Which of the following are different mechanisms of action for anticancer antibiotics? (Select All)
A. Intercalation with DNA and interference with DNA replication/transcription
B. Formation of proteases that are able to degrade cancer cell DNA structures.
C. Competitive antagonists for enzymes required to activate cancer cells
D. Inhibition of Topoisomerase II and prevents re-ligation (rejoining) of the DNA
E. Generation of Free radicals in order to cause DNA damage.
A. Intercalation with DNA and interference with DNA replication/transcription
D. Inhibition of Topoisomerase II and prevents re-ligation (rejoining) of the DNA
E. Generation of Free radicals in order to cause DNA damage.
What is the function of free radicals when they are formed by the anticancer antibiotics?
A. Prevent the re-ligation (rejoining) of the DNA after it has been snipped by TOPO-II
B. Allows for easier intercalation with DNAD. Direcly causes apoptosis by uptake in cancer cells by destabilizing the cell membrane
C. Causes single-stranded DNA breaks that can eventually lead to double-stranded DNA breaks.
D. Causes the direct destruction of the cancer infected cells by disrupting the cell membrane and destabilizing it.
C. Causes single-stranded DNA breaks that can eventually lead to double-stranded DNA breaks.
T/F
Anticancer antibiotics act as topoisomerase II inhibitors and allow the clipping of the DNA by topoisomerase II. However it will not allow the re-ligation of the DNA cut by topoisomerase Ii
T
Which of these medications belong to the Actinomycin class?
A. Doxorubicin
B. Mitoxantrone
C. Idarubicin
D. Dactinomycin
D. Dactinomycin
Actinomycin= Dactinomycin
The drug name literally contains the name of the class
Which of the following medications is an Anthracycline? (Select All)
A. Doxorubicin
B. Valrubicin
C. Mitoxantrone
D. Mitomycin
E. Daunorubicin
A. Doxorubicin
B. Valrubicin
E. Daunorubicin
Antracycline= Rubicin
Daunorubicin, Valrubicin, Doxorubicin
Which of the following medications is an Anthracycline? (Select All)
A. Mitoxantrone
B. Idarubicin
C. Epirubicin
D. Dactinomycin
E. Bleomycin
B. Idarubicin
C. Epirubicin
Which of the folowing medications is an Antracenedione?
A. Mitoxantrone
B. Doxorubicin
C. Idarubicin
D. Dactinomycin
E. Bleomycin
A. Mitoxantrone
Antracendione= Mitoxantrone
What is the name of the structure in the antibiotic groups that is responsible for the production of free radicals?
A. Amino groups
B. Guanyl side chains
C. Multiple ring structures
D. Quinone
D. Quinone
Based on the structure of Mitoxantrone, why does it not produce free radicals? (select all)
A. Mitoxantrone is resistant to NADPH/CYP450 metabolism
B. The anthroquinone structure is stabilized by hydrogen bonding and makes it less likely to be converted to hydroxyquinone
C. Mitoxantrone does not contain a quinone functional group
D. The medication does not undergo NADPH or CYP450 metabolism and will not activate the quinone.

A. Mitoxantrone is resistant to NADPH/CYP450 metabolism
B. The anthroquinone structure is stabilized by hydrogen bonding and makes it less likely to be converted to hydroxyquinone

Which of these medications can possibly cause a radiation recall reaction?
A. Mitoxantrone
B. Doxorubicin
C. Bleomycin
D. Dactinomycin
D. Dactinomycin
Radiation recall reaction is when a patient who previously recieved radiation suddenly developes a rash (similar to sunburn) when they take the medication.

