A, B, D
50
Op de afdeling voortplantingsgeneeskunde komt een vrouw van 30 jaar op het spreekuur samen met een mannelijke donor van 36 jaar. Ze hebben samen al goede gesprekken gevoerd over het donatietraject en hopen snel te kunnen starten met de inseminaties. Noem drie onderwerpen die het multidisciplinaire team in de gesprekken met deze man en vrouw moet behandelen. (3p)
Reproductieve/fertiliteitgeschiedenis (eerdere zwangerschappen, oudere kinderen, etc.) Geestelijk en fysieke gezondheid (stemming, andere aandoeningen) Relationeel en familiaal functioneren (band met de donor, rol/relatie met andere betrokkenen bij dit gezin) Sociale en economische context (financiële draagkracht, sociale steun, rol van donor in opvoeding kind)
51
Voor welke maligniteit bestaat een verhoogde kans bij Lynch, BRCA1, PCOS?
Lynch en PCOS endometrium en BRCA ovarium.
52
Bij een 75-jarige vrouw wordt een cervixcarcinoom vastgesteld. De tumor zit in de parametria en er zijn afwijkende klieren gevonden naast de iliacale vaten (rT2bN1M0). Welke behandeling is medisch gezien het meest passend bij deze vrouw? A alleen chemoradiatie B chemoradiatie gevolgd door een simpele hysterectomie C radicale hysterectomie en pelviene lymfeklierdissectie (Wertheim procedure) D alleen een simpele hysterectomie E palliatieve therapie
A. Chirurgie is niet meer mogelijk door uitbreiding. Bestraling is nog wel mogelijk
53
welke structuur wordt gevormd op de plek van het cijfer?
1. pleuraholte 2. pericardholte 3. septum transversum 4. peritoneaal holte 5. dooiersteel
54
Je bent bedrijfsarts. Je hebt een telefonisch consult met een 34-jarige vrouw. Zij wil zich nog enkele weken ziek wil melden, aansluitend aan haar zwangerschapsverlof. Het lukt haar niet om weer aan het werk te gaan. Ze geeft aan dat ze moe is omdat haar baby veel huilt, waarbij er ook spanningen in de relatie zijn rondom de zorg van haar baby. ‘Werken lukt zo echt niet. Ik weet niet hoe ik het moet doen. De baby huilt de hele tijd. Ik slaap zo slecht, ik ben óp’. Als je vraagt wat er niet lukt, reageert de vrouw geprikkeld. Als je vraagt naar hoe de bevalling was, zegt ze ‘Nou gewoon, een bevalling’ en wil er verder niet over praten. Je wil verder in gesprek met deze vrouw om een duidelijker beeld te krijgen van haar situatie. Wat zijn de twee meest zwaarwegende redenen om dat gesprek op korte termijn aan te gaan? (2p)
1. Maternale klachten (lijdensdruk en kans op suicide) 2. Impact op de ontwikkeling van het kind van onbehandelde maternale pathologie
55
Naar welk orgaan metastaseert een mola zwangerschap meestal?
Naar de longen en dan hematogeen
56
Je bent gynaecoloog en wordt gevraagd met spoed te komen bij een zwangere patiënte met een recent doorgemaakte COVID-19 ziekte. Zij is nu 35 weken zwanger en heeft twee weken terug milde klachten doorgemaakt van hoesten, benauwdheid en lichte temperatuurverhoging. Inmiddels zijn de klachten veel minder, maar de antigeentest op SARS-CoV-2 is ook vandaag nog positief. De zwangerschap is verder zonder problemen verlopen, maar sinds vandaag voelt zij de baby eigenlijk nauwelijks nog bewegen. Je maakt een opname van de foetale hartslag (een cardiotocogram) en bevestigt dat de baby niet beweegt en in zijn hartslagpatroon tekenen laat zien van foetale nood. Je besluit direct een spoed keizersnede te verrichten. Hierbij wordt een zoon geboren met een slechte start, die gelukkig na opvang en resuscitatie door de kinderartsen een ongecompliceerd herstel laat zien. De placenta wordt opgestuurd voor pathologisch onderzoek. Hieronder zie je een afbeelding van het histologisch onderzoek van deze placenta. De bruine kleuring bindt aan het RNA dat codeert voor het spike eiwit van SARS-CoV-2 en is in deze placenta sterk positief. Welke bewering is juist ten aanzien van de rol van de placenta bij COVID-19 in de zwangerschap? A De aanwezigheid van SARS-CoV-2 in de placenta leidt in vrijwel alle gevallen tot overdracht van het virus van moeder op kind. B De aanwezigheid van het spike eiwit van het SARS-CoV-2 virus in de placenta toont aan dat er een infectie van de syncytiotrofoblast is. C Klachten zoals hoesten, koorts en benauwdheid zijn een goede voorspeller van de placentaire overdracht van het SARS-CoV-2 virus van moeder op kind. D De ontstekingsreactie in de placenta na een virusinfectie met SARS-CoV-2 is sterk gerelateerd aan de kans op complicaties van de zwangerschap.
B
57
Je bent verloskundige in de eerste lijn. Je doet de laatste kraamvisite bij een 31-jarige kraamvrouw. Zij is zeven dagen na haar bevalling. Zij geeft aan dat ze sinds vier dagen last heeft van depressieve klachten. Haar moeder heeft haar verteld dat dit best vaak voorkomt en ook weer voorbijgaat: je zult wel de ‘baby blues’ hebben. Jij als verloskundige bent hier toch kritischer over, en vraagt je of er sprake kan zijn van een postpartum depressie. Is bij deze kraamvrouw sprake van een postpartum depressie? A Nee, voor het stellen van de diagnose post partumdepressie moeten er tenminste twee weken depressieve klachten aanwezig zijn bij de kraamvrouw. B Ja, voor het stellen van de diagnose post partumdepressie moeten er tenminste drie dagen depressieve klachten aanwezig zijn bij de kraamvrouw. C Ja, want depressieve klachten één week na de bevalling passen niet meer bij de ‘baby blues’.
A
58
Je bent huisarts. Op je spreekuur komt een 27-jarige vrouw, G2P1. Zij is 30 weken zwanger. De zwangerschap verloopt tot nu toe ongecompliceerd. Ze heeft een baan waarvan ze veel stress ervaart en zich overvraagd voelt door de hoge eisen die aan haar gesteld worden, zoals strakke deadlines en de sociale druk om pauzes over te slaan. Ze heeft op het internet iets gelezen over de invloed van stress op de ontwikkeling van het (ongeboren) kind en wil hierover graag meer weten. Welke bewering over de invloed van moederlijke stress op de gevoeligheid van het stress-systeem van het (on)geboren kind is juist? De gevoeligheid van het stress-systeem van het (on)geboren kind: A ontwikkelt zich alleen tijdens de zwangerschap. B ontwikkelt zich vooral tijdens de zwangerschap en de eerste drie maanden na de geboorte. C ontwikkelt zich vooral tijdens de zwangerschap en de eerste zes maanden na de geboorte. D ontwikkelt zich vooral tussen drie maanden en zes maanden na de geboorte.
