Andy Smith Flashcards

(95 cards)

1
Q

What is a stereoelectronic effect?

A

An electronic interaction between orbitals that stabilizes a particular conformation or transition state

It usually involves a filled orbital (donor) interacting with an empty orbital (acceptor).

How well did you know this?
1
Not at all
2
3
4
5
Perfectly
2
Q

What is required for a stereoelectronic effect to become significant?

A

Orbital overlap

Efficient overlap between orbitals is crucial for the interaction to be strong.

How well did you know this?
1
Not at all
2
3
4
5
Perfectly
3
Q

List the effects upon conformation related to stereoelectronic effects.

A
  • Anomeric effect
  • Gauche effect
  • C-F bond as a control element
  • Chalcogen bonding

These effects influence the preferred conformations of organic molecules.

How well did you know this?
1
Not at all
2
3
4
5
Perfectly
4
Q

What is the importance of stereoelectronic effects in organic chemistry?

A

They influence reactivity and preferred conformations

Understanding these effects helps predict reaction outcomes.

How well did you know this?
1
Not at all
2
3
4
5
Perfectly
5
Q

What are the three variables needed for a strong orbital interaction?

A
  • Efficient overlap
  • Close in energy
  • Correct symmetry

These factors determine the strength of the interaction between orbitals.

How well did you know this?
1
Not at all
2
3
4
5
Perfectly
6
Q

In the addition of a nucleophile to a carbonyl group, what type of orbital does the nucleophile interact with?

A

π* molecular orbital

This interaction leads to the formation of a new σ bond.

How well did you know this?
1
Not at all
2
3
4
5
Perfectly
7
Q

What is the C=O bond characterized by in terms of molecular orbitals?

A

It is polarized, leading nucleophiles to add to the carbon atom.

This polarization influences the reactivity of carbonyl compounds.

How well did you know this?
1
Not at all
2
3
4
5
Perfectly
8
Q

What atom do nuecleophiles attack in a carbonyl bond and why?

A
  1. Nucleophiles donate electrons from their HOMO (a lone pair).

That’s the highest-energy filled orbital they have.

  1. The carbonyl’s π* orbital is the LUMO.

That’s the lowest-energy empty orbital on the C=O group.

  1. The nucleophile donates electrons into the π* orbital

That’s why it attacks carbon, not oxygen.

Carbon has more π* character → better place for electrons to go

How well did you know this?
1
Not at all
2
3
4
5
Perfectly
9
Q

What is the C=O bond made up of?

A
  • σ bond
  • π bond

The σ bond is formed by sp² hybridized orbitals, while the π bond involves p orbitals.

How well did you know this?
1
Not at all
2
3
4
5
Perfectly
10
Q

What is the key requirement for the anomeric effect?

A

There is a lone-pair donor anti-periplanar to a low-lying anti-bonding orbital (acceptor)

How well did you know this?
1
Not at all
2
3
4
5
Perfectly
11
Q

The anomeric effect is a stabilizing stereoelectronic effect between which types of orbitals?

A
  • Donor HOMO orbitals
  • Acceptor LUMO orbitals

X represents an electronegative atom.

How well did you know this?
1
Not at all
2
3
4
5
Perfectly
12
Q

True or false: The anomeric effect only occurs in sp3 hybridized compounds.

A

FALSE

The anomeric effect can occur in various types of compounds, not limited to sp3 centers.

How well did you know this?
1
Not at all
2
3
4
5
Perfectly
13
Q

What is the preferred conformation for 2-alkyl tetrahydropyrans and why do 2-alkoxy tetrahydropyrans adopt a chair conformation with an axial substituent preferred>

A

Chair conformation with the substituent equatorial due as this is the position of least STERIC hinderance

2-alkoxy tetrahydropyrans have a stabilising interaction between a non-bonding lone pairon O (the donor) and the vacant, low lying σ* orbital of the adjacent C-X

How well did you know this?
1
Not at all
2
3
4
5
Perfectly
14
Q

What makes a strong stereoelectronic interaction?

A

A high-energy donor (HOMO) aligned with a low-energy acceptor (LUMO) in the correct geometry.

How well did you know this?
1
Not at all
2
3
4
5
Perfectly
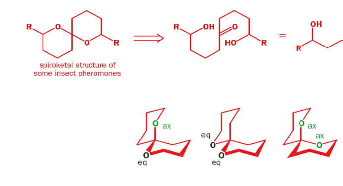
15
Q

WHat structure of spiroketals is preferred?

A

If any of O atoms are equitorial they cannot interact with the antibonding orbital of the C-O bond so if they are both axial to each other thye have the most stability.

