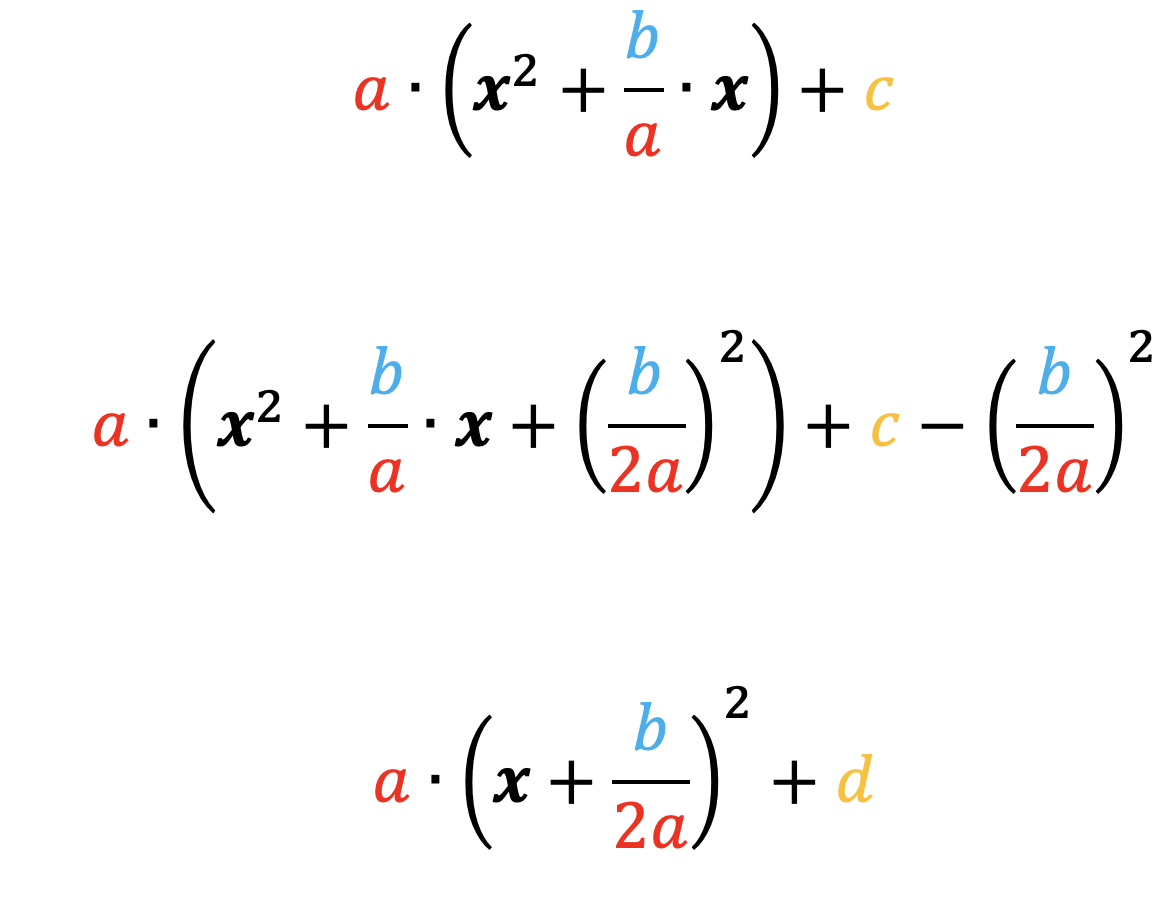
Factorize the Quadratic


Complete the square


Quadratic in vertex form

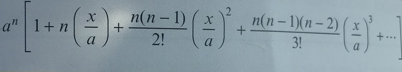
The Binomial Expansion Theory









What does it mean for a series to be convergent
It “congerges to”/ “the infinite sum goes to” a certain number
























Binomial Expansion where n is negative integers