B
59
Welke van onderstaande onderzoeksmethoden verdient in de patiëntenzorg anno 2021 de voorkeur om als eerste uit te voeren indien de diagnostiek niet met spoed hoeft te gebeuren? A karyotypering B MRI-scan voor inwendige afwijkingen  C Snip (SNP) array D stamboomonderzoek E Whole exome sequencing (WES)  F Whole genome sequencing (WGS/NGS) 
C, het is een goedkope en snelle techniek, en heeft een hoge resulotie (10-50kB)
60
Je ben AIOS gynaecologie. Je ziet op je verloskunde spreekuur een 32-jarige zwangere. Zij is zwanger geworden met behulp van ovulatie inductie vanwege een amenorroe bij haar PCOS. Een aantal bekende zwangerschapscomplicaties zoals meerlingzwangerschappen, pre eclampsie, vroeggeboorte en zwangerschapsdiabetes komen vaker voor bij vrouwen met PCOS. Welke twee van deze zwangerschapscomplicaties komen het vaakst voor bij vrouwen met PCOS? A meerlingzwangerschappen B pre-eclampsie C vroeggeboorte D zwangerschapsdiabetes
B en D. Risico op pre-eclampsie en DG met 3-4x verhoogd. Vroeggeboorte maar met 2x.
61
Je bent gynaecoloog. Op je spreekuur komt een 32-jarige vrouw met haar 37-jarige man met een kinderwens. Spontaan zwanger worden is de afgelopen twee jaar niet gelukt. Er zijn geen afwijkingen gevonden bij haar en haar partner. Ook na zes behandelingen intra uteriene inseminatie en milde ovariële hyperstimulatie is er geen zwangerschap ontstaan. Het echtpaar komt nu in aanmerking voor een IVF/ICSI behandeling en zij willen weten wat de kans is op een zwangerschap. Wat is de kans op zwangerschap na een eerste IVF/ICSI behandeling, waarbij alle verkregen embryo's zijn teruggeplaatst (zowel verse embryo('s) als cryo embryo's)?  A rond 10%  B rond 30%  C rond 50%  D rond 70% 
B
62
Je bent huisarts. Een 63-jarige vrouw komt op je spreekuur vanwege een ‘balgevoel’ en een aantal andere klachten. Je onderzoekt haar en je vindt een achterwandprolaps tot 2 cm voorbij de hymenaal ring.   Noem drie andere, typische klachten bij patiënte die passen bij deze bevinding uit het lichamelijk onderzoek. (3p)
Beoordelingsvoorschrift Criterium 1 (Aantal punten: 3) seksuele problemen, defaecatie problemen, urineproblemen 
63
Van hormonale anticonceptie bestaan onder andere de gecombineerde hormonale anticonceptie en de progestin only pill (POP).  Waar berust de hoofdwerking van POP voornamelijk op?  A afsluiten cervix uteri door slijm   B immobiliseren spermatozooën  C onderdrukken gonadotrofinen  D verhinderen innesteling embryo 
C
64
Je bent internist. Een 28-jarige vrouw (nulligravida) bezoekt je vanwege haar follow-up reumatoïde arthritis. Ze gebruikt NSAID’s en een TNFremmer om haar reumatische klachten onder controle te houden. Ze laat weten arbeidsongeschikt te zijn vanwege haar reumatische beperkingen. Ze is alleenstaand en heeft actueel géén kinderwens, maar zou zeker graag moeder willen worden. De door haar reumatoloog zorgvuldig uitgevraagde familie-anamnese vermeldt dat moeder van patiënte een eerder kind heeft verloren in of rondom een zwangerschap. Patiente heeft hier géén uitgebreidere informatie over, haar moeder vindt het moeilijk hierover te praten.   Welke twee beweringen over preconceptiezorg in deze casus zijn juist? A Patiënte komt op dit moment in aanmerking voor adviezen ten aanzien van algemene preconceptiezorg. B Patiënte komt op dit moment in aanmerking voor het inzetten van specialistische preconceptiezorg. C Patiënte komt in pas aanmerking voor adviezen ten aanzien van algemene preconceptiezorg  indien er sprake is van een actuele kinderwens. D Patiënte komt in pas aanmerking voor het inzetten van specialistische preconceptiezorg indien er sprake is van een actuele kinderwens.
A en B
65
Onderstaande afbeelding toont een histologisch preparaat van een vroeg embryo met extra-embryonale holtes en vliezen 13 dagen na conceptie. De pijlen wijzen naar de verschillende holtes. Welke pijl wijst naar de dooier?   A pijl 1  B pijl 2  C pijl 3  D pijl 4
A
66
Je bent huisarts. Op je spreekuur komt een 36-jarige vrouw met een kinderwens. Ze hoort vaak om zich heen dat ze foliumzuur zou moeten innemen, eigenlijk al vóórdat ze zwanger is. Ze wil graag van jou weten of ze foliumzuur inderdaad moet innemen, en waarom. Met welke vier nadelige effecten is een verlaagd maternaal foliumzuurgehalte geassocieerd? A gehemeltespleet B hypertensie C kleinere hersenen D laag geboortegewicht E miskraam F neurale buisdefect G verminderde doorbloeding
A, D, E, F
67
Je bent huisarts. Je wordt gebeld door een 23-jarige vrouw vanwege hevig krampende pijn in de onderbuik. Patiënte heeft acht weken geleden haar laatste menstruatie gehad. Ze had twee weken geleden  een positieve zwangerschapstest. Zij heeft twee maal een eerste trimester miskraam heeft gehad. Daarnaast heeft ze tweemaal een abortus provocatus gehad vanwege een ongewenste zwangerschap. Je besluit direct een echo te laten maken.   Welke echografische bevinding is het meest bepalend voor het vervolgbeleid?    A informatie over de vitaliteit van de zwangerschap  B informatie over de lokalisatie van de zwangerschap  C informatie over de aanwezigheid van ovariumcystes 
B
68
Je bent gynaecoloog. Je begeleidt een bevalling bij een 35-jarige vrouw die voor de eerste keer zwanger is. Ze heeft sinds haar achtste levensjaar diabetes mellitus type 1. De bevalling komt spontaan op gang bij 38 weken zwangerschapsduur. Tijdens de uitdrijving is er na een uur persen géén vordering meer en je besluit een vacuümextractie te doen. Nadat het hoofd van de neonaat is geboren, lukt het je niet om de voorste schouder geboren te laten worden. In welke volgorde moeten de volgende handgrepen worden verricht bij het optreden van een schouderdystocie?  Sleep de handgrepen aan de rechterkant in de juiste volgorde naar de linkerkant, waarbij op de eerste plaats de eerst uit te voeren handeling dient komen te staan.
suprapubische impressie  de McRoberts manoeuvre  afhalen van de achterste arm   roteren van de schoudergordel  doorsnijden van de symfyse 
69
Wat zijn de kenmerken van een partiële en een complete mola?
Een complete molazwangerschap is diploïd en bevat alleen paternale chromosomen. Een partiële molazwangerschap is triploïd en bevat zowel maternale als paternale chromosomen.
