Acides Aminés Flashcards

mémoriser les 20 acides aminés (29 cards)

1
Q

Nom de la classe

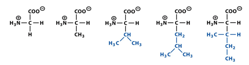
A

Aliphatique

How well did you know this?
1
Not at all
2
3
4
5
Perfectly
2
Q

Nom 3 et 1 code

A

Glycine (Gly) (G)

How well did you know this?
1
Not at all
2
3
4
5
Perfectly
3
Q

Nom 3 et 1 code

A

Proline (Pro) (P)

How well did you know this?
1
Not at all
2
3
4
5
Perfectly
4
Q

Nom 3 et 1 code

A

Alanine (ala) (A)

How well did you know this?
1
Not at all
2
3
4
5
Perfectly
5
Q

Nom 3 et 1 code

A

Valine (Val) (V)

How well did you know this?
1
Not at all
2
3
4
5
Perfectly
6
Q

Nom 3 et 1 code

A

Leucine (Leu) (L)

How well did you know this?
1
Not at all
2
3
4
5
Perfectly
7
Q

Nom 3 et 1 code

A

Phenylalanine (Phe) (F)

How well did you know this?
1
Not at all
2
3
4
5
Perfectly
8
Q

Nom 3 et 1 code

A

isoleucine (ILe) (I)

How well did you know this?
1
Not at all
2
3
4
5
Perfectly
9
Q

Lequel de ces acides aminés possède une chaine latérale pouvant former des liens covalents de type pont disulfure

A

C’est le groupement sulfhydryle (-SH) de la cystĂ©ine qui lui permet de former des liens de type pont disulfure.

How well did you know this?
1
Not at all
2
3
4
5
Perfectly
10
Q

Nom 3 et 1 code

A

Tyrosine (Tyr) (Y)

How well did you know this?
1
Not at all
2
3
4
5
Perfectly
11
Q

Nom 3 et 1 code

A

Tryptophane (Trp) (W)

How well did you know this?
1
Not at all
2
3
4
5
Perfectly
12
Q

Nom 3 et 1 code

A

Cystéine (Cys) (C)

How well did you know this?
1
Not at all
2
3
4
5
Perfectly
13
Q

Nom 3 et 1 code

A

Méthionine (Met) (M)

How well did you know this?
1
Not at all
2
3
4
5
Perfectly
14
Q

Nom 3 et 1 code

A

Serine (S) (Ser)

How well did you know this?
1
Not at all
2
3
4
5
Perfectly
15
Q

Nom 3 et 1 code

A

Threonine (Thr) (T)

How well did you know this?
1
Not at all
2
3
4
5
Perfectly
16
Q

Nom 3 et 1 code

A

Histidine (H) (His)

17
Q

Nom 3 et 1 code

A

Lysine (K) (Lys)

18
Q

Nom 3 et 1 code

A

Arginine (R) (Arg)

19
Q

Nom 3 et 1 code

A

Aspartate (Asp) (D)

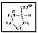
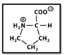
20
Q

Nom de la classe

A

Fonction a-imminoacide

21
Q

Nom 3 et 1 code

A

Glutamate (E) (Glu)

22
Q

Nom 3 et 1 code

A

Asparagine (Asn) (N)

23
Q

Nom de la classe + caractérisques

A

Composés aromatiques : tyrosine, tryptophane, phenylalanine

24
Q

Nom de la classe (2) + pk pas tyrosine

A

Hydroxylée : serine, thréonine

Pas tyrosine pcq OH pas sur carbone bĂŞta

24
Nom de la classe
Souffrée : Méthionine, cystéine
25
Nom de la classe
2eme fnct basique : lysine, histidine, Arginine
26
Nom de la classe
2eme fnct acide et leur derivées amine
27
Nom 3 code + 1 code
Glutamine (Q) (Gln)
28
armi les acides aminés suivants, lesquels peuvent être liés ensemble par des ponts salins? et pk A. Lys, Arg B. Glu, Asp C. Lys, Asp D. Thr, Glu E. Tyr, Ser
Des ponts salins peuvent se former entre deux acides aminés de charges opposées. La lysine (chargé +) et l'aspartate (chargé -) peuvent ainsi former des ponts salins.