Alkene/Alkyne Flashcards

(118 cards)

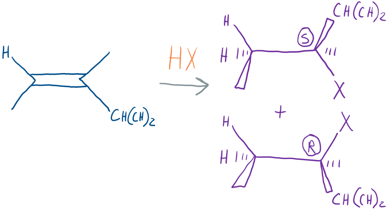
1
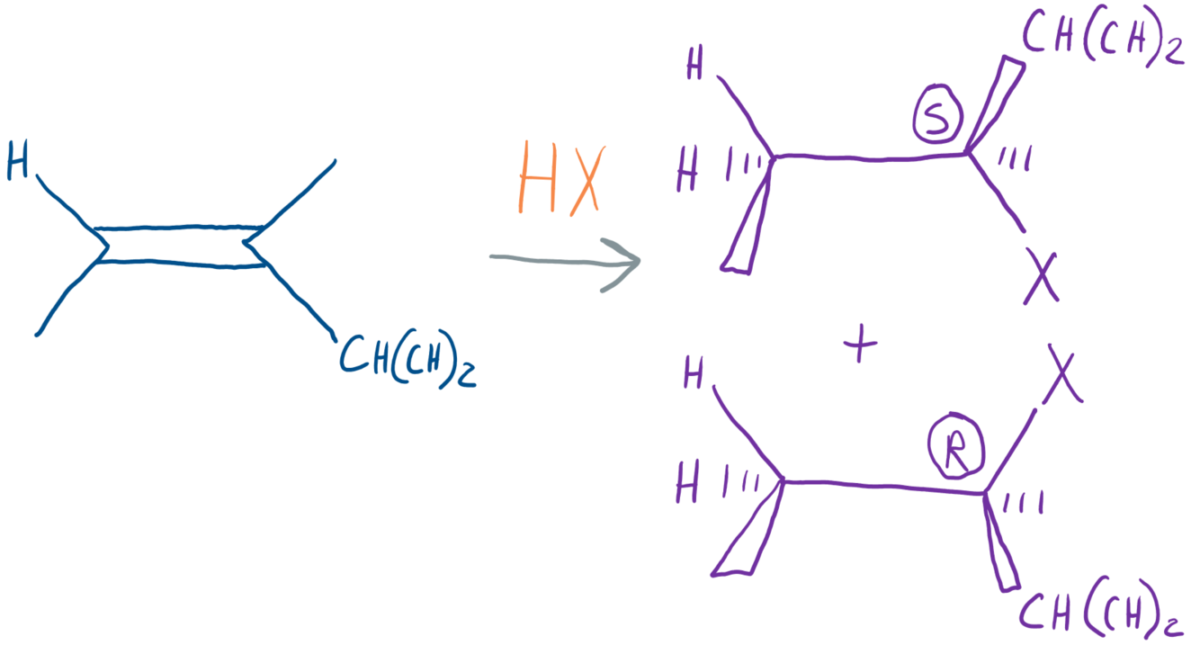
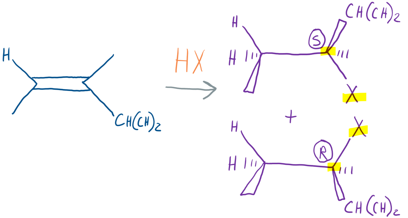
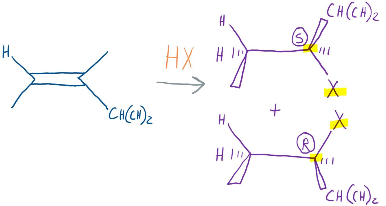
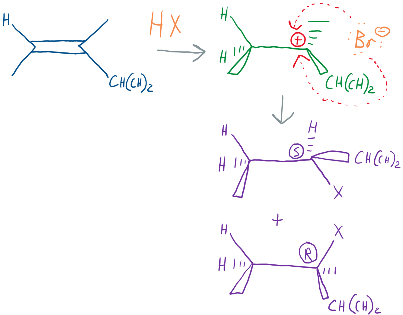
Q

What did you add?

