Action Potential Flashcards

(66 cards)

1
Q

Action potential components

A

)
* Overshoot (> 0 mV)
* Rising phase
* Threshold (all-or-none)
* Falling phase
Undershoot (below RMP)

How well did you know this?
1
Not at all
2
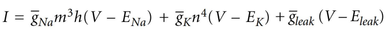
3
4
5
Perfectly
2
Q

An action potential is the result of

A

selective (voltage- and time-dependent) increases in the membrane’s permeability to Na+ and K+

How well did you know this?
1
Not at all
2
3
4
5
Perfectly
3
Q

Alan Hodgkin realized that to understand ion flux across the membrane…

A

it was necessary to eliminate differences in membrane potential.

How well did you know this?
1
Not at all
2
3
4
5
Perfectly
4
Q

In the 1940s Kenneth Cole and George Marmount had developed the
concept of

A

the voltage clamp.

Cole discovered that it was possible to use two electrodes and a feedback circuit to kp the cell’s membrane potential at a level set by the experimenter

How well did you know this?
1
Not at all
2
3
4
5
Perfectly
5
Q

The voltage clamp allows the

A

membrane voltage to be manipulated
independently of the ionic currents, allowing the current-voltage
relationships of membrane channels to be studied.

How well did you know this?
1
Not at all
2
3
4
5
Perfectly
6
Q

Hodgkin and Huxley used the voltage clamp to

A

outline the ionic
mechanisms that underlie the action potential (published 1952).
They received the Nobel Prize in Physiology or Medicine in 1963.

How well did you know this?
1
Not at all
2
3
4
5
Perfectly
7
Q

current flow aqccross the membrane was observed in

A

response to depolarization, but not hyperpolarization.

Effect is voltage dependent

How well did you know this?
1
Not at all
2
3
4
5
Perfectly
8
Q

direction of current flow is
defined as

A

net movement of
positive charge.

How well did you know this?
1
Not at all
2
3
4
5
Perfectly
9
Q

inward current

A

Flow of positive charge into
the cell (or negative charge
out of the cell)

How well did you know this?
1
Not at all
2
3
4
5
Perfectly
10
Q

In voltage-clamp experiments the flow of positive charge into the cell (the inward current) is typically shown as

A

a
downward deflection.

How well did you know this?
1
Not at all
2
3
4
5
Perfectly
11
Q

The reversal- (equilibrium) potential gives clue about the ionic nature of the early inward current:

A

The equilibrium potential is the
potential at which the electrical force offsets the movement of an ion due to its concentration gradient → no
net current flows

How well did you know this?
1
Not at all
2
3
4
5
Perfectly
12
Q

Action potential depolarization/amplitude
depends

A

greatly on Na+ gradient (but the resting potential does not)

How well did you know this?
1
Not at all
2
3
4
5
Perfectly
13
Q

depolarization of the membrane has 2 effects:

A
  • an early influx of Na+
    into the neuron, (produces transient/inactivating inward current)
  • followed by a delayed efflux of K+ (produces non-inactivating outward current)
How well did you know this?
1
Not at all
2
3
4
5
Perfectly
14
Q

The current through each class of voltage-gated channel can be calculated from

A

Ohm’s law

How well did you know this?
1
Not at all
2
3
4
5
Perfectly
15
Q

Calculating conductances of an active channel population

A
How well did you know this?
1
Not at all
2
3
4
5
Perfectly
16
Q

total ionic current as the sum of separate Na+
, K+
, and leak currents:

Hodgkin and Huxley

A

predictions for the probability of channels being open.

m and h (for activation and inactivation of gNa) or n (for activation of gK ) M, n (and h) describe the probability of “particles” to be in the correct position to open (or to inactivate, respectively) a channel.
How well did you know this?
1
Not at all
2
3
4
5
Perfectly
17
Q

Calculation of Membrane Conductances From Voltage-Clamp Data

m

A

activation of gNa

How well did you know this?
1
Not at all
2
3
4
5
Perfectly
18
Q

Calculation of Membrane Conductances From Voltage-Clamp Data

n

A

inactivation of gNa

How well did you know this?
1
Not at all
2
3
4
5
Perfectly
19
Q

Calculation of Membrane Conductances From Voltage-Clamp Data

h

A

activation of gK

How well did you know this?
1
Not at all
2
3
4
5
Perfectly
20
Q

Membrane conductance

A

(g)

How well did you know this?
1
Not at all
2
3
4
5
Perfectly
21
Q

Vm

A

(resting potential)

controlled through the voltage clamp

How well did you know this?
1
Not at all
2
3
4
5
Perfectly
22
Q

I(ion)

A

measured by isolating the current in
ion-substitution experiments (or through
pharmacological blockade)

How well did you know this?
1
Not at all
2
3
4
5
Perfectly
23
Q

(Vm – Eion)

A

the electrochemical driving force

How well did you know this?
1
Not at all
2
3
4
5
Perfectly
24
Q

M, n (and h) describe

A

the probability of “particles” to be in the correct position to open (or to inactivate, respectively)
a channel.