70
Je bent gynaecoloog-oncoloog. Je voert regelmatig slecht-nieuwsgesprekken. Welke invloed heeft het voeren van slecht-nieuwsgesprekken op artsen? A het frequente voeren van deze gesprekken door artsen zorgt voor een verlaging van hun empathie B de emotionele belasting van deze gesprekken zorgt voor een verhoogd risico op burn-out bij artsen C door de tijd die ze besteden aan de gesprekken worden artsen minder productief D door de confrontatie met een slechte afloop kunnen artsen gaan hypochonderen
B
71
Je bent huisarts in een grote studentenstad in de Randstad. Er komt een studente van 21 jaar op je spreekuur in verband met onderbuikspijnklachten. Ze woont sinds een jaar op kamers. Uit de anamnese kun je niet iets specifieks halen wat in de richting van een diagnose leidt. Als je vraagt wat zij verwacht van dit consult zegt ze: 'Ik weet het niet, ik zit eigenlijk niet zo lekker in mijn vel’, en begint te huilen. Ze vertelt dat ze zich eenzaam en een buitenbeentje voelt en géén aansluiting heeft met mede studenten. Als je doorvraagt blijkt ze vooral te worstelen met haar verliefdheidsgevoelens voor een medestudente. Wat is de eerste hypohese/werkdiagnose, gezien haar sombere stemming, vage buikpijnklachten, haar eenzaamheid en de ontboezeming die ze doet? A burn-out klachten B post-traumatische stress stoornis C sociale angst stoornis D minderheden-stress
D
72
Je bent gynaecoloog. Een 32-jarige vrouw komt met haar nieuwe partner op je spreekuur wegens een onvervulde kinderwens. Ze heeft een normale cyclus van 28 dagen. Zij heeft 8 jaar geleden een appendectomie gehad vanwege een ongecompliceerde appendicitis. Zij heeft géén kinderen. Hij is 46 jaar oud, gezond en heeft één kind uit een voorgaande relatie. Na 11 maanden onbeschermde coïtus in de vruchtbare periode is het nog niet gelukt om zwanger worden. Welke twee onderzoeken zijn in deze casus het meest aangewezen? (2p) A chlamydia antistoftiter (CAT) bij de vrouw B progesteron bepaling bij de vrouw C semenanalyse bij de man D testosteronbepaling bij de vrouw E transvaginale echoscopie bij de vrouw F diagnostische laparoscopie bij de vrouw
B en C
73
Voor wie is het alleen nuttig om folium zuur te nemen?
De moeder: in dieet of suppletie
74
Je bent verloskundige. Op je spreekuur komt een 32-jarige vrouw. Zij had een onregelmatige cyclus en schat tussen 8 en 11 weken zwanger te zijn. Tijdens het echoscopisch onderzoek zie je een verdikking in de navelstreng (gele pijl) bij de buikwand van de foetus, zie afbeelding. Wat is de meest waarschijnlijk oorzaak van deze verdikking? A gastroschisis B hernia umbilicalis C omphalocele
B. tot 12 weken is het een fysiologische hernia umbilicales. Daarna kan er sprake zijn van een omphalocele
75
Cystes bij de navel kunnen ontstaan door verstoorde ontwikkeling van twee embryonale structuren. Welke embryonale structuren zijn dit? (2p) A allantois B septum transversum C cloacale membraan D dooierzaksteel E gangen van Muller F kieuwspleten
A en D
76
Je bent huisarts. Een 31-jarige vrouw bezoekt je spreekuur. Sinds een half jaar heeft zij bloedverlies na de coïtus. Aanvankelijk was het bloedverlies weinig, maar de laatste tijd is dit toegenomen en nu na vrijwel iedere coïtus. Zij heeft een regelmatig cyclus en zij gebruikt géén orale anticonceptiva. Ze heeft géén vaste partner, maar is wel seksueel actief. Wat zijn de drie meest voorkomende oorzaken van post coïtaal bloedverlies bij deze vrouw? (3p) A cervicitis veroorzaakt door chlamydia trachomatis B ectropion C cervicale intra-epitheliale neoplasie D poliep van de baarmoedermond E vaginale slijmvlies laesie F cervix carcinoom
A, B, C
77
Je bent gynaecoloog. Een 54-jarige vrouw met buikklachten bezoekt je spreekuur. Bij echoscopisch onderzoek vind je een multicysteuze tumor links van haar uterus, zie onderstaande afbeelding. Je vermoedt dat er sprake is van een ovariumcarcinoom. In welk stadium wordt een ovariumcarcinoom meestal ontdekt? A FIGO stadium I B FIGO stadium II C FIGO stadium III D FIGO stadium IV E alle stadia even vaak
C
78
Waar ontstaan de verschillende genitale structuren uit bij de man?
79
Je bent gynaecoloog. Een 28-jarige vrouw met een tot nu toe onvervulde kinderwens wordt door de huisarts verwezen voor verder analyse van deze onvervulde kinderwens. Zij heeft een cyclus variërend tussen de 42 en 49 dagen. Op cyclusdag 3 is er sprake van een laag normale FSH spiegel, een normale oestradiol en een normale LH spiegel. De progesteronspiegel op cyclusdag 37 is verlaagd. Je overweegt de diagnose WHO-II/PCOS. Welk aanvullend onderzoek dient ingezet te worden om deze diagnose te ondersteunen? A serum bijnier hormonen B serum prolactine C laparoscopie D chlamydia antistoftiter
B. Oligomenorroe kan ook een gevolg zijn van hyperprolactinaemie dus dit moet je ook meenemen.
80
Waarom is crossing-over essentieel voor een correct verloop van de meiose? Maak de volgende zin af/compleet. crossing-over is essentieel voor... A een correcte chromosoom paring B een correcte chromosoom segregatie C de genetische diversiteit D het intact houden van het genoom
B
81
In Kijken in de ziel, de achterblijvers, wordt Luke van der Have geïnterviewd, wiens dochter Marit op haar 21e overleed door euthanasie in verband met een psychische stoornis. Zij vertelt het volgende over hoe mensen reageerden op de dood van haar dochter: Luke: “Er waren geen mensen die me belden. Eén oom heeft me een prachtige brief geschreven, en daar heb ik sindsdien weer meer contact mee. Verder, er was niets meer. Interviewer: “Dat is wel heel droevig.” Luke: “Ja, je wordt melaats. Je wordt echt melaats.” Interviewer: “Ik zie wel dat het je heel verdrietig maakt.” Luke: “Zeker. Zeker. Ik denk dat ik dat een van de moeilijkste dingen vind, naast het verdriet van Marit, dat je uit de weg gegaan wordt. Ze hebben geen idee.” De manier waarop Marit is overleden kan mogelijk verklaren waarom mensen in de omgeving moeder Luke niet hebben gesteund, en haar zelfs uit de weg zijn gegaan. 1. Hoe wordt de manier waarop haar dochter is overleden wel genoemd, gelet op de situatie waarin iemand zelfmoord pleegt? (1p) 2. Leg uit hoe de manier waarop Marit is overleden mogelijk kan verklaren waarom haar moeder geen steun heeft gekregen vanuit haar omgeving. (2p)
1. Een gestigmatiseerde dood. Studenten mogen hier ook disenfranchised grief (niet erkende rouw) noemen. (1p) 2. De omgeving kan vinden dat je niet ‘het recht hebt’ om te rouwen. Het gaat om euthanasie op jonge leeftijd, vanwege een psychiatrische stoornis. Mogelijk keuren mensen dat af, vinden ze dat haar dochter nog andere behandelingen had moeten proberen, of dat psychisch lijden geen gegronde reden is voor euthanasie. Het zou zelfs kunnen dat mensen vinden dat ze als moeder tekort is geschoten. Daarnaast kan ook sociaal ongemak een rol spelen: wat zijn de ‘sociale regels’ als iemand op deze manier haar dochter verliest? Wat moet je zeggen/doen? Mag het over de euthanasie gaan? Of moet je de manier van overlijden juist vermijden in dit geval? Omdat mensen het ongemakkelijk en ingewikkeld vinden om over te praten, vermijden ze het onderwerp, of gaan ze de nabestaande liever helemaal uit de weg.