Dactinomycin is known to cause ___ and should not be given with ___.
A. Nephrotoxicity, NSAIDS
B. Cardiotoxicity, Beta blockers
C. Rhabdomyolysis, HMG-CoA reductase inhibitors
D. Glaucoma, Alpha-2-Agonsists
C. Rhabdomyolysis, HMG-CoA reductase inhibitors

Why is cardiac tissue more succeptible to cardiotoxicity caused by Anthracycline antibiotics than other cells of the body?
A. Elevated levels of iron in cardiac cells
B. Decreased levels of catalase enzyme in cardiac cells
C. Naturally increased levels of native hydroxyl superoxide
D. none of the above
B. Decreased levels of catalase enzyme in cardiac cells

What chemical reaction is responsible for the toxicities of antracycline antibiotics?
A. Fenten reaction
B. Catalase reaction
C. Pentase reaction
D. none of the above
A. Fenten reaction
Why do we give Dexrazoxane with anthracycline antibiotics?
A. Dexrazoxane will protect body cells by preventing the anticancer drugs from intracting with normal cells
B. Chelates iron in the body and prevents the Fenten reaction from occuring, reducing toxicity.
C. Increases Fenten reaction speed and increases free radical formation
D. Decreases catalase activity and reduces toxicity.
B. Chelates iron in the body and prevents the Fenten reaction from occuring, reducing toxicity.

Which of the follwing is NOT an advantage of Liposomal formulations of doxorubicin and daunorubicin?
A. Slower plasma clearance of the drug
B. Increased uptake in tumor cells
C. Decreased uptake in myocardial tissue
D. Decreased conversion to secondary alcohol
E. Decreased extravasation
F. Increases the conversion to secondary alcohol
F. Increases the conversion to secondary alcohol

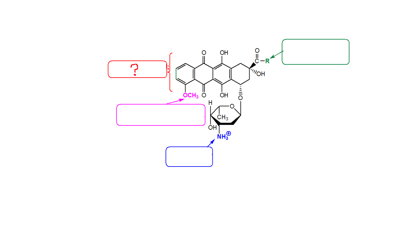
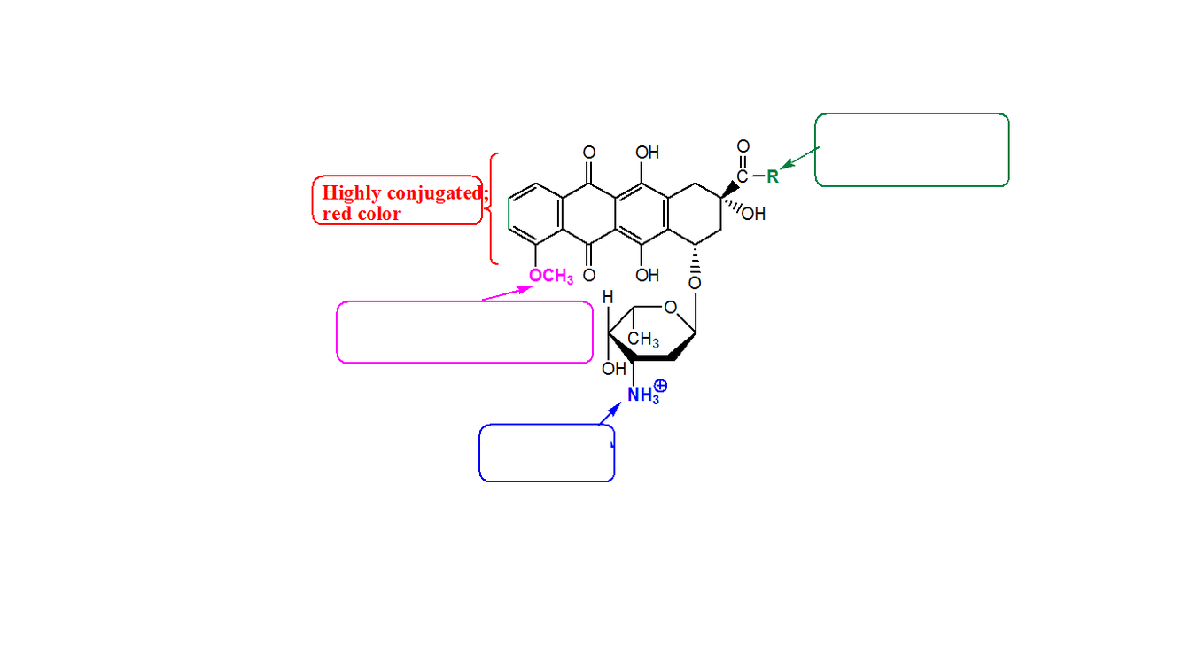
Regarding the SAR of Anthracyclines, what is true regarding the conjugated cyclic groups?
A. Adds a red color to the drug compound and discolors urine when taken by patients.
B. Increases catalase activity
C. increases Fenten reaction
D. none of the above

