Air data
The sensing of the medium through which the aircraft is flying
It is autonomous on based sensing method used to provide data for a range of systems
Critical for the safe operation of an aircraft
Air data measurements
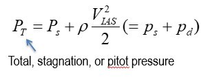
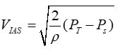
static pressure
total pressure
dynamic pressure(derived)
rate of change in static pressure
temperature
angle of incidence
Sensors
static vent(port)
pitot probe/tube
pitot static probe/tube
Static vent port
measure local static pressure relative to altitude
fitted facing perpendicular to the relative airflow
Pitot probe/tube
measures total pressure
face into the relative airflow
Pitot static probe/tube
Total pressure equation

Indicated airspeed equation

What does an ADC compute?
calibrated airspeed
mach
altitude
What happens when a pitot tube is sealed?
a pressure seal is applied
the total pressure is constant
What happens when a pitot tube is blocked?
It acts as a static port
What happens when a static port is sealed?
the altimeter becomes fixed
VSI becomes zero
ASI is only accurate for the altitude at which the static port became blocked
ALT
barometric altitude relative to static air pressure
a pressure datum is set to measure the change in altitude
VS
vertical speed
accurate indication of the rate of climb or descent
feet per min
IAS
indicated air speed
inaccuracy due to sensor position and instrument error
CAS = IAS, when corrected for?
pressure error
instrument error
EAS = CAS, when corrected for?
compressibility
Airstream direction detector
measures direction of airflow relative to the aircraft
provides angle of incidence/attack data
TAT
the temperature of the air at a stagnation point
indicator of leading-edge temperature for TAS calculation
SAT
true temperature of ambient conditions
used in adverse weather to indicate icing potential
TAT probe
placed away from the fuselage in the freestream
designed to decelerate airflow to rest relative to the aircraft
kinetic energy converted to thermal energy
the air is compressed and experiences an adiabatic increase in temperature
Modern air data systems
ADIRS