Brainscape
Find Flashcards
Discover millions of Flashcards
Browse Brainscape-Certified Flashcards
Learn faster with our catalog of expert certified, pre-made flashcards.
Browse All Flashcards
Browse our full catalog of user-generated and Brainscape-Certified flashcards.
Explore the
Knowledge Genome
of subjects:
Entrance Exams
Professional Certifications
Foreign Languages
Medical & Nursing
Science
English
Humanities & Social Studies
Mathematics
Law
Vocations
Health & Fitness
Business & Finance
Technology & Engineering
Food & Beverage
Fine Arts
Random Knowledge
Make Flashcards
How It Works
Features Overview
The Science of Studying
Educators
Schools & Teachers
Tutors & Resellers
Businesses
Employee Training
Publishers & Resellers
Academy
Academy Homepage
The Science of Studying
Study Tips
Teaching Tips
Employee Training Tips
Language Learning Tips
Test Prep Tips
Log in
My Dashboard
Get Started
Log out
FORMULAS MATEMÁTICAS
> Angulo mitad > Flashcards
Angulo mitad Flashcards
trigonometria
(6 cards)
Study These Flashcards
1
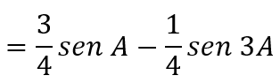
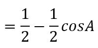
Q
A
How well did you know this?
1
Not at all
2
3
4
5
Perfectly
2
Q
A
How well did you know this?
1
Not at all
2
3
4
5
Perfectly
3
Q
A
How well did you know this?
1
Not at all
2
3
4
5
Perfectly
4
Q
A
How well did you know this?
1
Not at all
2
3
4
5
Perfectly
5
Q
A
How well did you know this?
1
Not at all
2
3
4
5
Perfectly
6
Q
A
How well did you know this?
1
Not at all
2
3
4
5
Perfectly
FORMULAS MATEMÁTICAS
flashcards
Decks in class (17)
# Cards
constantes matemáticas
21
productos notables y factorización
12
soluciones exactas de ecuaciones algebraicas
5
transformación de expresiones algebraicas
9
ecuación cuadrática o de segundo grado
3
trigonometria
2
trigonometría
1
identidades trigonometricas
8
suma y resta de angulos
4
TRIGONOMETRIA (ángulo doble)
9
transformación de grados a radianes
9
Angulo mitad
6
funciones trigonométricas de ángulos notables
7
DIFERENCIALES
13
DERIVADAS ALGEBRAICAS
19
DERIVADAS TRIGONOMETRICAS DIRECTAS
28
DERIVADAS EXPONENCIALES
0