How well did you know this?
1
Not at all
2
3
4
5
Perfectly
25
Ƭ (tau)
time constant of change
26
“delayed rectifier”.
require time to turn on, but K+ much slower, requiring several ms to reach its peak
27
The Na+ channels must inactivate, because
the current goes off even when it is depolarized.
28
The K+ channels...
do not inactivate - if the cell is depolarized, they are open.
29
Refractory period
* gNa+ inactivated * gK+ activated over Rest (→ undershoot)
30
Absolute refractory period
a second AP can not be initiated, under no circumstances
31
Relative refractory period
initiation of a second AP is inhibited but not impossible.
32
Properties of Na+ and K+ channels that underlie the shape of the AP
Show ion selectivity * Both are voltage-gated * Have voltage-sensor → depolarization increases open probability, while hyperpolarization closes them. * Na+ channel has mechanism for inactivation
33
The AP threshold is reached, when
the Na+ conductance (the inward current) outweighs the opposing force of the K+ conductance (outward current).
34
Threshold of Na+ channels
Na+ channels have no threshold. Instead, they open in response to depolarization in a stochastic manner.
35
Depolarization does not
so much open the channel as it increases the probability of it being open.
36
Green Arrow is
the resting potential of the cell. As the K+ channel is virtually the only one open at these negative voltages, the cell will rest very near to the equilibrium potential for potassium Ek .
37
Yellow Arrow is...
the equilibrium potential for Na+ (ENa). In this two-ion system, ENa is the natural limit of membrane potential beyond which a cell cannot pass. Current values illustrated in this graph that exceed ENa are measured by artificially pushing the cell's voltage past its natural limit. However, ENa could only be reached if the opposing potassium current was absent.
38
Blue Arrow is...
the maximum voltage that the peak of the action potential can approach. his is the actual natural maximum membrane potential that this cell can reach. It cannot reach ENa because of the counteracting influence of the potassium current.
39
Red arrow is...
the action potential threshold. This is where I sum becomes net-inward. Note that this is a zero-current crossing, but with a negative slope. Any such "negative slope crossing" of the zero current level in an I/V plot is an unstable point. At any voltage negative to this crossing, the current is outward and so a cell will tend to return to its resting potential. At any voltage positive of this crossing, the current is inward and will tend to depolarize the cell. This depolarization leads to more inward current, thus the sodium current becomes regenerative. The point at which the green line reaches its most negative value is the point where all sodium channels are open. Depolarizations beyond that point thus decrease the sodium current as the driving force decreases as the membrane potential approaches ENa.
40
Identity of information (e.g. sensory input) is
based on wiring
41
Intensity is
based on frequency
42
Calcium-currents during APs
depolarizes the cell (inward current) * Opens Ca++-activated K+ channels (IKCa) . * Inactivates Ca++ channels that are themselves sensitive to levels of intracellular Ca++ and are inactivated when incoming Ca++ binds to their intracellular surface. * Activates a Ca++ -sensitive protein phosphatase, calcineurin, which dephosphorylates (inactivates) voltage gated Ca++ channels
43
Ca++ influx during an action potential can have two opposing effects:
1. The positive charge that Ca++ carries into the cell contributes to the regenerative depolarization, while 2. the increase in cytoplasmic Ca++ results in the opening of more K+ channels and the closing of Ca++ channels, causing repolarization. | Ca++ channels underlie depolarizing “hump”
44
Many neurons have 2 firing modes:
“Regular” firing and burst firing | Hyperpolarization can cause Ca++ channels to recover from inactivation
45
The effect of ion channels on the firing pattern depends on
their dendritic location
46
Blocking Ca++ channels with cadmium
transforms bursts into regular action potentials
47
Injection of current at the dendrites induces
Ca++ potentials at P2 and burst firing at the soma (P1).
48
Current Injection at the soma
only induces regular firing (P1 and P2)
49
Propagation of the action potential is
not unidirectional
50
At low stimulus intensities, AP initiation occurs
in the AIS, followed by propagation back into the dendrites (bAP).
51
At higher stimulus intensities
localized dendritic spikes can precede AP initiation in the axon.
52
Dendritic spikes with relatively narrow widths (<5 ms) are
are usually mediated by Nav channels (“dendritic sodium spikes”). As with all dendritic spikes, dendritic sodium spikes can occur in the absence of axonal action potentials and are therefore distinct from backpropagating APs.
53
A second type of dendritic spike, which is broader (>10 ms) and usually evoked by more prolonged dendritic depolarization, is
mediated primarily by Cav channels (dendritic calcium spikes).
54
A third type of dendritic spike is mediated primarily by
NMDA receptors (NMDA spike). These events can be even longer in duration and tend to be initiated in small-diameter dendritic branches such as basal and tuft dendrites of pyramidal neurons.
55
The electrical properties of the axon initial segment (AIS) determine
the precise timing of the APs in response to fluctuating synaptic inputs
56
The AIS plays an important role in maintaining neuronal polarity by
regulating the trafficking and distribution of proteins that function in somatodendritic or axonal compartments of the neuron.
57
Adaptive changes to the location and length of the AIS can
fine-tune the excitability of neurons and modulate plasticity in response to activity.
58
The dense protein clustering in the AIS serves as a
selective diffusion barrier, maintaining the distinct composition between the somatodendritic and axonal plasma membrane.
59
Potassium channels contribute to
afterhyperpolarizations * slow AHP → unknown
60
fast AHP
BK channels
61
Medium AHP
SK channels Kv7 channels
62
slow AHP
unknown
63
Afterdepolarization
T-type, R-type Ca2+ channels; persistent Na+ channels (INaP)
64
The pattern of action potential firing is modulated by
neurotransmitters
65
Hyperpolarization-activated cation (HCN) channel or Ih
activated by hyperpolarization * closes at positive potentials * gates very slowly blocked by cesium (or ZD 7288) * almost as permeable to Na+ as to K HCN channels pass an inward current Initiates slow depolarization when the membrane has become very negative
66
Ih contributes to
pacemaking (thalamus, heart)