82
Je bent huisarts in een middelgrote studentenstad ergens in Nederland. Er komt een 20-jarige vrouw op je spreekuur. Ze heeft een NoordAfrikaanse achtergrond, maar is in Nederland geboren. Ze draagt een hoofddoekje, maar zodra ze in je spreekkamer zit, doet ze die demonstratief af en zie je dat ze kort jongensachtig haar heeft. Ze komt vanwege het verzoek om het plaatsen van een spiraaltje. Ze wil graag een hormoonspiraal zodat ze niet meer menstrueert. De spiraalplaatsing lukt niet omdat ze veel te gespannen is. Het lukt je al niet om het speculum in te brengen. Hierop lijkt ze erg in de stress te raken en ze huilt intens. Het blijkt dat ze veel moeite heeft met haar vagina. Ze is maagd en heeft ook nog nooit tampons ingebracht. Vanuit haar geloofsachtergrond heeft ze de boodschap meegekregen dat ze maagd moet blijven tot ze getrouwd is, maar ze wil helemaal niet trouwen. Ze twijfelt ook of ze wel op mannen valt. Ze is wel eens verliefd geweest op een nichtje van haar. Al zegt ze op dit moment ook wel gevoelens te hebben voor een mannelijke medestudent die een master doet in dezelfde studierichting. Daar is ze van in de war. Ook zegt ze ook haar lichaam heel lelijk te vinden, vooral voor haar borsten schaamt ze zich. Het liefste zou ze die niet willen. Het blijkt dat ze genderdysfore gevoelens heeft. Welke drie kenmerken van deze patiënte maakt dat je extra alert bent op stemmingsproblemen en suïcidaliteit bij haar? (3p)
Religieuze achtergrond, niet-Nederlandse achtergrond, genderdysforie, biseksuele gevoelens (3 kenmerken noemen is voldoende).
83
Je bent huisarts. Een 84 jarige vrouw bezoekt je spreekuur vanwege recidiverend vaginaal bloedverlies. Vanwege een prolaps draagt zij een pessarium, dat zij zelf regelmatig schoonmaakt. Zij heeft driemaal ruim vaginaal bloedverlies gehad. Bij vaginaal toucher worden geen afwijkingen gepalpeerd, wel ziet je een spoortje bloed aan je handschoen. Bij inspectie van de schede worden twee drukplekken in de vaginawanden gezien, passend bij beschadiging door het pessarium. De portio cervicis oogt gaaf. Bij vaginaal toucher lijkt de baarmoeder klein, de adnexa kunnen niet gevoeld worden. Een transvaginale echo, verricht in een eerste lijns diagnostisch centrum laat een normale uterus en ovaria zijn, de endometriumdikte is 3 mm. Welke volgende stappen zijn het meest passend in diagnostiek c.q. behandeling van de klacht? A Cervixcytologie afnemen B Geruststellen en niets doen C Atrofie behandelen (lokaal estrogenen) D Hysteroscopie met curettage
A en C
84
Wat is de behandeling voor de verschillende stadia van het cervixcarcinoom afhankelijk van de kinderwens?
85
Je bent gynaecoloog. Een 54-jarige vrouw komt op je polikliniek vanwege postmenopauzaal bloedverlies. Welke van de onderstaande beweringen is juist? A Bij een endometriumdikte van 3 mm is er een indicatie om histologisch onderzoek te doen van endometriumweefsel. B Het cervixcarcinoom is de meest voorkomende oorzaak van postmenopauzaal bloedverlies. C Vaginale atrofie is geen oorzaak voor postmenopauzaal bloedverlies. D Een ovariumcarcinoom veroorzaakt postmenopauzaal bloedverlies. E De incidentie van postmenopauzaal bloedverlies is op 60 jarige leeftijd lager dan die op 80 jarige leeftijd.
D
86
Een baby wordt geboren zonder milt, en het vermoeden bestaat dat de baby een situs afwijking heeft (isomerisme). Welke van de onderstaande afwijkingen passen nog meer bij een dergelijke situs afwijking. A een afwijkend hart B gestoorde ontwikkeling van de ledematen C neuraal buis defect D omphalocele E gastroschisis F ophoping van mucus in de luchtwegen
A en F
87
Tijdens de periconceptionele periode wordt bijna alle epigenetische informatie verwijderd om het nieuwe leven en de embryonale ontwikkeling in goede banen te leiden. Geïmprinte genen en hun regulerende elementen krijgen een speciale behandeling tijdens dit proces. 1. Leg uit wanneer de imprints op deze specifieke genen worden geplaatst. (1p) 2. Wat gebeurt er met deze imprints ná de bevruchting. (1p) 3. Wat is het gevolg van dit proces ná de bevruchting? (1p)
1. Genomische imprints worden aangebracht op specifieke plekken in het genoom tijdens de oögenese en de spermatogenese. (1p) 2. Na de bevruchting worden deze imprints, in tegenstelling tot veel andere epigenetische informatie, niet verwijderd. (1p) 3. Op deze manier kan later tijdens de embryonale en de postnatale ontwikkeling en het verdere leven de exclusieve paternale of maternale expressie van geïmprinte genen aangestuurd worden. (1p)
88
Je bent huisarts. Je legt een huisvisite af bij een 37-jarige kraamvrouw. Zij is vier dagen geleden thuis bevallen. De kraamverzorgster geeft aan dat mevr. niet lekker is. Zij heeft pijn onderin haar buik en afscheiding. Verder ervaart ze veel naweeën. Bij lichamelijk onderzoek is haar onderbuik iets pijnlijk. Haar temperatuur is 38.7 graden, de vitale controles (bloeddruk, pols, ademhalingsfrequentie) zijn niet afwijkend. De afscheiding is bloederig, maar niet anders dan je zou verwachten van een kraamvrouw op dag 4. Zij geeft aan dat er niemand in haar omgeving ziek is, ook haar baby niet. Wat is het waarschijnlijke ziektebeeld dat nu speelt? A Mastitis B Endometritis C Naweeën D Virale infectie
B - Buik: endometritis, cystitis/pyelonefritis - Benen: trombose, flebitis - Borsten: mastitis, pneumonie, stuwing
89
Humane embryonale stamcellen komen qua eigenschappen het meest overeen met: A een zygote B een embryoblast C de cellen van de trofoblast D de cellen van de inner cell mass
D, embryonale stamcellen zijn pluri en niet totipotent
90
