
Glycine, Gly, G

Alanine, Ala, A

Proline, Pro, P

Valine, Val, V

Leucine, Leu, L

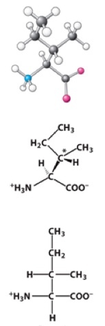
Isoleucine, Ile, I

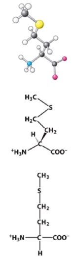
Methionine, Met, M

Tryptophan, Trp, W

Phenylalanine, Phe, F

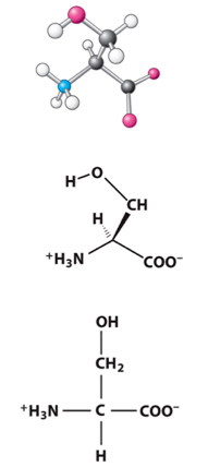
Serine, Ser, S

Threonine, Thr, T

Tyrosine, Tyr, Y

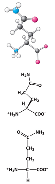
Asparagine, Asn, N

Glutamine, Gln, Q

Cysteine, Cys, C

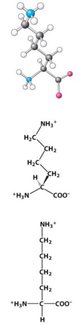
Lysine, Lys, K

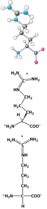
Arginine, Arg, R

Histidine, His, H

Aspartate, Asp, D

Glutamate, Glu, E