Alkenes have ____ carbon bonds
Alkenes have double carbon bonds
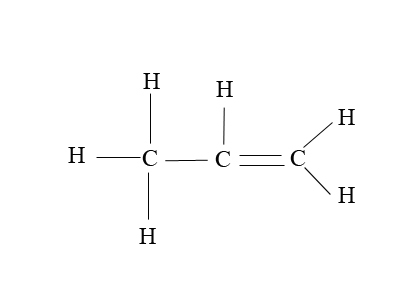
(ethene)

Define ‘alkenes’
Hydrocarbons which have a double bond between two of the carbon atoms in their chain
Alkenes are known as ____ because they can ____ ____ ____
Alkenes are known as unsaturated because they can make more bonds
How can alkenes make more bonds?
The double bond can open up, allowing the two carbon atoms to bond with other atoms
Name the first two alkenes and the amount of carbon atoms in them
What is the general formula for alkenes?
+ define with words
CnH2n
They have twice as many hydrogens as carbons
Draw ethene’s structure and give its formula
C2H4

Draw propene’s structure and give its formula
C3H6

What is the test for alkenes?
Bromine water - it turns it from orange to colourless
What do alkenes do to bromine water?
Decolourises it turning it from orange to colourless
Why do alkenes turn bromine water from orange to colourless?
Because the double bond open up and form bonds with the bromine
Name the affixes from 1-4 that tell you how many carbon atoms are in an alkene/alkane, and what comes after?
SHAPES (e.g. pent-, hex-, hept-)
What is the acrostic memory thing for remembering the order of the affixes of alkenes and alkanes?
M y
E lephant
P oos
B lue
SHAPES