Voor de pre- en postnatale genetische diagnostiek zijn de laatste jaren steeds meer nieuwe diagnostische onderzoeken ter beschikking gekomen. Rond 2015 is de karyotypering binnen de prenatale (genetische) diagnostiek grotendeels vervangen door een SNP array. Geef twee verschillen aan tussen karyotypering en SNP-array. (2p)
1. Karyotypering heeft gekweekte levende cellen nodig voor het verkrijgen van DNA en SNP-array is gebaseerd op DNA-onderzoek dat je direct uit het afgenomen materiaal kunt isoleren; het kweken van cellen duurt veel langer dan direct DNA isoleren. 2. Karyotypering is een visueel microscopisch onderzoek en SNP-array is een moleculair genetisch onderzoek (de resultaten worden uiteindelijk wel visueel digitaal weergegeven) 3. SNP-array is een kwantitatief onderzoek. Te veel of te weinig chromosoommateriaal kan gezien worden, maar een gebalanceerde translocatie niet. Karyotypering kan wel gebalanceerde translocaties opsporen. 4. SNP-array is een kwantitatief onderzoek. De positie in een chromosoom van te veel of te weinig chromosoommateriaal kan niet gezien worden. (voorbeeld: losse trisomie 21 vs. een Robertsoniaanse translocatie)? 5. Het oplossende vermogen van de SNP-array is veel groter dan van karyotypering. Bepaalde microdeleties of micro-duplicaties kunnen met karyotypering niet gezien worden. (het woord microdeletie betekent dat de deletie ‘submicroscopisch’ is, m.a.w. kleiner dan met de microscoop gezien kan worden)
91
Een molazwangerschap is zeldzaam en je duikt de boeken in om je kennis over de complete en niet-complete molazwangerschap op te frissen. Welk van onderstaande uitspraken is correct? 1. Een complete molazwangerschap is altijd triploïd en bevat zowel maternaal als paternaal DNA. 2. Een partiele mola zwangerschap leidt minder vaak tot een persisterende trofoblastziekte dan een complete mola zwangerschap. A alleen 1 B alleen 2 C 1 en 2 D geen
B
92
Je bent huisarts. Een 35-jarige vrouw bezoekt je spreekuur. Zij beviel drie maanden geleden van haar derde kind en geeft aan dat zij betrouwbare anticonceptie wenst. Haar laatste zwangerschap was niet gepland en zij werd zwanger tijdens het gebruik van de pil, die ze wel eens vergat in te nemen. Zij overweegt om een spiraal te nemen, maar twijfelt tussen een hormoonspiraal en een koperspiraal. Hieronder zie je twee beweringen over de anticonceptieve werking van deze twee soorten spiralen: 1. De anticonceptieve werking van het koperhoudend spiraal berust voornamelijk op het verhinderen van de innesteling van een embryo. 2. De anticonceptieve werking van het hormoonspiraal berust onder andere op een versterkend effect van de barrièrefunctie van het cervixslijm. Welke bewering is, of welke zijn juist? A alleen 1 B alleen 2 C 1 en 2 D geen
C
93
Je bent neuroloog. Een 50-jarige, HIV positieve man bezoekt je spreekuur vanwege een vermindering van de fijne tastzin. Bij diverse neurologische testen vind je duidelijke afwijkingen in zowel de propriocepsis, vibratiezin en fijne tastzin. Je denkt aan tabes dorsalis, een MRI bevestigt dit (zie afbeelding). Tabes dorsalis kan een gevolg zijn van een lues infectie. Serologisch onderzoek bevestigt een lues infectie. Wanneer heeft de primaire lues infectie plaatsgevonden? A 1 tot 6 maanden geleden B 6 tot 12 maanden geleden C 1 tot 15 jaar geleden D langer dan 15 jaar geleden
C en D
94
De menopauze heeft invloed op het seksueel functioneren van een vrouw. Vaak wordt aangegeven dat deze invloed negatief is (minder zin, lubricatieproblemen, dyspareunie), maar de invloed kan ook positief zijn. Noem de drie verschillende patronen in hormonale veranderingen die vóór kunnen komen ná de menopauze en wat hun specifieke invloed op het seksuele functioneren is.
1. door verlaging androgenen met als gevolg minder zin in seks (1p) 2. door verlaging oestrogenen treedt ook een verlaging van SHBG op -> verhoging bio-available androgenen -> meer zin in seks (1p) 3. door verlaging oestrogenen -> overgangsklachten (b.v. opvliegers) -> minder zin in seks (1p)
95
Je bent huisarts. Een 61-jarige man bezoekt je spreekuur vanwege het feit dat hij niet meer kan klaarkomen. Hij heeft een fijne relatie met een 12 jaar jongere vrouw. Er is een normaal seksueel verlangen. Hij heeft zich recent ingeschreven in je praktijk en je hebt geen medische overdracht gekregen van zijn eerdere huisarts. Ejaculatiestoornissen kunnen een bijwerking zijn van medicijnen. Noem drie soorten medicijnen die ejaculatiestoornissen als bijwerking kennen. (2p)
1. Gosereline (GnRH-agonist) 2. Alpha-blokkers (Alfuzosine, Tamsulosine). 3.Selective Serotonine Re-uptake Inhibitor (SSRI)
96
Elisabeth Kübler-Ross werd geboren in 1926 als oudste van een drieling. Haar lichte gewicht bij de geboorte heeft ze altijd aangezien als een teken dat ze in het leven strijden moest. Zij hield zich als arts veel bezig met begeleiding van stervenden. Op grond van haar ervaringen beschreef zij dat er vijf stadia van rouwverwerking zijn, die verlopen in een vaste volgorde: ontkenning, woede, onderhandelen, neerslachtigheid en uiteindelijk aanvaarding (1969). Wat heeft onderzoek van Maciejewski en collega's (2007) aangetoond met betrekking tot de validiteit van het rouwfasemodel van Kübler-Ross? A Het rouwfasemodel werd volledig ondersteund: via ontkenning, woede, depressie en onderhandelen, bereiken mensen uiteindelijk acceptatie. B Het rouwfasemodel werd deels ondersteund: verschillende stadia leiden uiteindelijk tot acceptatie, al kan de volgorde van die eerdere stadia variëren. C Het rouwfasemodel werd deels ondersteund: het eerste stadium is niet ontkenning maar verlangen naar de overledene. Daarna leiden de overige stadia uiteindelijk tot acceptatie. D Het rouwfasemodel werd ontkracht: acceptatie was meteen al hoog, en acceptatie is sec. niet de uitkomst van het doorlopen van de eerdere stadia.