A

haloacid

How well did you know this?
1
Not at all
2
3
4
5
Perfectly
2
Q

What is your intermediate, if any?

A

carbocation*

* rearrangement possible

How well did you know this?
1
Not at all
2
3
4
5
Perfectly
3
Q

What do you get?

A

alkane with X and H trans

How well did you know this?
1
Not at all
2
3
4
5
Perfectly
4
Q

Where do the groups attach?

A

X more substituted

How well did you know this?
1
Not at all
2
3
4
5
Perfectly
5
Q

What is your stereochemistry, if any?

A

two stereoisomers

How well did you know this?
1
Not at all
2
3
4
5
Perfectly
6
Q

mnemonic for alkene + HX → alkane

A
How well did you know this?
1
Not at all
2
3
4
5
Perfectly
7
Q

What did you add?

A

haloacid

How well did you know this?
1
Not at all
2
3
4
5
Perfectly
8
Q

How much did you add?

A

two molar equivalents

How well did you know this?
1
Not at all
2
3
4
5
Perfectly
9
Q

What do you get?

A

alkane with more substituted geminal dihalides

How well did you know this?
1
Not at all
2
3
4
5
Perfectly
10
Q

Can you turn this into a vicinal dihalide with one reactant?

A

no

How well did you know this?
1
Not at all
2
3
4
5
Perfectly
11
Q

Does this rearrange?

A

no: vinyl* cation formed

* charge on alkene carbon

How well did you know this?
1
Not at all
2
3
4
5
Perfectly
12
Q

What is/are the intermediate(s), if any?

A
How well did you know this?
1
Not at all
2
3
4
5
Perfectly
13
Q

Where do the groups attach?

A

X on more substituted C

How well did you know this?
1
Not at all
2
3
4
5
Perfectly
14
Q

What is your stereochemistry, if any?

A

none: this is not a stereocenter

How well did you know this?
1
Not at all
2
3
4
5
Perfectly
15
Q

What did you add?

A

HBr in peroxides

How well did you know this?
1
Not at all
2
3
4
5
Perfectly
16
Q

What peroxides might you add?

A

H2O2

H3CO-OCH3

How well did you know this?
1
Not at all
2
3
4
5
Perfectly
17
Q

What are your intermediate(s), if any?

A

radical* on carbon

*no rearrangement

How well did you know this?
1
Not at all
2
3
4
5
Perfectly
18
Q

You want a more substituted alkyl halide.

What can you add?

A

HX

How well did you know this?
1
Not at all
2
3
4
5
Perfectly
19
Q

You want a less substituted alkyl halide.

What can you add?

A

HBr in H2O2

How well did you know this?
1
Not at all
2
3
4
5
Perfectly
20
Q

What do you get?

A

less substituted bromide

How well did you know this?
1
Not at all
2
3
4
5
Perfectly
21
Q

What is your stereochemistry, if any?

A

2 stereoisomers: radical is planar, so you get a mixture

How well did you know this?
1
Not at all
2
3
4
5
Perfectly
22
Q

What do you add?

A

HBr in peroxides

How well did you know this?
1
Not at all
2
3
4
5
Perfectly
23
Q

How much do you add?

A

2 molar equivalents to get alkane

How well did you know this?
1
Not at all
2
3
4
5
Perfectly
24
Q

What do you get?