How well did you know this?
1
Not at all
2
3
4
5
Perfectly
16
Q

what does a cis and trans ester look like?

A
How well did you know this?
1
Not at all
2
3
4
5
Perfectly
17
Q

What conformation of ester is most stable and why?

A
How well did you know this?
1
Not at all
2
3
4
5
Perfectly
18
Q

Why is the trans ester more reactive than the cis ester?

A

In the cis formtion the polar C-O bond is stabilised, this makes the carbon less δ+ and thus reducing its reactivity.

How well did you know this?
1
Not at all
2
3
4
5
Perfectly
19
Q

What is the preferred confromation of 1,2-difluoroethane?

A

On steric grounds predict the anti-periplanar conformation favoured (F > H)
But this is not observed; the GAUCHE conformation is favoured.

How well did you know this?
1
Not at all
2
3
4
5
Perfectly
20
Q

What is the Gauche effect?

A

In bonds like C-F they are so polarised that they almost assume that F has a negative charge and C has a positive charge. Therefore this bond acts an acceptor not a donor. So we want another bond like a C-H which can stabilise the C-F bond.

How well did you know this?
1
Not at all
2
3
4
5
Perfectly
21
Q

In this molecule which confromation is favoured?

A

The one of the the right as the dipole C-F and C=O are anti-parallel and so stabilise each other. The donor-acceptor interactions can also occur in this conformations

How well did you know this?
1
Not at all
2
3
4
5
Perfectly
22
Q

Of these two confromations which one is most stable?

A

Zig zag the dipoles from the C-F bond align and so destabilize the molecule.

In the bent configuration the dipole are anti-parallel and so stabilize the molecule. This configuration also allows for donor-acceptor interactions between the C-H and C-F bonds

How well did you know this?
1
Not at all
2
3
4
5
Perfectly
23
Q

How can π system act as donors? Consider the molecule below?

A
How well did you know this?
1
Not at all
2
3
4
5
Perfectly
24
Q

what is the preferred confomer?

A

The lp on the oxygen and the C-F bond are anti-periplanar on this conformer so this is the most stable conformer.

