Alkenes Flashcards

(102 cards)

1
Q

What is nucleophilic substitution?

A

Halogenoalkanes are susceptible to attack by nucleophiles

How well did you know this?
1
Not at all
2
3
4
5
Perfectly
2
Q

What is a nucleophile?

A

Electron pair donor

How well did you know this?
1
Not at all
2
3
4
5
Perfectly
3
Q

Nucleophiles can be…

A

Charged ions or neutral molecules

How well did you know this?
1
Not at all
2
3
4
5
Perfectly
4
Q

Why are halogenoalkanes susceptible to attack by nucleophiles

A

-because the electron pair on the nucleophiles is attracted to the δ+ carbon

How well did you know this?
1
Not at all
2
3
4
5
Perfectly
5
Q

Why do halgenoalkanes have a δ+ carbon?

A

Because the halogen is more electronegative - making the C - X bond polar

How well did you know this?
1
Not at all
2
3
4
5
Perfectly
6
Q

How does nucleophilic substitution work?

A

-lone pair on the nucleophile is able to form a bond w the carbon atom
-carbon can only maintain four bonds, the C-X bond breaks heterolytically
- the halogen atom is kicked out as a halide ion (known as the leaving group)

How well did you know this?
1
Not at all
2
3
4
5
Perfectly
7
Q

Wat is the definition of heterolytically?

A

-both electrons go to the halogen

How well did you know this?
1
Not at all
2
3
4
5
Perfectly
8
Q

Why aren’t hydrogen atoms kicked out instead during nucleophilic substitution?

A

-halogens are better leaving groups as they are more electronegative (accepting electrons more readily)

How well did you know this?
1
Not at all
2
3
4
5
Perfectly
9
Q

What kind of bond is formed between the carbon atom and the nucleophile?

A

Dative

How well did you know this?
1
Not at all
2
3
4
5
Perfectly
10
Q

Substitution is when one atom in a molecule is…

A

Replaced for another

How well did you know this?
1
Not at all
2
3
4
5
Perfectly
11
Q

In the case of halgenoalkanes the ……….. atom is replaced

A

Halogen

How well did you know this?
1
Not at all
2
3
4
5
Perfectly
12
Q

What is the general mechanism for nucleophilic substitution?

A
How well did you know this?
1
Not at all
2
3
4
5
Perfectly
13
Q

What is the nucleophile and conditions in nucleophilic substitution using NaOH/KOH reagent

A

Nucleophile: :OH-
Conditions: warm, aqueous

How well did you know this?
1
Not at all
2
3
4
5
Perfectly
14
Q

In NaOH or KOH everything dissolves because…

A

There is a 50/50 of aqueous/organic so everything dissolves

How well did you know this?
1
Not at all
2
3
4
5
Perfectly
15
Q

What is the nucleophile and conditions when using the reagent KCN for nucleophilic substitution?

A

Nucleophile: :CN-
Conditions: warm ethanolic

How well did you know this?
1
Not at all
2
3
4
5
Perfectly
16
Q

Why is there no :OH- substitution when using KCN as a reagent?

A

It is completely organic

How well did you know this?
1
Not at all
2
3
4
5
Perfectly
17
Q

What is the nucleophile and conditions when using NH3 as a reagent?

A

Nucleophile: :NH3
Conditions: excess ammonia

How well did you know this?
1
Not at all
2
3
4
5
Perfectly
18
Q

When using NH3 as a reagent ………..is set up

A

-equilibrium
-excess NH3 favours substitution

How well did you know this?
1
Not at all
2
3
4
5
Perfectly
19
Q

Why are nucleophilic substitution reactions particularly useful in synthesis?

A

-it increases the length of the carbon chain

How well did you know this?
1
Not at all
2
3
4
5
Perfectly
20
Q

Why is excess ammonia needed in nucleophilic substitution using ammonia as a reagent?

A

-extra deprotonation step
-prevent polysubstitution

How well did you know this?
1
Not at all
2
3
4
5
Perfectly
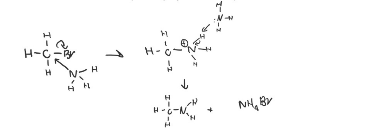
21
Q

What is the outline of the nucleophilic substitution using ammonia

A
How well did you know this?
1
Not at all
2
3
4
5
Perfectly
22
Q

The product of nucleophilic substitution using NH3 is a nucleophile itself, therefore…

A

It could go on to attack another halogenoalkane molecule
(Polysubstitution)

How well did you know this?
1
Not at all
2
3
4
5
Perfectly
23
Q

What is hydrolysis?

