Photoelectric effect 1
light is a particle and a wave, e= Hf
Below the threshold frequency
Not eneough enegy in photon, cannot cross bridge
Doesnt matter how many ppl show up to bridge with 10 dollar bills, if toll is 16 dollars none of hte electrons get to cross and get ejected* cannot add it up together so cannot pool their money can only pull one electron at a time
if not enpugh energy in the photon it will not happen!
idea at low frequencies we have low energy of photos ppl are showing up with not very much money*
At the threshold…..
At the threshold, we are showing up with exactly the right amount of money. we have exaactly what we need to eject the electron no extra!
Above the threshold
conservation of energy! where does the extra money go! so if I show up with 20 dollars and spend 16 on teh toll to get over the bridge, then I have four dollars left over. That 4 dollars needs to go to gas money to making me go faster
it goes to the Ke*
This means because extra energy of each photon goes to KE, as inc frequencies of photons above the threshold we are inc the energies of the photon so therefore there is more extra money left over! 20 dolalrs I have 4, 30 dollars I have 14 more money left over so go faster and faster
inc frequency o flight inc the energy of he photons and inc hte Ke of the ejected electrons** however increasing the intensity dodesnt change how much energy is in each photon**

In terms of intensity…..
just like traffic! should not change how much money ppl show up with, each ppl still show up with the same amount so therefore always the same amount of extra they should all be going the same speed. The only thing that changes then is the number of electrons ejected, if I have more people show up with this amount of energy I will have more people go across the bridge!
Inc intensity the just changes how many people sho wup
inc freqnecies changes energy of each photon, increases the speed! the KE of hte electrons coming off! inc the intensity just changes hte number of photons showing up the number of electrons beingn ejected!!!
1 ev=
1.6 x 10^-19 J
eV is a very small unit of energy

alpha decay
the name of decay is what is emitted
“…” decay means named particle that is emitted

Beta Decay
beta decay, emitting beta particle, emitting an electron
what is happening in beta decay you are converting a neutron to aproton*** start out with 8n and 6 p end with 7n and 7p so taking something that was neutral and splitting it i nto a positive portion adn negative portion leaving behind a proton where you had a neutron*

Beta + Decay
positron decay
converting a proton into a neutron
condensing positive to tiny little thing I shoot out and get rid off and I am left with more neutrons

gamma decay
high energy arrangement of protons and neutrons in nuc they rearrange themselves and when they do that they emit a gamma particle*

electron capture
Electron capture, not adecay where electron was absorbed notice this here we have 3N and 4 p this is basically neutralizing a proton to turn it into a neutron electron is absorbed and combinging with a proton to turn it into a neutron* so positive plus negtive becomes neutron** protons in nuc are positive, absorbs negative o felectron and turns it into a neutron*
A CAPTURE
so 0e -1 if says capture means that particle is on the left hand side*

Rate of radioactive decay
NEVER CHANGES EVER
result of factors internal to the nucleus
as a reslt these things have a fixed halflife, amount of time it takes for half of the material to decay for one thing to turn into another thing stays the same, so if I start as I did with 100 milligrams and I wait 1 half life i will have 50 etc….. the point is that the amount of time it takes to lose half of it will stay the same*

E=mc^2
this energy is coming from direct conversion of mass and energy, bits of protons and neutrons are being directly converted into energy! and that energy is what is being given off so we can think abotu how much energy is contained in a certain a mount of mass by using this equation
E=mc^2

4 fundamental forces

What is a half life?

ex. of a half life problem using variables x

strong nuclear force and weak nuclear force

half life example 2

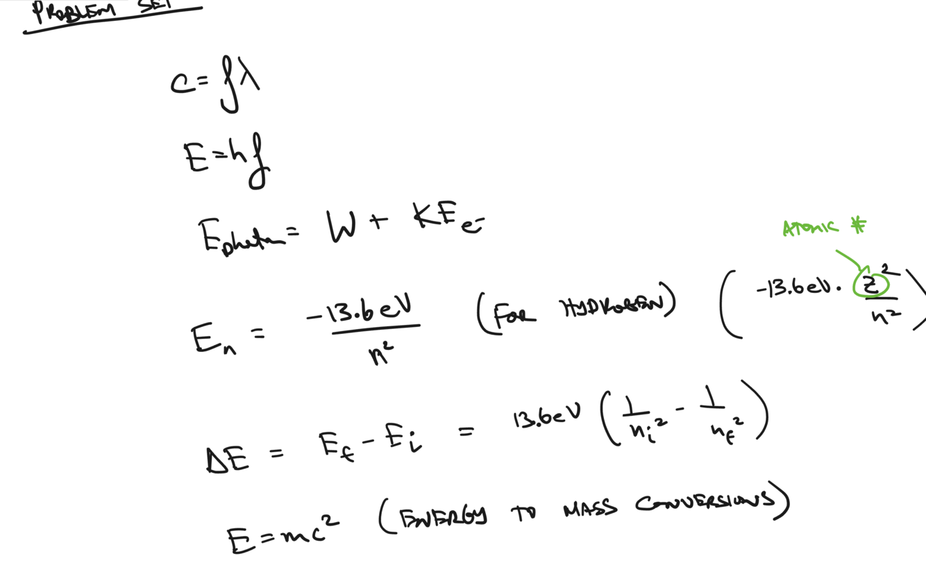
Problem set equations

subatomic particles chart

How to balance nuclear equations!

proton

neutron
symbosymbol 1on
mass= 1
charge = 0

electron
mass = 1/1800
charge= -1
notes= aka beta particle, B-
