All essential equations Flashcards

(36 cards)

1
Q

Equations of roots (polynomials)

A
How well did you know this?
1
Not at all
2
3
4
5
Perfectly
2
Q
A
How well did you know this?
1
Not at all
2
3
4
5
Perfectly
3
Q
A
How well did you know this?
1
Not at all
2
3
4
5
Perfectly
4
Q

Modulus of complex number?

A
How well did you know this?
1
Not at all
2
3
4
5
Perfectly
5
Q

Argument of complex number?

A
How well did you know this?
1
Not at all
2
3
4
5
Perfectly
6
Q

Cartesian form of vectors?

A
How well did you know this?
1
Not at all
2
3
4
5
Perfectly
7
Q

Scalar product equation?

A
How well did you know this?
1
Not at all
2
3
4
5
Perfectly
8
Q

Dot product of vectors?

A
How well did you know this?
1
Not at all
2
3
4
5
Perfectly
9
Q

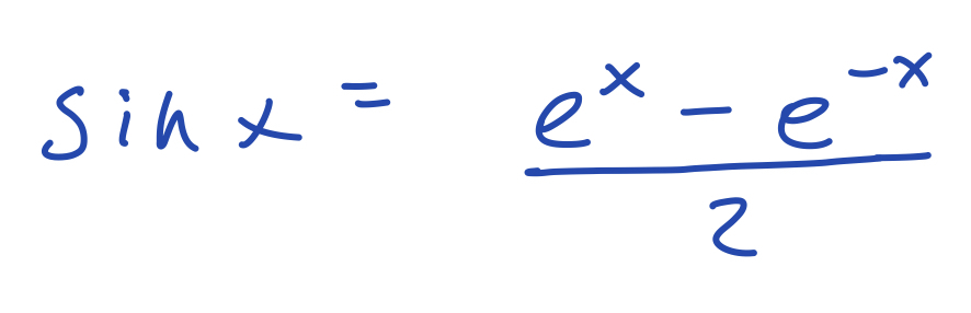
Sinhx = ?

A
How well did you know this?
1
Not at all
2
3
4
5
Perfectly
10
Q

Coshx = ?

A
How well did you know this?
1
Not at all
2
3
4
5
Perfectly
11
Q

Tanhx = ?

A
How well did you know this?
1
Not at all
2
3
4
5
Perfectly
12
Q

That weird sinhx cosx identity equation?

A
How well did you know this?
1
Not at all
2
3
4
5
Perfectly
13
Q

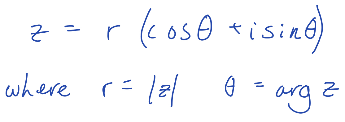
Formula for writing complex numbers in modulus argument form?

A
How well did you know this?
1
Not at all
2
3
4
5
Perfectly
14
Q

equation of a circle? (Argand diagram)

A
How well did you know this?
1
Not at all
2
3
4
5
Perfectly
15
Q

Equation of a half line? (Argand diagram)

A
How well did you know this?
1
Not at all
2
3
4
5
Perfectly
16
Q

Reflection in the x-axis? (Matrix)

17
Q

Reflection in the y-axis? (Matrix)

18
Q

Reflection about the line y = x? (Matrix)

19
Q

reflection in the line y = -x? (Matrix)

20
Q

Stretch by factor k in the x axis? (Matrix)

21
Q

Stretch by factor k in the y axis? (Matrix)

22
Q

anticlockwise rotation about the origin? (Matrix)

23
Q

Reflection in x=0? (Matrix)

24
Q

Reflection in y = 0? (Matrix)

25
Reflection in z = 0?
26
Circle equation? (polar coordinates)
r = a
27
Half line equation? (Polar coordinates)
28
Equation of spiral? (polar coordinates)
29
Graph of y = sinhx?
30
Graph of y = coshx?
31
Graph of y = tanhx?
32
Polar to Cartesian 4 equations?
33
Graph of x = Ay2?
34
Graph of y = Ax2?
35
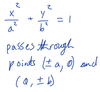
ellipse equation? (Oval at origin) (passes through points?)
36
Hyperbola equation? (And asymptotes)