A. Adds a red color to the drug compound and discolors urine when taken by patients.

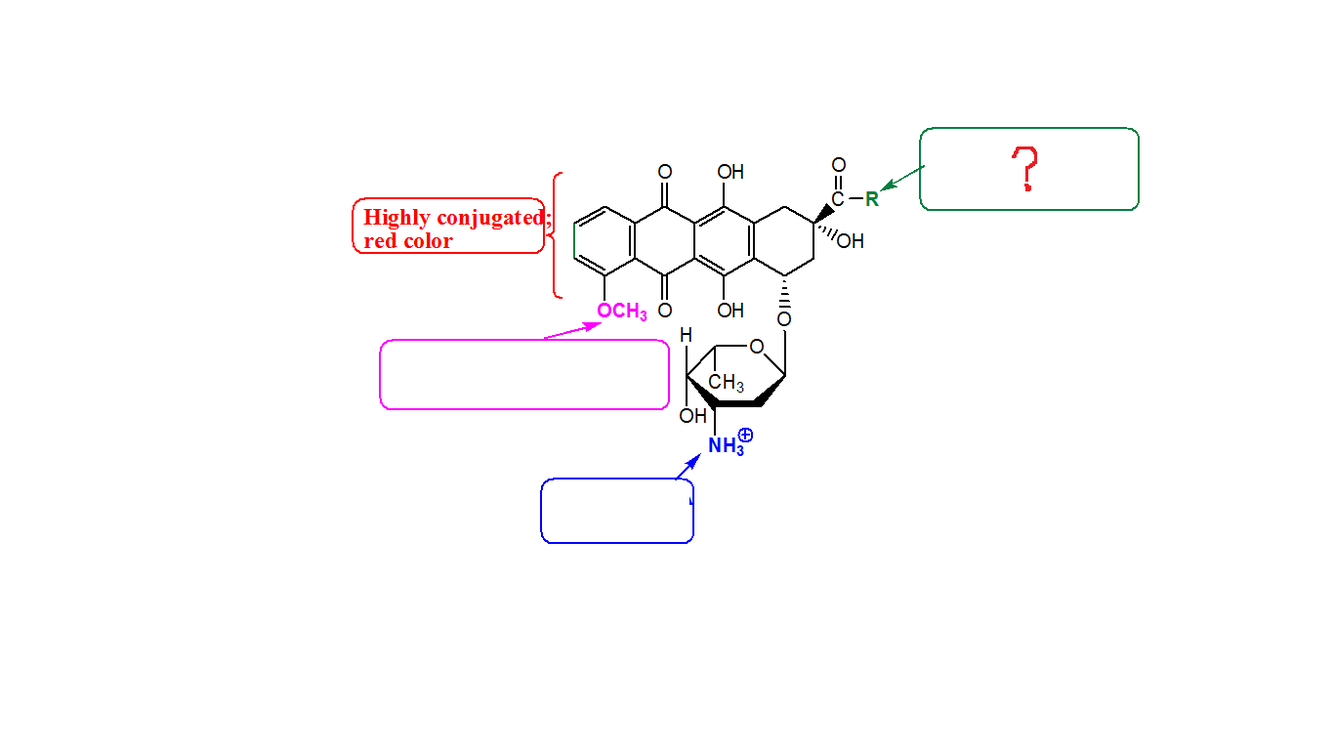
Regarding the SAR of antracyclines, what is true regarding the R group? (select all)
A. Smaller R group slows the reduction of the ketone to a secondary alcohol
B. Larger R group slows the reduction of the ketone to a secondary alcohol
C. Medications with larger R groups tend to exhibit more toxicities than medications with smaller R groups in that position.
D. Medications with larger R groups tend to exhibit fewer toxicities than medications with smaller R groups in that position