A

-splitting a molecule up using water (or aqueous hydroxide ions)

How well did you know this?
1
Not at all
2
3
4
5
Perfectly
24
Q

The mechanism for the reaction between water and a halogenoalkane is…

A

Nucleophilic substitution, with an additional deprotonation step

How well did you know this?
1
Not at all
2
3
4
5
Perfectly
25
What are two factors we need to consider when making a prediction about the reactivity of the C-X bond
-size of bonds/ bond enthalpy -difference in electronegativity
26
Are shorter C-X bonds more reactive or less reactive?
Less reactive as they are stronger
27
Are more polar C-X bonds more reactive or less reactive?
More reactive -the delta positive carbon is more susceptible to attack
28
How does the reactivity of the C-X change down the group?
Increases
29
Why does reactivity of the C-X bond increase down the group?
-bond enthalpy is smaller down the group -atomic radius increases - bond length increases -weaker ESFA between shared e- and nuclei
30
What is more important in determining the rate of hydrolysis, polarity or bond length?
Bond length
31
What happens when a halogenoalkane reacts with NaOH/KOH under hot and aqueous conditions?
Elimination reaction
32
When does the :OH- ion act as a base?
During elimination reactions
33
What is a base?
A proton acceptor
34
What does the :OH- attack in elimination reactions?
-a proton (a hydrogen atom) from a carbon atom adjacent to the carbon atom with the halogen attached
35
What is formed in elimination reactions?
-alkenes -water -halide ion
36
What is the outline of the mechanism for the reaction between 2-bromopropane and NaOH in hot and ethanolic conditions?
37
When is elimination more likely than nucleophilic substitution?
-When the C δ+ is blocked by alkyl groups -the :OH- is more likely to act as a base as the H atoms are more accessible -tertiary halogenalkanes
38
When is nucleophilic substitution more likely to happen than elimination?
-when there is easy access to the C δ+ -OH:- is more likely to act as a nucleophile -primary halogenalkanes
39
Stratospheric ozone plays an ……………………. In preventing …………………………. From reaching the earth’s surface
-essential role -harmful uv radiation
40
How is ozone formed?
-O2 -> 2O* + 2O2 -> 2O3 -3O2 -> 2O3
41
What is the equation for the depletion of ozone?
2O3 -> 2O2 + 2O* 2O* -> O2 2O3 -> 3O2
42
What are CFCs?
-chlorofluorocarbons -halogenoalkane so containing chlorine and fluorine and no hydrogen -quite unreactive and can remain in the lower atmosphere for a long time
43
What happens when CFCs reach the stratosphere?
-high frequency UV light causes the C-Cl bonds to break by homolytic fission -this release chlorine radicals CCl3F -> *CCl2F + *Cl
44
How do chlorine radicals breakdown O3 into O2?
1) O3 + Cl* -> O2 + ClO* 2) ClO* + O3 -> Cl* + 2O2 2O3 -> 3O2
45
How can we tell that the chlorine radical acts as a catalyst in the breakdown of ozone?
-it does not appear in the overall equation
46
What does the break down of ozone cause?
-a hole in the earths ozone layer which protects the planet from harmful UV rays from the sun
47
Why would a bromofluorocabron to produce bromo radicals rather than for a chlorofluorocarbon to release chlorine radicals?
C-Br bond is longer and more reactive as it has weaker ESFA
48
Why are alkenes more reactive than alkanes?
Alkenes contain C=C which means they are more reactive
49
What is the shape and bond angle for alkenes?
-Trigonal planar -120 digress
50
Why do alkenes have low boiling points?
-weak VDW forces of attraction -simple molecular
51
How does boiling point vary with chain length?
Increases
52
How does solubility vary with chain length?
-increases (organic solvents only)
53
What is an electrophile?
Electron pair acceptor
54
Why are alkenes susceptible to attack by an electrohpile?
-they have a c=c -very electron dense so are susceptible to attack
55
Why are the double bonds of alkenes readily attacked by electrophiles?
-the C=C double bond in alkenes is an area of high electron density
56
What happens to 2 out of the 4 electrons in the double bond when the double bond is attacked by electrophiles?
-they can be used to form 2 new covalent bonds -this is called an addition reaction -hence the alkenes undergo electrophilic addition reactions
57
What is the reaction mechanism for the homologous series of alkenes?
Electrophilic addition
58
Name the 4 steps of electrophilic addition.
1- dative bond forms between carbon and δ+ H 2- heterolytic fission 3-carbocaition formed 4- bromide ion bonds (dative) w/ carbon cation
59
Why is Br-Br not polar?
