Advanced Optimization Solutions Flashcards

(7 cards)

1
Q

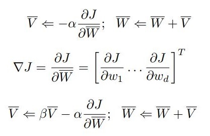
Gradient descent with momentum

A

b is between 0 and 1

How well did you know this?
1
Not at all
2
3
4
5
Perfectly
2
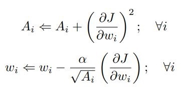
Q

Gradient descent with Adagrad

A
How well did you know this?
1
Not at all
2
3
4
5
Perfectly
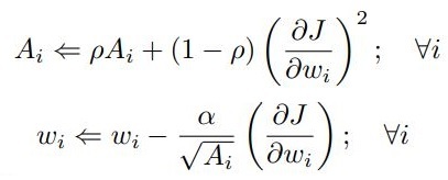
3
Q

Gradient descent with RMSProp

A
How well did you know this?
1
Not at all
2
3
4
5
Perfectly
4
Q

Gradient descent with Adam

A

t is the iteration index

How well did you know this?
1
Not at all
2
3
4
5
Perfectly
5
Q

Hessian of squared loss

A
How well did you know this?
1
Not at all
2
3
4
5
Perfectly
6
Q

Point-Specific Hessian of Squared Loss

A
How well did you know this?
1
Not at all
2
3
4
5
Perfectly
7
Q

Linear, SVM and logistic models with and without line search

A
How well did you know this?
1
Not at all
2
3
4
5
Perfectly