A

alkane with less substituted geminal dibromide

How well did you know this?
1
Not at all
2
3
4
5
Perfectly
25
What are your intermediates, if any?
none: vinyl carbocation, no rearrangement
26
What is the net reaction?
addition of geminal H and geminal Br
27
Where do the substituents attach?
geminal Br on less substituted C
28
You want the more substituted product, a dibromide. What is your reagent?
HBr
29
You want the less substituted product, a dibromide. What is your reagent?
HBr in peroxides
30
What reagent do you use?
KOH in ethanol (dehydrohalogenation)
31
What is your mechanism to make this alkene?
removal of H and Br, which must be anti
32
What is your mechanism to make this alkene?
removal of H and Br, which must be anti
33
How many steps are there?
two
34
What do you add?
1. KOH in ethanol 2. molten KOH for internal alkyne
35
What do you get?
internal alkyne
36
What reactant(s) do you need?
1. 3NaNH2 in liquid NH3 2. H2O for terminal alkyne * termiNNNal* * 3 bonds, 3 molar equivalents, 3 Ns in first step*
37
How many steps are there?
two
38
You want the internal alkyne. What reagents do you use
1. KOH in ethanol 2. molten KOH
39
You want the terminal alkyne. What reagents do you use?
1. 3NaNH2 in liquid NH3 2. H2O * termiNNNal* * 3 bonds, 3 molar equivalents, 3 Ns in first step*
40
Can you make a specific internal alkyne?
no: double bond can go on either side of geminal bromides
41
Can you make a specific internal alkyne?
yes: double bond only goes between the vicinal bromides
42
How much reagent do you need?
two: only need two to make an internal alkyne
43
What do you add?
H2SO4 in H2O
44
What is your major product?
more substituted alcohol
45
Is there a minor product?
yes: some alcohols may attach to the less substituted side, and the mixture influenced by stability of chair conformations
46
Where does the alcohol attach?
more substituted side (for the major product)
47
Can you get rearrangement in this reaction?
yes: a carbocation forms, so a hydride or methyl may rearrange from a more substituted neighbor
48
What is your product?
more substituted alcohol
49
What did you add?
1. Hg(OAc)2 in H2O 2. NaBH4 in NaOH *Mercury nabs water now*
50
What is the net reaction?
alcohol adds to more substituted C, H to less substituted
51
Can you have rearrangement here?
no: mercury bridge prevents carbocation from forming, and no carbocation, no rearrangement
52
What product(s) do you get?
enol & one ketone (much more ketone)
53
What do you add?
1. HgSO4 2. H2SO4 in H2O
54
Where does the alcohol form?
the more substituted carbon | (and the ketone follows)
55
What is the net reaction?
addition of alcohol and H
56
What did you add?
1. BH3 in THF 2. H2O2 in NaOH *Bored healing triplets with the healing feet use hydrogen peroxide now.*
57
What do you get?
less substituted alcohol
58
What is your net reaction?
Syn addition of less sub alcohol, and H
59
Do you get stereoisomers?
yes
60
What did you add?
1. SiaBH 2. H2O2 in NaOH
61
What product(s) do you get?
tautomerization of aldehyde and enol
62
What is your net reaction?
syn addition of less substituted alcohol (and H) THEN terminal aldehyde *Sia sings out about outside aldehydes.*
63
What is your major product?
aldehyde from terminal alkyne
64
What did you add?
ICl (iodinium chloride)
65
What is your net reaction?
anti addition of I and Cl
66
Where does each group go?
I goes on less substituted C Cl goes on more substituted C
67
Do you get stereoisomers?
no
68
What did you add?
Br2
69
What do you get?
vicinal dibromide
70
What is your intermediate, if any?
bromonium bridge
71
What is the net reaction?
anti addition of two Br
72
What do you get?
alkane tetrabromide
73
What do you get?
alkene vicinal dibromide
74
What is your intermediate, if any?
vinyl cation\* \* no rearrangement
75
What is your net reaction?
addition of two Br
76
What stereoisomers do you get, if any?
trans/Z or cis/E isomers
77
What did you add?
Br2 in H2O
78
What do you get?