D
97
Je bent huisarts. Een 24-jarige vrouw bezoekt je spreekuur. Zij heeft allerlei klachten rondom de menstruatie. Zij heeft deelgenomen aan diverse fora op internet en denkt dat er sprake is van een hormonale disbalans. Jij denkt dat haar klachten mogelijk passen bij het pre menstrueel syndroom (PMS): Lees onderstaande beweringen over het Pre-menstrueel Syndroom (PMS): 1. Vrouwen die een amenorroe hebben bij een Levonorgestrel-houdend IUD hebben per definitie geen PMS. 2. Een bewezen effectieve behandeling van PMS is het volgen van stringent, lactosevrij dieet, aangevuld met vitamines B en E. Welk van onderstaande antwoordmogelijkheden over deze twee beweringen is juist? A alleen 1 B alleen 2 C 1 en 2 D geen
D
98
Van steeds meer vormen van kanker wordt duidelijk dat genetische afwijkingen de oorzaak kunnen zijn. Bij veel vormen van kanker kan de genetische afwijking daadwerkelijk aangetoond worden. Het identificeren van een genetische oorzaak van een vorm van kanker kan invloed hebben op de behandeling van de aangedane patiënt, maar kan ook consequenties hebben voor de familieleden. Denk hierbij aan het bieden van een mogelijkheid van preventief onderzoek of een preventieve behandeling indien de persoon drager is van genetische afwijking, die een verhoogde kans op kanker geeft. Je bent gynaecoloog-oncoloog in een academisch ziekenhuis en gespecialiseerd in de behandeling van patiënten met een ovariumcarcinoom. Een 52-jarige vrouw bezoekt je spreekuur vanwege de nacontrole na een debulking. Er is sprake van een epitheliaal ovariumcarcinoom. Bij welke vrouwen met een epitheliaal ovariumcarcinoom is genetisch onderzoek geïndiceerd? A alleen bij vrouwen met een sereus type ovariumcarcinoom B alleen bij vrouwen met een belaste familieanamnese t.a.v. mamma-/ovariumcarcinoom C alleen bij vrouwen die ten tijde van de diagnose jonger dan 50 jaar zijn D bij alle vrouwen met een vorm van een epitheliaal ovariumcarcinoom
D. 10-15% van alle ovariumcarcinomen is geassocieerd met genetische afwijkingen
99
Je bent gynaecoloog-oncoloog in een academisch ziekenhuis. Een 67-jarige vrouw bezoekt je spreekuur vanwege al enige weken bestaand vaginaal bloedverlies en hematurie. Na uitgebreid onderzoek stel je een cervixcarcinoom vast, FIGO stadium IVa: de tumor is doorgegroeid naar de blaas. Er zijn geen metastasen op afstand aangetoond. Radiotherapie is de aangewezen methode van behandeling van dit vergevorderde stadium van een cervixcarcinoom. Radiotherapie is bij deze casus in principe een curatieve behandeling. Mevrouw vraagt je wat de late termijn bijwerkingen van bestraling van het kleine bekken zijn. Noem drie organen die gevoelig zijn voor late termijn bijwerkingen van radiotherapie in het kleine bekken en geef aan van welke bewerkingen er dan sprake is. (3p)
Schade van de darm: radiatie enteritis, diarree, bloedverlies, fistels (1p) Schade van de blaas: radiatie cystitis, fistels (1p)- Schade van het vagina-epitheel; korter en stugger wordende vagina, dyspareunie (1p)
100
Een 31-jarige zwangere vrouw wordt verwezen naar de polikliniek prenatale diagnostiek voor geavanceerd ultrageluidsonderzoek vanwege een ‘vochtophoping rondom de foetus’. De zwangerschapsduur is 30 weken. Deze bevinding werd opgemerkt tijdens een groeiecho vanwege een positieve discongruentie. Zij heeft prenatale screening laten uitvoeren (de NIPT en het eerste - en tweede trimester SEO), bij al deze onderzoeken zijn geen afwijkingen gevonden. Mevr. is werkzaam op een kinderopvang. Daar is een aantal weken geleden de vijfde ziekte (parvo B19 infectie) geconstateerd bij verschillende kinderen. Bij geavanceerd ultrageluidsonderzoek type 2 (GUO2) wordt een foetus gezien met ascites, een hydrothorax en fors huidoedeem. Deze trias noemen we een hydrops foetalis. Er is ook sprake van een verhoogde bloedstroomsnelheid in de foetale a. cerebri media, deze bevinding past bij een foetale anemie. Daarnaast is er sprake van een polyhydramnion. Het foetale hartritme is normaal. 1. Noem twee mogelijke oorzaken van de hydrops foetalis. (2p) 2. Noem twee diagnostische onderzoeken die je gaan helpen bij het stellen van de oorzakelijke diagnose. (2p)
1. Genetische aandoeningen (voorbeelden zijn ook goed, te denken valt aan turnersyndroom, del/dup syndromen of een recessieve aandoening) (1p) Foetale infectie (b.v. parvo B19, CMV, toxoplasmose) (1p) Bloedgroepanatagonisme (bv. RhD antagonisme, Kell antagonisme). (1p) (Maximaal 2 punten totaal) 2. Amniocentese voor genetisch onderzoek. (1p) Infectieserologie bij de moeder voor seroconversie, indien er seroconversie is opgetreden, dient vruchtwater nagekeken worden m.b.v. een PCR gericht op het genoom van de infectie waarvoor een seroconversie is gevonden (1p) (direct PCR naar infectieziekten in vruchtwater kan ook goed gerekend worden) . Antistofbepaling bij moeder gericht op bloedgroepantagonisme (1p) (Maximaal 2 punten totaal
101
het Softenon drama in de jaren vijftig van de vorige eeuw. Je zou geneesmiddelen kunnen testen op teratogeniciteit door gebruik te maken van proefdieren. Waarom is van slechts weinig geneesmiddelen bekend of ze teratogeen zijn? A zwangeren gebruiken maar weinig geneesmiddelen: zulk onderzoek is commercieel niet interessant B de meeste geneesmiddelen dringen niet door in de placenta C onderzoek hiernaar wordt bemoeilijkt door de zeldzaamheid van aangeboren afwijkingen D teratogeniteit-onderzoek bij proefdieren heeft geen enkele betekenis voor de mens
C
102
Je bent huisarts. Op je spreekuur zie je een 28 jarige kraamvrouw die drie weken geleden bevallen is met behulp van een vacuüm-extractie. Je kent deze patiënte al sinds zij in je praktijk kwam tijdens haar studententijd. Er zijn nooit problemen geweest op fysiek of mentaal vlak en je had al eerder van haar vernomen dat ze in verwachting was. Mevr. vertelt je dat ze niet zo lekker in haar vel zit. De gebroken nachten vallen haar zwaar, haar kind heeft veel darmkrampen en ze heeft het idee dat ze alle energie aan het verliezen is. Ze vraag om slaapmedicatie. Mevr. is matig verzorgd en ziet er somber en moe uit: zo ken je haar niet. Je denkt aan een postnatale depressie. Wat is de prevalentie van een postnatale depressie bij vrouwen zonder een psychiatrische aandoening in de voorgeschiedenis? A 0-5% B 5-10% C 10-15% D 15-20%
C
103
Wat zijn de effecten van een monopreparaat progesteron?
atrofie endometrium, dikker cervixslijm, anovulatie
104
Welke diagnostiek syfilis?
Screening: TPPA/TTSA Bevestiging: immunoblot/ELISA/FTA-Abs Controle therapie/activiteitsmeting: RPR/VRDL meting
105
Je cliënte wordt verwezen voor een GUO (geavanceerd ultrageluidsonderzoek) naar een centrum voor prenatale diagnostiek. Het AVSD wordt bevestigd en er zijn geen andere structurele foetale afwijkingen te visualiseren. Een vruchtwaterpunctie wordt voorgesteld voor genetisch onderzoek (array onderzoek en WES onderzoek). Zij geeft aan de meerwaarde van een vruchtwaterpunctie niet in te zien, omdat de NIPT uitslag niet afwijkend was. Welke beweringen over de NIPT en de array zijn juist? A Een array kan méér chromosoomafwijkingen aantonen dan een NIPT. B Een NIPT sluit geslachtschromosomale afwijkingen uit. C Een array geeft zekerheid over de aandoeningen die getest worden met de array. D Een array sluit taaislijmziekte uit. E Een NIPT sluit het genoemde 22q11 microdeletie syndroom uit.
