Valine
Large Nonpolar (Hydrophobic)

Leucine
Large Nonpolar (Hydrophobic)

Isoleucine
Large Nonpolar (Hydrophobic)

Methionine
Large Nonpolar (Hydrophobic)

Glycine
Small Nonpolar

Alanine
Small Nonpolar

Proline

Phynelalanine
Aromatic Amino Acid

Tyrosine
Aromatic Amino Acid

Tryptophan
Aromatic Amino Acid

Cysteine
Uncharged and Polar

Serine
Uncharged and Polar

Threonine
Uncharged and Polar

Asparagine
Uncharged and Polar

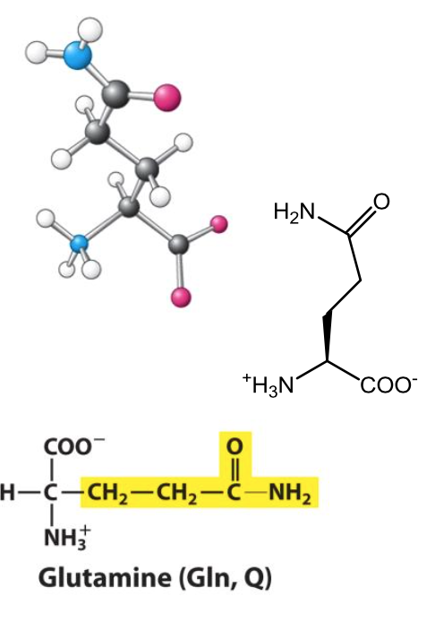
Glutamine
Uncharged and Polar

Aspartate
Ionizable/Charged Side Chains: Carboxylic Acids

Glutamate
Ionizable/ Charged Side Chains: Carboxylic Acids

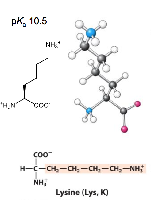
Lysine

Histidine

Arginine
