Astrophysics Flashcards

(67 cards)

1
Q

What is one light year

A

The distance a photon will travel in one year

How well did you know this?
1
Not at all
2
3
4
5
Perfectly
2
Q

What is the size of the astronomical unit equal to

A

The mean distance from the earth to the sun

How well did you know this?
1
Not at all
2
3
4
5
Perfectly
3
Q

What is one arcsecond equal to

A

1 arcsecond = 1/3600 degree

How well did you know this?
1
Not at all
2
3
4
5
Perfectly
4
Q

Parsec def

A

The distance at which the radius of the Earth’s orbit (1 AU) around the Sun subtends at an angle of 1 arcsecond

How well did you know this?
1
Not at all
2
3
4
5
Perfectly
5
Q

How to derive a parsec

A
How well did you know this?
1
Not at all
2
3
4
5
Perfectly
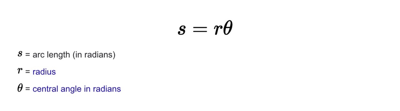
6
Q

Arc Length equation

A
How well did you know this?
1
Not at all
2
3
4
5
Perfectly
7
Q

Parallax error def (for astronomy)

A

Half of the angle between the Earth at one time of year, and the Earth six months later, as measured from a nearby star.

How well did you know this?
1
Not at all
2
3
4
5
Perfectly
8
Q

what can the spectral characteristics of a star tell us

A
  • precise surface temperature
  • composition of the star
  • physical conditions within the star
How well did you know this?
1
Not at all
2
3
4
5
Perfectly
9
Q

what three types of spectra does spectroscopy give us

A
  • an emission line spectrum
  • an emission continuous spectrum
  • an absorption spectrum (like an emission line spectrum but reverse)
How well did you know this?
1
Not at all
2
3
4
5
Perfectly
10
Q

what is the photosphere

A

the area of a star where light is radiated

How well did you know this?
1
Not at all
2
3
4
5
Perfectly
11
Q

describe the three types of line spectra

A

Continuous spectrum:
created when photons of all wavelengths are emitted
Appearance: a broad range of colours (depending on a star’s temperature)
Produced by: hot, dense sources, such as the cores of stars

Emission spectrum:
created when photons are emitted by excited electrons in a hot gas
Appearance: discrete wavelengths represented by coloured lines on a black background
Produced by: hot, low-pressure gases, such as a nebula surrounding a star

Absorption spectrum:
created when photons are absorbed by electrons in a cool gas
Appearance: discrete wavelengths represented by dark lines on a continuous spectrum
Produced by: light passing through cool, low-pressure gases, such as the photosphere of a star

How well did you know this?
1
Not at all
2
3
4
5
Perfectly
12
Q

how does an absorption spectrum and emission spectrum relate

A

the lines in an absorption spectrum correspond to the same lines in the emission spectrum of the same element

How well did you know this?
1
Not at all
2
3
4
5
Perfectly
13
Q

how are stellar spectral lines formed

A
  • Stellar spectral lines are caused by the interactions between photons and the atoms present in gaseous layers of stars
  • Photons produced by fusion reactions in a star’s core move towards the layers of gas in the outer atmosphere of the star
  • The photons produced in the core form a continuous spectrum
  • Photons are absorbed by the gas atoms, which excite and re-emit other photons of various frequencies in random directions
  • Each gas produces a unique pattern of spectral lines due to the specific transition between the element’s energy levels
  • The pattern can be used to determine the presence of a certain element within the star
  • The chemical composition of a star can be investigated even when extremely distant
  • If the element is present in the star, its characteristic pattern of spectral lines will appear as dark lines in the absorption line spectrum of the star

e.g The Sun is predominantly made up of hydrogen and helium gas. This can be verified by comparing the emission line spectra of hydrogen and helium with the absorption line spectrum of the Sun

How well did you know this?
1
Not at all
2
3
4
5
Perfectly
14
Q

what is the name of the series which give rise to the visible region of the hydrogen spectrum