No difference in e-
60
What happens when Br-Br approaches the electron rich double bond?
-the δ- of the double bond induces a dipole in the Br2 molecule -electrons in the Br-Br bond are repelled to the bromine atom furthest from the double bond resulting in δ+ on the bromine atom closest to the double bond
61
The electrophilic addition between alkenes and halogens forms…
Dihalognealkanes
62
What does H2SO4 contain?
-two acidic hydrogen atoms which are both bonded to an oxygen
63
What does electrophilic addition reaction between alkenes and sulphuric acids form?
-alkylhydrogensulphates
64
When the double bond is not in the middle of the carbon chain…
There are two possible products of electrophilic addition
65
What type of carbocation is this molecule and why?
-secondary -two r groups stabilising the C+
66
What type of carbocation is this molecule?
-primary -only one R group stabilising the C+
67
Electrophilic addition proceeds via the most….
Stable carbocation intermediate
68
Why are carbocations more stable when there are more alkyl groups attached
-because alkyl groups are electron inducing
69
What does it mean when something is electron inducing?
-it pushes electron density away from themselves slightly towards the positive charge -stabilising the positive charge
70
Something that is electron inducing has a…
Positive inducing effect
71
What is markovnikovs rule?
-cheat method of working out the major product of a reaction (not a scientific explanation) -states that in an electrophilic addition reaction to asymmetrical alkenes, always add the hydrogen atom from the electrophile to the carbon atom with the most hydrogens already attached
72
What are addition polymers formed from?
-alkenes -alkenes are the monomers
73
What is a monomer?
-small molecules used to make very large molecules called polymers
74
What happens when the monomers polymerise?
The double bond opens up and the monomers bond together.
75
What are the physical properties of a polymer determined from?
The strength of the IMF between the polymer chains -this in term depends on the structure of the polymer chains, as well as the type of atoms in the polymer
76
What is a use of polyethene?
-carrier bags
77
What is a use of polypropene?
-yoghurt containers
78
What is a use of PTFE (Teflon)?
Waterproof fabric
79
What is the strongest type of IMF force between polyethene chains?
VDW
80
What is the strongest type of IMF force between polypropene chains?
VDW
81
What is the strongest type of IMF force between Teflon chains?
VDW
82
What is the melting temperature for polyethene?
110
83
What is the melting point for polypropene?
160
84
What is the melting point for Teflon?
327
85
How are ethane molecules polymerised?
-by a free radical mechanism
86
How can ethene’s polymerisation be controlled?
-using a Ziegler-natta catalyst making much more regular and linear polymers
87
How is low density polyethene synthesised?
-polymerisation of ethene at high pressure and high temperature via a free radical mechanism
88
What is the structure of LDPE
Branched
89
What are the properties of LDPE
-semirigid -tough -waterproof
90
What are uses of LDPE
-plastic bags -sheeting -electrical cables
91
How are high density polyethenes synthesised?
-temperature and pressure just a little over room conditions and a Ziegler natta catalyst
92
How can the properties of polymers be changed?
By adding plasticisers
93
What are plasticisers and how do they work?
-plasticisers are small molecules that fit between polymer chains forcing them apart and allowing them to slide across each other, making them more flexible
94
What do plasticisers do to the IMF between polymer chains?
-makes them weaker
95
Why are polyalkenes inert?
They contain strong non-polar C-C and C-H bonds -they are not attacked by acids bases or nucleophiles
96
What is mechanical recycling?
-plastics are seperated into different types, washed and ground into pellets. -these can then be melted and remoulded
97
What are the disadvantedges of mechanical recycling?
-requires energy -produces toxic gases
98
What is feedstock recycling?
-plastics are heated to a temperature that breaks the polymer bonds and produces new monomers which are used to make new plastics
99
What are the issues with feedstock recycling?
-energy required -produces less toxic gases
100
Plastics can only be melted and remoulded…
A limited number of times because each time the plastics properties are degraded
101
What is poly(vinyl chloride) made of?
H2-C=C-HCL
102
What is poly(vinyl chloride) used for?
Sewage pipes Aprons