A, C. Een array sluit CF niet uit aangezien het geen puntmutaties vastlegd.
106
Je bent huisarts. Een 19 jarige vrouw bezoekt je spreekuur vanwege een zwangerschap. Het is haar eerste zwangerschap. Het is een ongeplande, maar gewenste zwangerschap van een jongen die ze ontmoette tijdens een date. Er is geen relatie met deze jongen en ze willen elkaar ook niet meer zien. Ze kwam er al snel achter dat ze zwanger was toen haar menstruatie uitbleef. Ze is gezond en heeft een licht verstandelijke beperking (IQ < 70). Ze heeft een ambulante begeleider. Haar ouders hebben haar op straat gezet toen ze vernamen van de zwangerschap. Zij slaapt nu tijdelijk op de bank bij een vriendin in Rotterdam. Sociale factoren hebben een belangrijke invloed op hoe mensen hun eigen gezondheid ervaren. Verschillende factoren hebben een verschillende mate van impact. Geef aan welke mate van impact de volgende sociale factoren hebben op door mensen zelf ervaren gezondheid: begin met de factor met de minste impact en eindig met de factor met de meeste impact. 1 2 3 4 5
werksituatie goede, betaalbare en begrijpelijke zorg sociaal netwerk, kennis en vaardigheden leefomstandigheden bestaanszekerheid
107
108
Mevrouw heeft medisch gezien een ongecompliceerde zwangerschap en bevalling en met begeleiding van VoorZorg heeft mevr. een eigen woonruimte. Je ziet haar een half jaar later opnieuw op je spreekuur. Ze geeft aan opnieuw zwanger te zijn, maar niet in staat te zijn haar zwangerschap te behouden. De zorg voor haar baby valt haar zwaar in haar eentje en ze wordt inmiddels behandeld voor een depressie. Ze geeft aan geen geld te hebben voor anticonceptie. Het is bekend dat een kind van een depressieve ouder een verhoogde kans loopt zelf een depressie te ontwikkelen. Wat is de kans dat een kind van een depressieve ouders gedurende de kindertijd (voor het 18e levensjaar) zelf een depressie ontwikkelt? A 10% B 20% C 30% D 40%
D
109
Mevrouw ligt veel op bed na haar zware bevalling. Zij bemerkt in de derde dag van haar kraambed dat haar linker onderbeen dik en gezwollen is. Er wordt een duplex echo gemaakt en er is sprake van een diep veneuze trombose (DVT). Wat zijn bij deze mevrouw de (wetenschappelijk bewezen) risicofactoren voor een diep-veneuze trombose? A Hoge leeftijd van de moeder B Primipariteit C Immobiliteit D diabetes gravidarum E overgewicht
A, C, E
110
Je bent gynaecoloog-perinatoloog in een derdelijns ziekenhuis. Je spreekt een 31-jarige zwangere vrouw, G2P1, nu 21 weken zwanger. Je bespreekt een GUO2 uitslag, waarbij aan beide zijden een klompvoet werd vastgesteld bij haar ongeboren kind. De foetale beweeglijkheid is normaal, evenals de hoeveelheid vruchtwater. De NIPT en het ETSEO (de 13 w. echo) waren niet afwijkend, met name de stand van de voeten was niet afwijkend. Je biedt een vruchtwaterpunctie aan, maar zij ziet hiervan af. De algemene medische voorgeschiedenis van mevrouw wordt gekenmerkt door een sinds enkele jaren bestaande vermoeidheid, die geweten wordt aan het longcovidsyndroom. Haar eerste zwangerschap eindigde met een geplande keizersnede vanwege een dwarsligging in een tweedelijns ziekenhuis, waarna een ernstige fluxus postpartum optrad (3 liter), die medicamenteus werd behandeld. Bij 30 weken zwangerschapsduur wordt een nieuwe GUO2 verricht, omdat er een polyhydramnion werd vastgesteld bij een routine echoscopisch onderzoek. Het polyhydramnion werd bevestigd. Een OGTT was niet afwijkend. De maagvulling is verminderd. Daarnaast was er sprake van een bewegingsarmoede en is er, naast de klompvoeten, een dwangstand van de ledematen. Patiënte wenst wederom geen invasieve prenatale diagnostiek. De oorzaak van een polyhydramnion kent een brede differentiaal diagnose. Welk van onderstaande oorzaken van een polyhydramnion is niet waarschijnlijk in deze casus? Let op! Meerdere antwoorden kunnen juist zijn. A foetale slikstoornis B diabetes gravidarum C oesophagusatresie D placentaire insufficiëntie
B en D. Placentaire insufficiëntie past hier niet bij aangezien je daarbij een oligohydramnion verwacht en geen polyhydramnion.
111
Je bent gynaecoloog-perinatoloog in een derdelijns ziekenhuis. Je spreekt een 31-jarige zwangere vrouw, G2P1, nu 21 weken zwanger. Je bespreekt een GUO2 uitslag, waarbij aan beide zijden een klompvoet werd vastgesteld bij haar ongeboren kind. De foetale beweeglijkheid is normaal, evenals de hoeveelheid vruchtwater. De NIPT en het ETSEO (de 13 w. echo) waren niet afwijkend, met name de stand van de voeten was niet afwijkend. Je biedt een vruchtwaterpunctie aan, maar zij ziet hiervan af. De algemene medische voorgeschiedenis van mevrouw wordt gekenmerkt door een sinds enkele jaren bestaande vermoeidheid, die geweten wordt aan het longcovidsyndroom. Haar eerste zwangerschap eindigde met een geplande keizersnede vanwege een dwarsligging in een tweedelijns ziekenhuis, waarna een ernstige fluxus postpartum optrad (3 liter), die medicamenteus werd behandeld. Wat is je eerste interventie om de baring van deze mevrouw te voorspoedigen? (4p) Leg uit waarom je deze interventie zou willen doen.
Beoordelingsvoorschrift Criterium 1 (Aantal punten: 4) Antwoordmodel: 1. Amniocentese (2p). 2. Aflopen van vruchtwater zorgt voor stimulatie van de weeënactiviteit (2p).