A

the Balmer series

How well did you know this?
1
Not at all
2
3
4
5
Perfectly
15
Q

Resolving power def

A

The ability to produce separate images of closely spaced objects

How well did you know this?
1
Not at all
2
3
4
5
Perfectly
16
Q

What is an airy disk

A

The disk formed when a telescope cannot focus a star to a perfect point

How well did you know this?
1
Not at all
2
3
4
5
Perfectly
17
Q

Apparent magnitude def

A

The perceived brightness of a star as seen from Earth

How well did you know this?
1
Not at all
2
3
4
5
Perfectly
18
Q

How much brighter is a magnitude 1 star in comparison to a magnitude 6 star

A

100 times brighter

How well did you know this?
1
Not at all
2
3
4
5
Perfectly
19
Q

What does a larger/ lower apparent magnitude mean

A
  • The more negative the apparent magnitude, the brighter an object appears
  • The more positive the apparent magnitude, the fainter an object appears
How well did you know this?
1
Not at all
2
3
4
5
Perfectly
20
Q

Luminosity def

A

The total power output of radiation emitted by a star

How well did you know this?
1
Not at all
2
3
4
5
Perfectly
21
Q

What does a higher/lower apparent magnitude mean

A
  • The more negative the apparent magnitude, the brighter an object appears
  • The more positive the apparent magnitude, the fainter an object appears
How well did you know this?
1
Not at all
2
3
4
5
Perfectly
22
Q

What is luminosity measured in

A

Watts

How well did you know this?
1
Not at all
2
3
4
5
Perfectly
23
Q

Brightness of a star def

A

The intensity of radiation received on Earth from a star

Brightness is equivalent to power per unit area, or light intensity, and is measured in watts per metre squared (W m−2)

How well did you know this?
1
Not at all
2
3
4
5
Perfectly
24
Q

What does the brightness of a star depend on

A

How much light the star emits (i.e. its luminosity)

How far away the star is (more distant stars are usually fainter than nearby stars)

