Weighted activities problem with initial cost
Describe the problem
Note: description of a problem contains:

Weighted activities problem with initial cost
describe:
NOTE:
we should first think of the subsets which construct the set of solutions. Then define a subproblem. “which solutions for sub problems can help you find the solution for opt quite immidietly?”

Weighted activities problem with initial cost
divide the set of solutions into subsets and construct the formula

Weighted activities problem with initial cost
what is the proof for the formula construct?

Weighted activities problem with initial cost
describe the iterative algorithm

Weighted activities problem with initial cost
what is the run-time of the iterative algorithm?

Weighted activities problem with initial cost
describe the reconstruction algorithm
Always remember the base case!

Weighted activities problem with initial cost
Based on the assumption, the algorithm returns an optimal solution for the problem.
Weighted activities problem with initial cost
how is the main theorem and helping theorem proved, in the reconstruction algorithm?

The thrifty traveler
recall the formal definition

The thrifty traveler
define Sol and OPT

The thrifty traveler
describe the subsets of the solution set

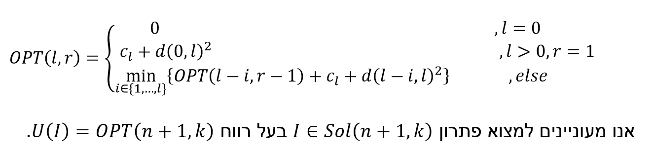
The thrifty traveler
what is the construction formula?

The thrifty traveler
describe the proof for the construction formula

The thrifty traveler
describe the algorithm and the construction algorithm