anti addition of Br and H (halohydrin)
79
Where do the groups attach?
Br is on less substituted and alcohol is on more substituted
80
Which reagent makes one versus the other?
top: Br2 in H2O makes the halohydrin bottom: Br2 *by itself* makes the vicinal dibromide
81
What did you add?
H2 and Pd or Pt or Ni catalyst
82
What is the net reaction?
syn addition of H and H
83
What stereoisomers can you expect, if any?
two stereoisomers
84
What else does this reaction need?
Pd or Pt or Ni catalyst
85
What influences the product ratio?
1. relative stability 2. steric hindrance
86
What did you add?
2H2 and Pd or Pt or Ni catalyst
87
What do you get?
corresponding alkane
88
What did you add?
H2 and Lindlar's catalyst (quinoline)
89
What do you get?
cis/Z alkene
90
What is the net reaction?
syn addition of H and H
91
What did you add?
Li or Na in liquid NH3 *Give Li / Na Lamont lithium after Don dunked her in ammonia.*
92
What do you get?
trans/Z alkene
93
What is the net reaction?
trans addition of H & H
94
What did you add?
1. cold dilute KMnO4 H2O, NaOH 2. H3O+ OR 1. OsO4 in pyridine 2. NaSO3 or NaHSO3 in H2O *P&P twins drink cold shots. Water ---NaOTt! After vomiting up acid, they get their keys.*
95
What do you get?
syn diols *P&P twins drink cold shots. Water ---NaOTt! After vomiting up acid, they get their keys.*
96
What is your net reaction?
syn addition of two alcohols *“One cold shot of water and SOD-dy PER-fume.” “I'll have the same.”* *Same drink order.*
97
Where do the groups add?
additions are syn *“One cold shot of water and SOD-dy PER-fume.” “I'll have the same.”* *Same drink order.*
98
What did you add?
1. cold dilute KMnO4 H2O, NaOH 2. H3O+ *P&P twins drink cold shots. Water ---NaOTt! After vomiting up acid, they get their keys.*
99
What do you get?
1. tetra-ol\* 2. diketone \*tetra-ol is not isolated: immediately turns into diketone from the acid in step 2
100
What is your net reaction?
four alcohols added across triple bond
101
What did you add in step 1?
peracid *Pear-shaped kitten hanging in there!* | (eg. MCBPA, peracetic acid, trifluoroperacetic acid)
102
What did you add in this step?
H3O+
103
What are your intermediates, if any?
epoxide (ether bridge)
104
What is your stereochemistry, if any?
two stereoisomers
105
You want an epoxide. What do you add?
peracid | (eg. MCBPA, peracetic acid, trifluoroperacetic acid)
106
You want anti alcohols. What do you add?
1. peracid (eg. MCPBA) 2. H3O+
107
You want syn alcohols. What do you add?
1. cold dilute KMnO4 H2O, NaOH 2. H3O+ OR 1. OsO4 in pyridine 2. NaSO3 or NaHSO3 in H2O *(drunk twins lean one one another while vomiting)*
108
What did you add?
1. hot, concentrated KMnO4, H2O, NaOH 2. H3O+
109
What do you get?
1. ketone 2. aldehyde → carboxylic acid (conversion through further oxidation)
110
You add the following: 1. hot, concentrated KMnO4, H2O, NaOH 2. H3O+ Do you get bubbles?
yes: bubbles come from terminal\* alkenes with these reactants \**exhaust has to go out*
111
You add the following: 1. hot, concentrated KMnO4, H2O, NaOH 2. H3O+ Do you get bubbles?
no: bubbles come from terminal\* alkenes with these reactants \**exhaust has to go out*
112
What did you add?
1. hot, concentrated KMnO4, H2O, NaOH 2. H3O+ OR 1. O3 2. H2O (same products with alkynes)
113
You add 1. hot, concentrated KMnO4, H2O, NaOH 2. H3O+ Are there bubbles?
yes: bubbles can be expected from terminal alkynes
114
You add 1. O3 2. H2O Are there bubbles?
yes: bubbles can be expected from terminal alkynes *Terminal alkynes blow bubbles out* (3Bs in bubbles + 3 bonds in alkyne)
115
Will there be bubbles?
no: internal alkynes produce no bubbles
116
Will there be bubbles?
no: internal alkynes produce no bubbles
117
There are no bubbles. What did you add?
1. O3 2. H2O ozonolysis produces no bubbles for terminal alkenes
118
fThere are no bubbles. What did you add?
1. hot, concentrated KMnO4, H2O, NaOH 2. H3O+ OR 1. O3 2. H2O internal alkenes won't produce bubbles in either case