How well did you know this?
1
Not at all
2
3
4
5
Perfectly
25
what is the hybidrisation of the O?
26
What is the preferred conformation of this molecule?
When the p orbitals of the ring align with the p orbital of the O
27
What is the hybridisation of O in this molecule?
28
explain how the C-F helps stabilise this ether?
The lp on the oxygen donate to the C-F acceptor and the C=C donor of the ring donates into the C-O bond
29
What is **chalcogen bonding**?
An interaction between a donor (Lewis base ie atom with lone pair) and chalcogen bond (CH - S, Se, Te) ## Footnote This type of bonding can affect reactivity and conformation.
30
why is the confomer on the right more favoured than the left?
The conformer on the right allows for donation from the N lp to the S-C bond
31
Why do we know this must be due to the Chalcogen bond and the the Van der Waals forces?
The van der waal radii is far greater than the distance between the two atoms. indicating there must be another stabilizing interaction N***S = 2.5 Å Sum of van der Waals radii = 3.35
32
What is the **importance of stereoelectronic effects** in organic chemistry?
Influence reactivity ## Footnote They stabilize intermediates and lower transition state energy.
33
In an **S_N2 reaction**, what is essential for the reaction to proceed?
Linear arrangement of nucleophile, carbon, and leaving group ## Footnote This arrangement is crucial according to Baldwin’s rules.
34
What effect does stabilizing the TS in an Sn2 reaction have?
It will increase the rate of the reaction
35
how does the strcuture of these two molecules stabilise the TS when they react with I- in an Sn2 reaction?
In the TS the C becomes electron dense as it has another substituent attached to it temporarily. The structure of these compounds can help stabilize this has they allow for conjugation.
36
Why does this structure have such a fast rate of reaction for an Sn2 reaction with I-?
The carbonyl π* and C–Cl σ* empty orbitals merge to form a super-low-energy LUMO, making it very easy for a nucleophile to attack and greatly lowering the SN2 transition-state energy.
37
why does this reaction proceed with this intermediate? Why this conformation?
The Cl and the O- must be 180 degrees away from each other in order to react.
38
explain the relative rates of formation of these rings?
39
What is the **Thorpe-Ingold effect**?
Increased cyclisation rates with added steric hindrance ## Footnote It relates to the distortion of bond angles in small rings.
40
How does the Thorpe-Ingold effect increase the rate of cylisation in small and large rings?
By adding steric strain in small ring we decrease the bond the bond angle and we force the rings to sit in a staggered arrangement to reduce the steric straing. For larger substituents we reduce the number of possible conformations which reduces the change in entropy making it easier to react.
41
What factors contribute to the **activation energy barrier** in cyclisation processes?
* ΔH‡ - energy to bring atoms together * ΔS‡ - energy to form an ordered transition state ## Footnote These factors influence the reactivity and formation of cyclic compounds.
42
What is the **geometric requirement** for optimal bonding overlap in organic chemistry?
Interacting orbitals must align properly ## Footnote This alignment is fundamental to understanding reactivity.
43
What happens to the **transition state energy** when stabilizing features are present?
Lower energy of transition state ## Footnote Stabilizing features favor the S_N2 reaction.
44
According to **Baldwin's Rules**, what are the three factors that classify cyclisation reactions?
* Ring size being formed * Whether the bond that breaks is inside (endo) or outside (exo) of the new ring * Whether the electrophile is an sp, sp2, or sp3 atom ## Footnote These rules help determine which cyclisation reactions are favoured or disfavoured.
45
How do we classify reactions according to Baldwins rules?
1. The ring size being formed 2. Whether the bond that breaks as the ring forms is inside (endo) or outside (exo) of the new ring 3. Whether the electrophile is an sp (digonal - “dig”), sp2 (trigonal - “trig”) or sp3 (tetrahedral - “tet”) atom
46
What are the rules for different hybridisation centres according to baldwins rules?
47
True or false: All **exo-tet** cyclisations are favoured according to Baldwin's Rules.
TRUE ## Footnote Exo-tet cyclisations do not have stereoelectronic problems and achieve correct orbital overlap.
48
why is the exo reaction favoured compared to the endo reaction>
The addition to the C=C atom cannot be done as the molecule does not allow for an attack of 109 degrees. However if we attack the carbonyl we can reach that attack of 109 degrees meaning the reaction can occur.
49
What type of cyclisation processes are disfavoured according to Baldwin's Rules?
* 5-endo-tet processes * 5-endo-trig processes * 4-endo-trig processes * 3-endo-trig processes ## Footnote These processes are geometrically and stereoelectronically unfavoured.
50
Are endo-dig cyclisation processes favoured? Why?
an alkyne has 2 perpendicular π* orbitals, one of which must lie in the same plane of the new ring and the lone pair, making it accessible to the nucleophile (O-) and can attack at 120 degrees
51
why is this reaction work even though it is a 5-endo-trig reaction? What is the mechanism?
The mechanism goes through a positive intermediate. This causes the bond to elongate and it then can have enough orbitsl overlap to attack at 109 degree
52
Why does replacing the NH2 with SH allow this reaction to occur?
S is a far larger atom. This mean that it can overlap with the C=C orbitals unlike with N
53
Overall what type of reaction are favoured and disfavoured according to Baldwins rules?
54
What is the preferred conformation for polysubstituted cyclohexanes?
Largest or most substituents in the equatorial position ## Footnote This rule helps determine the stability of different conformations.
55
What is the general rule for the number of possible stereoisomers of a molecule with n stereocentres?
2^n ## Footnote This rule applies unless symmetry affects the count.
56
What are **diastereoisomers**?
Stereoisomers that are not enantiomers ## Footnote They can arise in compounds with multiple stereocentres.
57
What is a **meso compound**?
A compound with a plane of symmetry ## Footnote Meso compounds can have multiple stereocentres but are achiral.
58
What does the **tert-butyl group** act as in conformational analysis?
A conformational lock, this prevents you from ring flipping the molecule ## Footnote The tert-butyl group has such a large 'A' value that it will always occupy an equatorial position.
