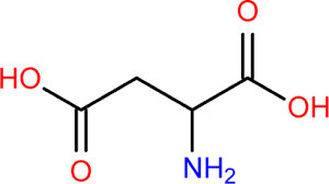
What amino acid is this (protonated)?

Aspartate.
What amino acid is this (deprotonated)?

Histidine.
What amino acid is this (deprotonated)?

Lysine.
What amino acid is this?

Tryptophan.
What amino acid is this?

Gluatamine.
What amino acid is this?

Tyrosine.
What amino acid is this (protonated)?

Arginine.
What amino acid is this (protonated)?

Glutamate
What amino acid is this?

Leucine.
What amino acid is this?

Asparagine.
What amino acid is this?

Serine.
What amino acid is this?

Isoleucine.
What amino acid is this?

Analine.
What amino acid is this?

Phenylanaline.
What amino acid is this?

Therionine.
What amino acid is this?

Methionine.
What amino acid is this?

Cysteine.
What amino acid is this?

Proline.
What amino acid is this?

Valine.
What is the symbol for cysteine?
C.
What is the symbol for analine?
A.
What is the symbol for arginine?
R.
What is the symbol for asparagine?
N.
What is the symbol for glutamate?
E.