B. Larger R group slows the reduction of the ketone to a secondary alcohol
D. Medications with larger R groups tend to exhibit fewer toxicities than medications with smaller R groups in that position
The reason there is fewer toxicities with a larger R group is because it takes longer to change the ketone to an alcohol (cardiotoxic metabolite) due to the steric hindrance caused by the bulkier R group.

Regarding the SAR of Anthracyclines, what does the NH3 on the sugar moeity do?
A. Optimizes DNA intercalation
B. Adds red color to medication
C. Adds steric hindrance to the medication and prevents toxic metabolite formation
D. Increases enzymatic activation of catalase

A. Optimizes DNA intercalation

Regarding the SAR of Anthracyclines, what happens when the methoxy group is removed from the drug structure?
A. Decreases anti-tumor acitivity
B. Increases steric hindrance allowing for less toxic metabolite
C. Increases anti-tumor acitivity
D. Changes the medication color

C. Increases anti-tumor acitivity

How does inversion of stereocemistry in the sugar of Epirubicin affect toxicity of the drug?
A. More cardiotoxic
B. Less cardiotoxic
C. No effect on cardiotoxicity
B. Less cardiotoxic
As you can see the epirubicin has its carbon pointing up in what is known as the equitorial prosition. In this position it will decrease cardiotoxicity.
The reason why is becuase the new position of the oxygen group will increase metabolism of the drug and lead to less accumulation of the drug in cardiac cells. this is why it is less cardiotoxic than idarubicin.

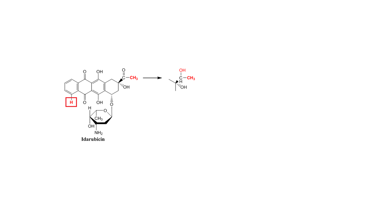
The medication Idarubicin lacks a methoxy group at carbon 4. How will this effect the medication activity? (select all)
A. Increases Topoisomerase II inhibition
B. Increases anti-tumor activity
C. Decreases intercalation with DNA
D. Increases intercalation with DNA

A. Increases Topoisomerase II inhibition
B. Increases anti-tumor activity
D. Increases intercalation with DNA

Which of the following statements regarding Valrubicin is true? (select all)
A. Decreased cardiotoxicity
B. High oral bioavailability
C. Administered directly into the bladder by an injection
D. Valerate ester makes it highly lipophilic
E. Must be formulated with cremophor or castor oil to increase solubility
A. Decreased cardiotoxicity
C. Administered directly into the bladder by an injection
D. Valerate ester makes it highly lipophilic
E. Must be formulated with cremophor or castor oil to increase solubility

What is the proper order of metabolism for Mitoxantrone?
I: Oxidation
II: Deamination
III: Glucuronidation
IV: Dealkylation
A. I,II, III, IV
B. IV, III, II, I
C. IV, II, I, III
D. II, IV, III, I
C. IV, II, I, III
Dealkylation
Deamination
Oxidation
Gllucuronidation
the picture provided helps memorize the steps

What is the reason for the blue discoloration or the nails, feces and sclera?
A. Oxidation of the medication
B. Deamination of the medication
C. Dealkylation of the medication
D. Glucuronidatino of the medication
D. Glucuronidation of the medication
The glucuronide metabolite gives a blue discoloration and this is what causes these unique side effects