59
What are the two forms of **decalins** discussed in terms of stability?
* Cis-decalin * Trans-decalin ## Footnote The stability of these forms can vary based on their conformational flexibility.
60
What type of decalin is more thermodynamicaly stable?
The trans ring is mroe thermodynamically stable as this has both substituents in an equatorial position
61
What type of decalin can and cannot be ring flipped?
Cis can be ring flipped, trans cannot be ring flipped
62
For all of these molecules what is the preferred conformation?
3. The OMe group is equatoiral to reduce steric hindrance but in the ester the anomeric effect applies so they must be axial for the lp to donate to the C-O of the OMe
63
In **S_N2 reactions**, how do axial and equatorial sites differ in reactivity?
Axial sites are more reactive than equatorial sites ## Footnote The rate of S_N2 displacement of axial tosylate is significantly faster than that of equatorial tosylate.
64
why is the rate of reaction fast for axial OTs?
The nucleophile must attack from 180 degrees for both conformations. WHen it attacks the axial position it is unhindered however when it attacks the equatorial position it is hindered from the axial C-H and from other C-H from the ring.
65
What must be considered in the **mechanism** of an S_N2 reaction?
Approach of nucleophile at 180˚ to the leaving group ## Footnote This allows the nucleophile to add electron density to the anti-bonding orbital of the leaving group.
66
What conformation of a cyclic ester will react fastest? provide the mechanism for the hydrolysis reaction? What is the RDS?
When the COOR group is in an equatorial position it reacts faster. This is due to there being an increase in steric bulk during the RDS
67
What conformation of a cyclic alcohol will undergo an acetylation reaction fastest? What is the mechanism?
When the OH is in the equatorial position it reacts faster due to an increase in steric bulk during the RDS
68
What confirmation of a cyclic alcohol will undergo an oxidation with CrO3 the fastest? what is the mechanism?
When the OH is in the axial conformation is reacts faster due to a decrease in steric during the RDS
69
In the chair conformation of cyclohexane what bonds are anti-periplanar to each other?
| green bonds
70
Why must the leaving group be axial in E2 reactions of cyclohezane derivatives?
The C-H the Nucleophile attacks must be anti-periplanar to the leaving group X. This cannot happen in the equaorial position as there is no C-H anti-periplanar.
71
explain these reactions?
72
Why does this molecule dissolve more in polar MeCN when Cl is equatorial and more in non-polar hexane when Cl is axial?
The dipoles are in the opposite direction when Cl is axial and so they become less polar and when Cl is equatorial the dipoles face the saem way amking the molecule more polar
73
Why does using different nucleophiles give different conformations in this reaction?
It is easier for the larger nucleophile to attack from the equatorial as it is less sterically hindered. You would expect LiAlH4 to also attack from this angle however this is not the case. This is due to the amount of strain caused by the rotation of the reaction.
74
How do we draw cyclohexene and how do we ring flip it?
75
How do we draw a cyclohexane epoxide?
76
What is the only conformation an alcohol can undergo a ring closing sn2 reaction to an epoxide ring?
The leaving group and the nucleophile must be diaxial (180 degrees to each other)
77
Explain how a nucleuphile has to approach an epoxide for ring opening?
It must approach to give the chair TS no the twist boat
78
How can we ensure that the epoxide has the correct conformation to ring open?
Adding a locking group ensure that the TS is diaxial.
79
Under kinetic control chair TS is preferred however since this is a reversible reaction, when heated, the twist boat TS can relax and adopt chair confomation. In this conformation all substituents are equatorial it is more stable than the diaxial product.
80
What is the outcome of **ring opening** reactions of epoxides?
Always leads to diaxial products ## Footnote Even if conformational relaxation leads to diequatorial products, the initial reaction produces diaxial products.
81
In neighbouring group participation, the nucleophile needs to be anti to the _______ of the leaving group.
σ* orbital ## Footnote This requirement is essential for effective orbital overlap during the reaction.
82
For the **syn diastereoisomer**, why can't neighbouring group participation occur?
Cannot attain correct orbital overlap ## Footnote This limitation leads to the reaction proceeding via an S_N2 mechanism.
83
In cyclohexane, antiperiplanar bonds can be achieved if the bonds are either _______ or a ring C-C bond is antiperiplanar to an equatorial leaving group.
diaxial ## Footnote This arrangement is critical for the success of rearrangement reactions.
84
what position do the reactants substituents have to be to undergo a ring contraction?
The leaving group must be anti-periplanar to a C-C bond in the ring.
85
explain what happens in these reactions?
86
Explain these two reactions?
87
Fragmentation reactions involve the electron donor being separated from the leaving group by _______.
two bonds ## Footnote This separation is key to understanding the mechanism of fragmentation.
88
What is a typical requirement for **fragmentation reactions**?
The electron donor must be anti-periplanar to the leaving group ## Footnote This ensures proper orbital alignment for the reaction.
89
In fragmentation reactions, the lone pair pushes electrons while the leaving group pulls electrons, breaking the _______.
C-C bond ## Footnote This interaction is crucial for the fragmentation process.
90
For a **rearrangement/migration**, look for the setup where the lone pair donor is adjacent to the leaving group, separated by _______.
one C-C bond ## Footnote This configuration facilitates the necessary interaction for the reaction.
91
What happens in a **ring contraction** reaction?
The antiperiplanar nature of the migrating bond to the leaving group is crucial ## Footnote This principle helps predict the outcome of ring contraction processes.
92
explain this reaction
Electrons flow donor → C–C σ* → LG → giving: carbocation alkene leaving group
93
what is the mechanism for this frgmentation reaction?
94
Draw the mechanism of the fragmentation reaction this would undergo?
95
Predict the geometry and explain how you would get the products the 3 isomers of this compound.