How well did you know this?
1
Not at all
2
3
4
5
Perfectly
25
What is the difference between star luminosity and star brightness
The luminosity is the total power output of the star, whereas the brightness is the power as measured on Earth
26
Why is knowing the luminosity and brightness of an object useful
it allows us to determine how far away it is from the Earth, as: - Luminosity tells us how bright the star is at its surface - Brightness tells us how bright the star is as observed from the Earth
27
Why do light sources further away appear fainter
because the light it emits is spread out over a greater area
28
Describe + give the equation for the inverse square law of radiation
29
What does the inverse square law of radiation assume
The source can be treated as a point The power from the source radiates uniformly through space No radiation is absorbed or scattered between the star and the Earth
30
What does the inverse square law of radiation tell us
- For a given star, the luminosity is constant - The intensity of the emitted light follows an inverse square law - For stars with the same luminosity, the star with the greater apparent brightness is closer to the Earth
31
Absolute magnitude def
The apparent magnitude an object in space would have if it were observed from a distance of 10 parsecs away from Earth
32
Which is usually brighter: absolute or apparent magnitude
The absolute magnitude is often brighter than the apparent magnitude
33
What do the components of the equation linking apparent magnitude, absolute magnitude and distance of a star from Earth mean
34
What is the distance modulus
The difference between apparent and absolute magnitude (m - M)
35
When is distance modulus negative/ positive
Distance modulus is negative for stars closer than 10 pc Distance modulus is positive for stars further away than 10 pc
36
Equation relating absolute magnitude and distance
37
What is an ideal black-body radiator
- An object that absorbs and emits all wavelengths: It is a theoretical object However, stars are the best approximation there is - it has a characteristic spectrum that is determined by the temperature alone and this can be represented on a black-body radiation curve of intensity against wavelength
38
Draw a graph of the black-body radiation curve of intensity against wavelength
39
What does wien’s displacement law state
The black body radiation curve for different temperatures peaks at a wavelength that is inversely proportional to the temperature
40
What is the equation associated with Wien’s displacement law
41
What does the equation of Wien’s displacement Law show
the higher the temperature of a body... - The shorter the wavelength at the peak intensity (i.e. hotter objects tend to be white or blue, and cooler objects tend to be red or yellow) - The greater the intensity of the radiation at each wavelength
42
What does the total power emitted by a perfect black body depend on
- It's absolute temperature - It's surface area
43
What does Stefan’s law, or the Stefan-Boltzmann law, state
The total energy emitted by a black body per unit area per second is proportional to the fourth power of the absolute temperature of the body
44
What is the equation associated with Stefan’s law
45
Do bigger stars have a brighter appearance (absolute magnitude)
Yes
46
What are the 7 main categories of star classifications and what is each of their features
47
What class star is the sun
Class G
48
What is the peak value of absolute magnitude
-19.3
49
What are the three types of light spectra
- Continuous emission spectra - Emission line spectra - Absorption line spectra
50
How is a continuous spectrum formed and what is its appearance and what is it produced by
created when photons of all wavelengths are emitted Appearance: a broad range of colours (depending on a star's temperature) Produced by: hot, dense sources, such as the cores of stars
51
How is an emission line spectrum formed and what is its appearance and what is it produced by
created when photons are emitted by excited electrons in a hot gas Appearance: discrete wavelengths represented by coloured lines on a black background Produced by: hot, low-pressure gases, such as a nebula surrounding a star
52
How is an absorption spectrum formed and what is its appearance and what is it produced by
created when photons are absorbed by electrons in a cool gas Appearance: discrete wavelengths represented by dark lines on a continuous spectrum Produced by: light passing through cool, low-pressure gases, such as the photosphere of a star
53
How are Stella spectral lines formed
- Photons produced by fusion reactions in a star’s core move towards the layers of gas in the outer atmosphere of the star - The photons produced in the core form a continuous spectrum - Photons are absorbed by the gas atoms, which excite and re-emit other photons of various frequencies in random directions - Each gas produces a unique pattern of spectral lines due to the specific transition between the element’s energy levels - The presence of absorption lines in a star’s spectrum act as fingerprints - They can be used to determine the presence of a certain element within the star
54
In hydrogen, at what energy level does the Balmer series converge on
The Balmer series converges on the second energy level n = 2
55
Describe how the spectra of stars are organised by intrinsic colour, temperature and prominent absorption lines
56
Describe the relationship between temperature and absorption spectra and energy
- At low temperatures: There may not be enough energy to excite atoms or break molecular bonds This results in the TiO and neutral atoms, as seen in classes K and M - At higher temperatures: Atoms have too much energy to form molecules As a result, ionisation can take place, as seen in classes F and G - At the hottest temperatures: Hydrogen and helium are found to be in higher abundance in the atmospheres of the hottest stars This means that their spectral lines start to dominate, as seen in classes O, B and A
57
What does the Balmer series involve
Electron transitions either to or from the second energy level open parentheses n space equals space 2 close parentheses
58
Describe the relationship between spectral class, prominence of Balmer lines and an explanation for each
59
What is the transit method and what is an issue with this
- By observing how the light intensity of the star changes over time, sufficiently sensitive detectors can distinguish when an exoplanet passes in front of its star. The light intensity dips for a short period in a very regular and periodic way Issues: Planet is small and star is very big, so little light is blocked out and this is difficult to measure
60
What is the Hipparcos scale
A way of classifying astronomical objects by their apparent magnitude. The brightest stars have an apparent magnitude of 1 and the faintest visible stars have an apparent magnitude of 6. The Hipparcos scale is ​logarithmic​, as the magnitude changes by 1, the intensity changes with a ratio of ​2.51​. For example, a magnitude 5 star is 2.51 times brighter than a magnitude 6 star. A magnitude 6 star is the dimmest star that can be seen from earth
61
.
62
What is Rayleigh’s criterion?
- Rayleigh criterion identifies the minimum subtended angle between two objects whose (images) can be resolved. - Minimum angle is when the central maximum of the diffraction pattern of light from one object coincides with the first minimum of the diffraction pattern of the second object.
63
What are the 2 methods used for detecting exoplanets
64
Issue with the radial velocity method for finding an exoplanet
the method can only detect the movement of a star towards or away from the Earth.
65
Equation (not on formula sheet) for age of universe in seconds
66
Equation (not on formula sheet) for distance to a star in parsecs
67
Draw a typical 1a supernova light curve with labelled axes