112
Je bent verloskundige. Een 36-jarige zwangere vrouw bezoekt je spreekuur voor de intake van haar zwangerschap. Zij is ongepland zwanger in een nog kortstondige relatie. Ze weet nog niet of ze de zwangerschap wil behouden. Zij gebruikt sinds twee jaar Sertraline, een SSRI, vanwege een ernstige depressie. Zij is twee jaar onder controle van een psychiater, maar heeft het laatste jaar geen afspraak meer gemaakt: ze heeft geen depressieve klachten meer, nu ze de medicatie gebruikt. Zij is ongeveer 8 weken zwanger. Ze is bezig met het stoppen met roken. Hoeveel procent van de zwangere vrouwen heeft een psychiatrische aandoening (tijdens de zwangerschap en/of in het kraambed)? A 5% B 10% C 15% D 20%
D
113
Je bent verloskundige. Een 36-jarige zwangere vrouw bezoekt je spreekuur voor de intake van haar zwangerschap. Zij is ongepland zwanger in een nog kortstondige relatie. Ze weet nog niet of ze de zwangerschap wil behouden. Zij gebruikt sinds twee jaar Sertraline, een SSRI, vanwege een ernstige depressie. Zij is twee jaar onder controle van een psychiater, maar heeft het laatste jaar geen afspraak meer gemaakt: ze heeft geen depressieve klachten meer, nu ze de medicatie gebruikt. Zij is ongeveer 8 weken zwanger. Ze is bezig met het stoppen met roken. Mevrouw geeft aan dat zij niet gelukkig is met het feit dat zij tijdens het gebruik van Sertaline zwanger is geworden, nu zij weet dat Sertraline mogelijk niet zonder risico’s is voor haar ongeboren kind. Zij realiseert zich überhaupt dat zij maar weinig weet over zwangerschappen en de invloed van omgevingsfactoren op zwangerschappen. Noem vier acties die voor deze mevrouw pre-conceptioneel belangrijk zouden zijn geweest? (4p) Gebruik in je antwoord maximaal 100 woorden.
Beoordelingsvoorschrift Criterium 1 (Aantal punten: 4) 1. Pre-conceptioneel consult bij haar psychiater / Sertraline onder begeleiding proberen af te bouwen. 2. Stoppen met roken / leefstijlaanpassingen. 3. www.zwangerwijzer.nl raadplegen. 4. Foliumzuur starten
114
Je bent verloskundige. Een 36-jarige zwangere vrouw bezoekt je spreekuur voor de intake van haar zwangerschap. Zij is ongepland zwanger in een nog kortstondige relatie. Ze weet nog niet of ze de zwangerschap wil behouden. Zij gebruikt sinds twee jaar Sertraline, een SSRI, vanwege een ernstige depressie. Zij is twee jaar onder controle van een psychiater, maar heeft het laatste jaar geen afspraak meer gemaakt: ze heeft geen depressieve klachten meer, nu ze de medicatie gebruikt. Zij is ongeveer 8 weken zwanger. Ze is bezig met het stoppen met roken. De zwangerschap verloopt goed en wordt door de verloskundige gecontroleerd. Bij 38 weken zwangerschapsduur zie je haar op jouw spreekuur terug. Het gaat redelijk goed met haar. Er zijn geen depressieve klachten en mevrouw bemerkt weinig stress. Haar relatie is verbroken en haar partner is niet meer in beeld. Mevrouw vraagt om een inleiding van de baring, omdat haar moeder dan bij de bevalling aanwezig kan zijn. Je verwijst haar naar een tweedelijns ziekenhuis voor verdere begeleiding. Zij wordt ingeleid bij 39 weken zwangerschapsduur, heeft een ongecompliceerd ontsluitingsbeloop en bevalt met behulp van een vacuüm-extractie van een gezonde zoon. Mevrouw vond het een zware bevalling, maar is dankbaar voor de begeleiding en de professionele zorg die haar geboden is. De eerstelijns verloskundige verzorgt de medisch controles van het kraambed thuis. Op de zevende dag van het kraambed vertelt de kraamverzorgster dat zij zich zorgen maakt over mevrouw. Mevrouw slaapt slecht en is opvallend wantrouwend. Zij weigert haar kind over te geven aan de kraamverzorgende, omdat zij denkt dat de kraamverzorgende het kind dood wil maken. Zij maakt een incoherente indruk en het is moeilijk om contact met haar te maken. 1. Van welke psychiatrische aandoening lijkt er sprake bij deze mevrouw? (2p) Gebruik maximaal 5 woorden. 2. Geef drie argumenten waarom je denkt dat deze kraamvrouw deze aandoening heeft? (3p) Gebruik maximaal 40 woorden.
Beoordelingsvoorschrift Criterium 1 (Aantal punten: 5) 1. Postpartum psychose. 2. Achterdocht/wantrouwen, waanbeelden, denken dat de kraamverzorgende haar kind wil doden, slecht slapen, incoherent gedrag.
115
Je bent huisarts. Een 44-jarige vrouw bezoekt je spreekuur vanwege ongewenst urineverlies. Zij heeft een Mirena spiraal sinds twee jaar. In het eerste jaar had zij nog geringe maandelijkse menstruaties, maar sinds één jaar menstrueert zij niet meer. Zij geeft aan dat ze veel last heeft van opvliegers. Zij heeft twee kinderen, haar bevallingen waren zonder complicaties verlopen. Sinds twee jaar heeft zij een nieuwe partner. Er is geen kinderwens meer. Mevrouw geeft aan dat zij bij aandrang scheutjes urine verliest en het haar vaak niet lukt om op tijd het toilet te halen als zij aandrang heeft. Je laat haar een mictiedagboek invullen voor twee achtereenvolgende dagen. Welke informatie elementen kunnen uit een mictiedagboek gehaald worden? A maximale blaasinhoud B de mictiefrequentie in de nacht (nycturie) C de totale urine productie per 24 uur D het minimale urine verlies E de totale mictiefrequentie per 24 uur
A, B, C, E
116
Noem twee behandelingsopties voor urge-incontinentie en leg uit wat het werkingsmechanisme is van ieder van deze twee behandelingsopties. (4p) Gebruik in je antwoord maximaal 100 woorden.
1. Bekkenbodemspieroefeningen (1p). Werkingsmechanisme: educatie over de bekkenbodem, toilethouding, oefeningen voor betere controle over de spieren maar ook relaxatie (1p) 2. Anticholinergica (1p). Werkingsmechanisme: blokkeren van de muscarine- en anticholinereceptoren en daardoor relaxatie van de musculus detrusor (1p)
117
Een 35-jarige vrouw en haar mannelijke partner hebben sinds zeven maanden een onvervulde kinderwens. Na een bedrijfsfeestje, waar de alcohol ruim vloeide, heeft zij onvrijwillige seks gehad met een andere man. Een paar uur voorafgaand aan dit contact heeft de vrouw nog gemeenschap gehad met haar eigen partner. Zij besluit aangifte te doen bij de politie. Er wordt na dit contact materiaal afgenomen uit haar schede ten behoeve van het forensisch onderzoek. 1. Welke type genetisch forensisch onderzoek wordt op dit materiaal uitgevoerd? (2p) 2. Hoe wordt de nauwkeurigheid van dit onderzoek bevorderd? (2p) 3. Welke ander materiaal is noodzakelijk? (1p) 4. Wat is er nodig voor het identificeren van de dader? (1p)
Beoordelingsvoorschrift Criterium 1 (Aantal punten: 6) 1. Short-tandem-repeat (STR) analyse (2p) 2. Het gebruik van veel verschillende STRs (15 of meer) (2p) 3. DNA van de vrouw, haar man en indien beschikbaar van een potentiële dader (1p) 4. Zijn DNA (wat een vingerwijzing kan zijn richting de dader, is het DNA van een nauwe bloedverwant van hem = 1p) 1p