Draw a schematic of the apparatus used in chromatography.

What is the principle basis of chromatography?
The principle basis of chromatography is that the partitioning of the analytes between the mobile and stationary phases gives rise to separation.
Draw a simple sketch of a chromatogram, defining the term tm.
The dead time or void time, tm, is the amount of time that it takes for an analyte that doesn’t interact with the stationary phase to elute (e.g. the amount of time it takes for the mobile phase to elute).

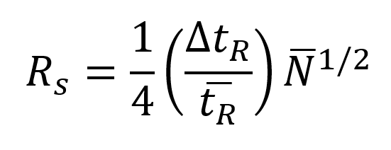
What is the equation for resolution, Rs?
Where tR is the retention time and W is the peak width at the base.

What is the value of Rs for baseline resolution?
For baseline resolution, Rs > 1.5.
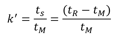
What is the equation for the capacity factor, k’?

What is the capacity factor, k’?
The capacity factor is an experimental parameter used to compare migration rates of solutes in columns (i.e. the amount of time the solute spends in the stationary phase relative to the amount of time the solute spends in the mobile phase). The ideal range is 1-5, but in reality it is 0.5-20. The larger the retention time, the greater the capacity factor.
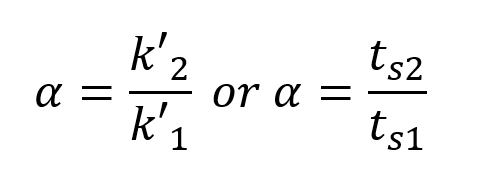
What is the selectivity factor, α?
The selectivity factor is the ratio of the capacity factors of two analytes. For separation to occur, the analytes must have different capacity factors.
What is the equation for the selectivity factor, α?
If analyte 1 is eluted first then k’2 > k’1 and α > 1.

How is the capacity factor, k’, related to the equilibrium constant, K?
Where c is the concentration, n is the amount in moles, and V is the volume. If the column is run slowly enough to be at equilibrium, Cs/Cm is the equilibrium constant, K. Because the ratio of the phase volumes is constant for a given column and mobile phase, the capacity factor for any analyte is directly proportional to its partition equilibrium constant.
How is the equation for the capacity factor, k’, derived from migration velocity?
The migration velocity depends on the distribution of the analyte between the mobile and stationary phases, where UM is the velocity of the mobile species and UR is the velocity of the retained species.
How does the band shape of a chromatographic peak change with time?
The total area under the peak remains the same.
What is the rate theory of chromatography?
It is a random walk in one dimension. There is a symmetrical spread of velocities around a mean value.
What is variance?
Where σ is the standard deviation in length units and τ is the standard deviation in time units (τ = W / 4). 68 % of the peak area is in the range tR ± τ and 95 % is in the range tR ± 2τ.

What is the diffusion coefficient, D, and how is it related to variance?
The diffusion coefficient, D, measures the rate at which a substance moves randomly from a region of high concentration to a region of low concentration. Where σ² is the variance and t is the time.

What causes asymmetric band shapes?
Skewing occurs when the partition equilibrium constant, K, is dependent on the concentration. Fronting occurs from the overloading of too much solvent, and it can be corrected by using smaller or dilute samples. Tailing occurs when small quantities of solute are retained more strongly than large quantities. It can be corrected by masking the strong adsorption sites on the stationary phase.
What is plate height, H?
Plate height is the constant of proportionality between the variance of the band and the distance is has travelled. It can be thought of as approximately the length of column required for one equilibration of the solute between the mobile and stationary phases. It is a measure of variance per unit length (H = σ² / L). It is also known as the “height equivalent to a theoretical plate” - HETP.
What is the equation for plate height, H, and how is it derived?
If a solute has travelled a distance, x, at linear flow rate, Ux, then the time it has been on the column is:
What is the plate model?
The plate model states that the column contains a large number of separate layers (theoretical plates). The analyte moves down the column by the transfer of equilibrates mobile phase from one plate to the next.
What is the equation for efficiency, N?
Efficiency, N, is the theoretical number of plates or the plate count. It is dimensionless and can range from 100-100,000.

What can you use to describe column performance?
Plate height, efficiency, peak asymmetry and the capacity factor can be used to describe column performance.
How is the resolution, Rs, related to the efficiency, N, and the difference in retention time, Δtr?
Therefore, Rs is proportional to the square root of N.

What is the van Deemter equation?
Where A is the contribution from multiple flow paths, B is the contribution from longitudinal diffusion and C is the contribution from mass transfer or equilibrium time. For packed columns, all three terms contribute. For open tubular columns, A is zero. For capillary electrophoresis, A and C are zero.

How can the different terms in the van Deemter equation be reduced?
A is the contribution from multiple flow paths. If an analyte has a short path, it will emerge from the column faster. This effect is reduced by using smaller stationary phase particles. B is the contribution from longitudinal diffusion. The longer an analyte is in the column, the more diffusion will occur and the wider the band width will be. This effect can be reduced by using a faster linear flow. C is the contribution from mass transfer or equilibrium time. There is a finite time for the analyte to equilibrate between the mobile and stationary phases. This effect can be reduced by decreasing the stationary phase thickness or column radius, or increasing the temperature.